Keywords
microbiome, taxonomy, community analysis
This article is included in the Bioconductor gateway.
This article is included in the Phylogenetics collection.
microbiome, taxonomy, community analysis
The microbiome is formed from the ecological communities of microorganisms that dominate the living world. Bacteria can now be identified through the use of next generation sequencing applied at several levels. Shotgun sequencing of all bacteria in a sample delivers knowledge of all the genes present. Here we will only be interested in the identification and quantification of individual taxa (or species) through a ‘fingerprint gene’ called 16s rRNA which is present in all bacteria. This gene presents several variable regions which can be used to identify the different taxa.
Previous standard workflows depended on clustering all 16s rRNA sequences (generated by next generation amplicon sequencing) that occur within a 97% radius of similarity and then assigning these to ‘Operational Taxonomic Units’ (OTUs) from reference trees1,2. These approaches do not make use of all the data, in particular sequence quality scores and statistical information available on the reads were not incorporated into the assignments. In contrast, the de novo read counts used here will be constructed through the incorporation of both the quality scores and sequence frequencies in a probabilistic noise model for nucleotide transitions. For more details on the algorithmic implementation of this step see 3.
After filtering the sequences and removing the chimerae, the data are compared to a standard database of bacteria and labeled. In this workflow, we have used the labeled sequences to build a de novo phylogenetic with the phangorn package.
The key step in the sequence analysis is the manner in which reads are denoised and assembled into groups we have chosen to call RSVs (Ribosomal Sequence Variants) instead of the traditional OTUs.
This article describes a computational workflow for performing denoising, filtering, data transformations, visualization, supervised learning analyses, community network tests, hierarchical testing and linear models. We provide all the code and give several examples of different types of analyses and use cases. There are often many different objectives in experiments involving microbiome data and we will only give a flavor for what could be possible once the data has been imported into R. In addition, the code can be easily adapted to accommodate batch effects, covariates and multiple experimental factors.
The workflow is based on software packages from the open-source Bioconductor project4. We describe a complete project pipeline, from the denoising and identification of reads input as raw fastq sequence files to the comparative analysis of samples based on microbial abundances.
This section demonstrates the “full stack” of amplicon bioinformatics: construction of the sample-by-sequence feature table from the raw reads, assignment of taxonomy and creation of the phylogenetic tree relating the sample sequences.
First we load the necessary packages.
.cran_packages <- c("ggplot2", "gridExtra") .bioc_packages <- c("dada2", "msa", "phyloseq")
# Load packages into session sapply(c(.cran_packages, .bioc_packages), require, character.only = TRUE)
## ggplot2 gridExtra dada2 msa phyloseq
## TRUE TRUE TRUE TRUE TRUEset.seed(100)
The data we will process here are highly-overlapping Illumina Miseq 2×250 amplicon sequences from the V4 region of the 16S gene5. These 360 fecal samples were collected from 12 mice longitudinally over the first year of life, to investigate the development and stabilization of the murine microbiome6. These data can be downloaded from the following location: http://www.mothur.org/MiSeqDevelopmentData/StabilityNoMetaG.tar.
fns <- sort(list.files(miseq_path, full.names = TRUE)) fnFs <- fns[grepl("R1", fns)] fnRs <- fns[grepl("R2", fns)]
We begin by filtering out low-quality sequencing reads and trimming the reads to a consistent length. While generally recommended filtering and trimming parameters serve as a starting point, no two datasets are identical and therefore it is always worth inspecting the quality of the data before proceeding.
ii <- sample(length(fnFs), 3) for(i in ii) { print(plotQualityProfile(fnFs[i]) + ggtitle("Fwd")) } for(i in ii) { print(plotQualityProfile(fnRs[i]) + ggtitle("Rev")) }
Most Illumina sequencing data show a trend of decreasing average quality towards the end of sequencing reads. Figure 1 demonstrates that the forward reads maintain high quality throughout, while the quality of the reverse reads drops significantly at about position 160. Therefore, we choose to truncate the forward reads at position 245, and the reverse reads at position 160. We also choose to trim the first 10 nucleotides of each read based on empirical observations across many Illumina datasets that these base positions are particularly likely to contain pathological errors.
We combine these trimming parameters with standard filtering parameters, the most important being the enforcement of a maximum of two expected errors per read7. Trimming and filtering is performed on paired reads jointly – both reads must pass the filter for the pair to pass.
for(i in seq_along(fnFs)) { fastqPairedFilter(c(fnFs[[i]], fnRs[[i]]), c(fnFs[[i]], fnRs[[i]]), trimLeft=10, truncLen=c(245, 160), maxN=0, maxEE=2, truncQ=2, compress=TRUE) }
After filtering, the typical amplicon bioinformatics workflows cluster sequencing reads into OTUs: groups of sequencing reads that differ by less than a fixed dissimilarity threshold. Here we instead use the high-resolution DADA2 method to to infer sequence variants without any fixed threshold, thereby resolving variants that differ by as little as one nucleotide3.
The sequence data are imported into R from demultiplexed fastq files (i.e. one fastq for each sample) and simultaneously dereplicated to remove redundancy. We name the resulting ‘derep-class’ objects by their sample.
derepFs <- derepFastq(fnFs) derepRs <- derepFastq(fnRs) sam.names <- sapply(strsplit(basename(fnFs), "_"), `[`, 1) names(derepFs) <- sam.names names(derepRs) <- sam.names

The DADA2 method relies on a parameterized model of substitution errors in order to distinguish sequencing errors from real biological variation. Because error rates can – and often do – vary substantially between sequencing runs and PCR protocols, the model parameters can be discovered from the data itself using a form of unsupervised learning in which sample inference is alternated with parameter estimation until both are jointly consistent.
Parameter learning is computationally intensive, as it requires multiple iterations of the sequence inference algorithm, and therefore it is often useful to estimate the error rates from a (sufficiently large) subset of the data.
ddF <- dada(derepFs[1:40], err=NULL, selfConsist=TRUE) ## Initial error matrix unspecified. Error rates will be initialized to the maximum possible estimate from this data. ## Initializing error rates to maximum possible estimate. ## Sample 1 – 7084 reads in 1955 unique sequences. ## .............. ## Sample 40 – 4191 reads in 922 unique sequences. ## Convergence after 5 rounds. ddR <- dada(derepRs[1:40], err=NULL, selfConsist=TRUE) ## Initial error matrix unspecified. Error rates will be initialized to the maximum possible estimate from this data. ## Initializing error rates to maximum possible estimate. ## Sample 1 – 7084 reads in 1548 unique sequences. ## ................ ## Sample 40 – 4191 reads in 999 unique sequences. ## Convergence after 6 rounds.
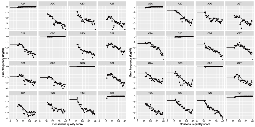
In order to verify that the error rates have been reasonably well-estimated, we inspect the fit between the observed error rates (black points) and the fitted error rates (black lines).
plotErrors(ddF)
plotErrors(ddR)
The DADA2 sequence inference method can run in two different modes: independent inference by sample (pool=FALSE), and pooled inference from the set of sequencing reads combined from all samples (pool=TRUE). Independent inference has two major advantages: computation time is linear in the number of samples, and memory requirements are flat with the number of samples. This allows scaling out to datasets of almost unlimited size. Pooled inference is more computationally taxing, and can become intractable for datasets of tens of millions of reads. However, pooling improves the detection of rare variants that were seen just once or twice in an individual sample but many times across all samples. As this dataset is not particularly large, we perform pooled inference.
dadaFs <- dada(derepFs, err=ddF[[1]]$err_out, pool=TRUE) ## 362 samples were pooled: 3342527 reads in 272916 unique sequences. dadaRs <- dada(derepRs, err=ddR[[1]]$err_out, pool=TRUE) ## 362 samples were pooled: 3342527 reads in 278172 unique sequences.
Sequence inference removed nearly all substitution and indel errors from the data. We now merge together the inferred forward and reverse sequences, while removing paired sequences that do not perfectly overlap as a final control against residual errors.
mergers <- mergePairs(dadaFs, derepFs, dadaRs, derepRs)
The DADA2 method produces a sequence table that is a higher-resolution analogue to the common OTU table. This is a sample by sequence feature table whose entries are the number of times each sequence was observed in each sample.
seqtab.all <- makeSequenceTable(mergers[!grepl("Mock", names(mergers))])
Notably, chimeras have not yet been removed. The error model in the sequence inference algorithm does not include a chimera component, and therefore we expect this sequence table to include many chimeric sequences. We now remove chimeric sequences by comparing each inferred sequence to the other sequences in the table, and removing those that can be reproduced by stitching together two more abundant sequences.
seqtab <- removeBimeraDenovo(seqtab.all)
Typically a substantial fraction of inferred sequence variants, but only a small fraction of all reads, are found to be chimeric. That is what is observed here: 1502 of 1892 sequence variants were chimeric, but these only represented 10% of all reads.
One of the benefits of using well-classified marker loci like the 16S rRNA gene is the ability to taxonomically classify the sequenced variants. The dada2 package implements the naive Bayesian classifier method for this purpose8. This classifier compares sequence variants to a training set of classified sequences. Here we use the RDP v14 training set9.
ref_fasta <- tempfile() download.file("http://benjjneb.github.io/dada2/rdp_train_set_14.fa.gz", destfile = ref_fasta) taxtab <- assignTaxonomy(seqtab, refFasta = ref_fasta) colnames(taxtab) <- c("Kingdom", "Phylum", "Class", "Order", "Family", "Genus")
Training set fasta files formatted for use with the dada2 package are available for download at https://purl.stanford.edu/wh250nn9648.
Phylogenetic relatedness is commonly used to inform downstream analyses, especially the calculation of phylogeny-aware distances between microbial communities. The DADA2 sequence inference method is reference-free, so we must construct the phylogenetic tree relating the inferred sequence variants de novo. We begin by performing a multiple-alignment of the inferred sequences.
seqs <- getSequences(seqtab) names(seqs) <- seqs # This propagates to the tip labels of the tree mult <- msa(seqs, method="ClustalW", type="dna", order="input")
The phangorn package is then used to construct a phylogenetic tree. Here we first construct a neighbor-joining tree, and then fit a GTR+G+I maximum likelihood tree using the neighbor-joining tree as a starting point.
library("phangorn") phang.align <- as.phyDat(mult, type="DNA", names=getSequence(seqtab)) dm <- dist.ml(phang.align) treeNJ <- NJ(dm) # Note, tip order != sequence order fit = pml(treeNJ, data=phang.align) ## negative edges length changed to 0! fitGTR <- update(fit, k=4, inv=0.2) fitGTR <- optim.pml(fitGTR, model="GTR", optInv=TRUE, optGamma=TRUE, rearrangement = "stochastic", control = pml.control(trace = 0)) detach("package:phangorn", unload=TRUE)
This completes the amplicon bioinformatics portion of the workflow.
The phyloseq package organizes and synthesizes the different data types from a typical amplicon sequencing experiment into a single data object that can be easily manipulated. The last bit of information needed is the sample data contained in a .csv file.
mimarks_path <- file.path(tempdir(), "MIMARKS.csv") download.file("https://www.dropbox.com/s/wpxnvsui4mjj8z3/MIMARKS_Data_combined.csv?raw=1", destfile = mimarks_path) samdf <- read.csv(mimarks_path, header=TRUE) samdf$SampleID <- paste0(gsub("00", "", samdf$host_subject_id), "D", samdf$age-21) samdf <- samdf[!duplicated(samdf$SampleID),] # Remove dupicate entries for reverse reads rownames(seqtab) <- gsub("124", "125", rownames(seqtab)) # Fixing an odd discrepancy all(rownames(seqtab) %in% samdf$SampleID) # TRUE ## [1] TRUE rownames(samdf) <- samdf$SampleID keep.cols <- c("collection_date", "biome", "target_gene", "target_subfragment", "host_common_name", "host_subject_id", "age", "sex", "body_product", "tot_mass", "diet", "family_relationship", "genotype", "SampleID" samdf <- samdf[rownames(seqtab), keep.cols]
The full suite of data for this study – the sample-by-sequence feature table, the sample metadata, sequence taxonomies, and the phylogenetic tree – can now be combined into a single object.
ps <- phyloseq(tax_table(taxtab), sample_data(samdf), otu_table(seqtab, taxa_are_rows = FALSE), phy_tree(fitGTR$tree))
phyloseq10 is an R package that allows users to import, store, analyze, and graphically display complex phylogenetic sequencing data that has already been clustered into Operational Taxonomic Units (OTUs) or appropriately denoised and collected under Ribosomal Sequence Variants (RSVs). The package is most useful when there is also associated multitype sample data, a phylogeny, and/or taxonomic assignment of each taxa. phyloseq leverages and builds upon many of the tools available in R for ecology and phylogenetic analysis (vegan11, ade412, ape13), while also using advanced and flexible layered graphic systems (ggplot214) to easily produce publication-quality graphics of complex phylogenetic data. The phyloseq package uses a specialized system of S4 data classes to store all related phylogenetic sequencing data as a single, self-consistent, self-describing experiment-level object, making it easier to share data and reproduce analyses. In general, phyloseq seeks to facilitate the use of R for efficient interactive and reproducible analysis of amplicon count data jointly with important sample covariates.
This article shows a useful workflow, but many more analyses are available in phyloseq, and R in general, than can fit in a single example. The phyloseq home page is a good place to begin browsing additional phyloseq documentation, as are the three vignettes included within the package, and linked directly at the phyloseq release page on Bioconductor.
Many use cases result in the necessity to import and combine different data into a phyloseq class object, this can be done using the import_biom function to read recent QIIME format files, older files can still be imported with import_qiime. More complete details can be found on the phyloseq FAQ page.
In the previous section the results of dada2 sequence processing were organized into a phyloseq object. This object was also saved in R-native serialized RDS format. We will reload this here for completeness.
library("phyloseq") library("ggplot2") library("gridExtra") ps0 = readRDS("ps.rds") ps0 ## phyloseq-class experiment-level object ## otu_table() OTU Table: [ 390 taxa and 360 samples ] ## sample_data() Sample Data: [ 360 samples by 14 sample variables ] ## tax_table() Taxonomy Table: [ 390 taxa by 6 taxonomic ranks ] ## phy_tree() Phylogenetic Tree: [ 390 tips and 388 internal nodes ]
It can be beneficial to start the data exploration process interactively, this often saves time in detecting outliers and specific features of the data. Shiny-phyloseq15 is an interactive web application that provides a graphical user interface to the phyloseq package. The object just loaded into the R session in this workflow is suitable for this graphical interaction with Shiny-phyloseq.
phyloseq provides useful tools for filtering, subsetting, and agglomerating taxa – a task that is often appropriate or even necessary for effective analysis of microbiome count data. In this subsection, we graphically explore the prevalence of taxa in the example dataset, and demonstrate how this can be used as a filtering criteria. One of the reasons to filter in this way is to avoid spending much time analyzing taxa that were only rarely seen. This also turns out to be a useful filter of noise (taxa that are actually just artifacts of the data collection process), a step that should probably be considered essential for datasets constructed via heuristic OTU-clustering methods, which are notoriously prone to generating spurious taxa.
# Define prevalence of each taxa # (in how many samples did each taxa appear at least once) prev0 = apply(X = otu_table(ps0), MARGIN = ifelse(taxa_are_rows(ps0), yes = 1, no = 2), FUN = function(x){sum(x > 0)}) prevdf = data.frame(Prevalence = prev0, TotalAbundance = taxa_sums(ps0), tax_table(ps0)) keepPhyla = table(prevdf$Phylum)[(table(prevdf$Phylum) > 5)] prevdf1 = subset(prevdf, Phylum %in% names(keepPhyla)) # Define prevalence threshold as 5% of total samples prevalenceThreshold = 0.05 * nsamples(ps0) prevalenceThreshold ## [1] 18 # Execute prevalence filter, using `prune_taxa()` function ps1 = prune_taxa((prev0 > prevalenceThreshold), ps0) ps1 ## phyloseq-class experiment-level object ## otu_table() OTU Table: [ 353 taxa and 360 samples ] ## sample_data() Sample Data: [ 360 samples by 14 sample variables ] ## tax_table() Taxonomy Table: [ 353 taxa by 6 taxonomic ranks ] ## phy_tree() Phylogenetic Tree: [ 353 tips and 351 internal nodes ] # Filter entries with unidentified Phylum. ps2 = subset_taxa(ps1, Phylum %in% names(keepPhyla)) ps2 ## phyloseq-class experiment-level object ## otu_table() OTU Table: [ 341 taxa and 360 samples ] ## sample_data() Sample Data: [ 360 samples by 14 sample variables ] ## tax_table() Taxonomy Table: [ 341 taxa by 6 taxonomic ranks ] ## phy_tree() Phylogenetic Tree: [ 341 tips and 339 internal nodes ]
ggplot(prevdf1, aes(TotalAbundance, Prevalence, color = Phylum)) + geom_hline(yintercept = prevalenceThreshold, alpha = 0.5, linetype = 2) + geom_point(size = 2, alpha = 0.7) + scale_y_log10() + scale_x_log10() + xlab("Total Abundance") + facet_wrap(~Phylum)
For some experimental questions, it is useful to agglomerate closely-related taxa. In this subsection we explore two separate ways in which closely-related taxa can be grouped together as a single feature in the phyloseq data object. Note that this is only helpful if a biological phenomenon of interest actually occurs at the chosen level of agglomeration, in which case the grouping-together of these features can increase statistical power.
## ---- glom ---- # Taxonomic agglomeration # How many genera are present after filtering? taxGlomRank = "Genus" length(get_taxa_unique(ps2, taxonomic.rank = taxGlomRank)) ## [1] 47 ps3 = tax_glom(ps2, taxrank = taxGlomRank) # Phylogenetic agglomeration # How many genera are present after filtering? h1 = 0.4 ps4 = tip_glom(ps2, h = h1)
Use phyloseq’s plot_tree() to plot tree of original filtered data, the tree after taxonoic agglomeration, and the tree after phylogenetic agglomeration. Save these as separate plot objects, and then render them together on one plot using gridExtra::grid.arrange.
multiPlotTitleTextSize = 8 p2tree = plot_tree(ps2, method = "treeonly", ladderize = "left", title = "Before Agglomeration") + theme(plot.title = element_text(size = multiPlotTitleTextSize)) p3tree = plot_tree(ps3, method = "treeonly", ladderize = "left", title = paste0("tax_glom(..., taxrank='", taxGlomRank, "')")) + theme(plot.title = element_text(size = multiPlotTitleTextSize)) p4tree = plot_tree(ps4, method = "treeonly", ladderize = "left", title = paste0("tip_glom(..., h=", h1, ")")) + theme(plot.title = element_text(size = multiPlotTitleTextSize))
# group plots together grid.arrange(nrow = 1, p2tree, p3tree, p4tree)
It is usually necessary to transform microbiome count data to account for differences in library size, variance, scale, etc. The phyloseq package provides a flexible interface for defining new functions to accomplish these transformations of the abundance values via the transform_sample_counts function. The first argument to this function is the phyloseq object you want to transform, and the second argument is an R function that defines the transformation. The R function is applied sample-wise, expecting that the first unnamed argument is a vector of taxa counts in the same order as the phyloseq object. Additional arguments are passed on to the function specified in the second argument, providing an explicit means to include precomputed values, previously defined parameters/thresholds, or any other object that might be appropriate for computing the transformed values of interest.
This example begins by defining a custom plot function, plot_abundance, that uses phyloseq’s psmelt function to define a relative abundance graphic as shown in Figure 5 and Figure 6. We will use this to compare more easily differences in scale and distribution of the abundance values in our phyloseq object before and after transformation.
plot_abundance = function(physeq, ylabn = "", Facet = "Order", Color = "Phylum"){ mphyseq = psmelt(physeq) mphyseq <- subset(mphyseq, Abundance > 0) ggplot(data = mphyseq, mapping = aes_string(x = "sex", y = "Abundance", color = Color, fill = Color)) + geom_violin(fill = NA) + geom_point(size = 1, alpha = 0.3, position = position_jitter(width = 0.3)) + facet_wrap(facets = Facet) + ylab(ylabn) + scale_y_log10() }
The transformation in this case converts the counts from each sample into their frequencies, often referred to as proportions or relative abundances. This function is so simple that it is easiest to define it within the function call to transform_sample_counts.
# Transform to relative abundance. Save as new object. ps3ra = transform_sample_counts(ps3, function(x){x / sum(x)})
Now we plot the abundance values before and after transformation. The results are in Figure 5.
plot_abundance(ps3,"Original Abundances") plot_abundance(ps3ra,"Relative Abundances")
Notice on the previous plot that Lactobacillales appears to be a taxonomic Order with bimodal abundance profile in the data. We can check for a taxonomic explanation of this pattern by plotting just that taxonomic subset of the data. For this, we subset with the subset_taxa() function, and then specify a more precise taxonomic rank to the Facet argument of the plot_abundance function that we defined above.
psOrd = subset_taxa(ps3ra, Order == "Lactobacillales") plot_abundance(psOrd, Facet = "Genus", Color = NULL)

Here it is clear that the apparent biomodal distribution of Lactobacillales on the previous plot was the result of a mixture of two different genera, with the typical Lactobacillus relative abundance much larger than Streptococcus.
At this stage in the workflow, after converting raw reads to interpretable species abundances, and after filtering and transforming these abundances to focus attention on scientifically meaningful quantities, we are in a position to consider more careful statistical analysis. R is an ideal environment for performing these analyses, as it has an active community of package developers building simple interfaces to sophisticated techniques. As a variety of methods are available, there is no need to commit to any rigid analysis strategy a priori. Further, the ability to easily call packages without reimplementing methods frees researchers to iterate rapidly through alternative analysis ideas. The advantage of performing this full workflow in R is that this transition from bioinformatics to statistics is effortless.
We back these claims by illustrating several analysis on the mouse data prepared above. We experiment with several flavors of exploratory ordination before shifting to more formal testing and modeling, explaining the settings in which the different points of view are most appropriate. Finally, we provide example analysis of multitable data, using a study in which both metabolomic and microbial abundance measurements were collected on the same samples, to demonstrate that the general workflow presented here can be adapted to the multitable setting.
Before doing the multivariate projections, we will add a few columns to our sample data, which can then be used to annotate plots. From Figure 7, we see that the ages of the mice come in a couple of groups, and so we make a categorical variable corresponding to young, middle-aged, and old mice. We also record the total number of counts seen in each sample and log-transform the data as an approximate variance stabilizing transformation.
qplot(sample_data(ps)$age, geom = "histogram") + xlab("age") qplot(log10(rowSums(otu_table(ps)))) + xlab("Logged counts-per-sample")

The histogram on the left motivates the creation of a new categorical variable, binning age into one of the three peaks. The histogram on the right suggests that a log (1 + x) transformation is sufficient for normalizing the abundance data.
For a first pass, we look at principal coordinates analysis (PCoA) with either the Bray-Curtis dissimilarity on the weighted Unifrac distance. We see immediately that there are six outliers. These turn out to be the samples from females 5 and 6 on day 165 and the samples from males 3, 4, 5, and 6 on day 175. We will take them out, since we are mainly interested in the relationships between the non-outlier points.
pslog <- transform_sample_counts(ps, function(x) log(1 + x)) sample_data(pslog)$age_binned <- cut(sample_data(pslog)$age, breaks = c(0, 100, 200, 400)) out.wuf.log <- ordinate(pslog, method = "MDS", distance = "wunifrac")
evals <- out.wuf.log$values$Eigenvalues plot_ordination(pslog, out.wuf.log, color = "age_binned") + labs(col = "Binned Age") + coord_fixed(sqrt(evals[2] / evals[1]))

Notice that the variability explained by the second axis is five times less than that of the horizontal axis.
Before we continue, we should check the two female outliers – they have been taken over by the same RSV, which has a relative abundance of over 90% in each of them. This is the only time in the entire data set that this RSV has such a high relative abundance – the rest of the time it is below 20%. In particular, its diversity is by far the lowest of all the samples.
rel_abund <- t(apply(otu_table(ps), 1, function(x) x / sum(x))) qplot(rel_abund[, 12], geom = "histogram") + xlab("Relative abundance")
As we have seen, an important first step in analyzing microbiome data is to do unsupervised, exploratory analysis. This is simple to do in phyloseq, which provides many distances and ordination methods.
After documenting the outliers, we are going to compute ordinations with these outliers removed and more carefully study the output. We see that there is a fairly substantial age effect that is consistent between all the mice, male and female, and from different litters. We’ll first perform a PCoA using Bray-Curtis dissimilarity.
The first plot shows the ordination of the samples, and we see that the second axis corresponds to an age effect, with the samples from the younger and older mice separating fairly well. The first axis correlates fairly well with library size (this is not shown). The first axis explains about twice the variability than the first, this translates into the elongated form of the ordination plot.
setup_example(c("phyloseq", "ggplot2", "plyr", "dplyr", "reshape2", "ade4", "ggrepel")) out.bc.log <- ordinate(pslog, method = "MDS", distance = "bray")
evals <- out.bc.log$values$Eigenvalues plot_ordination(pslog, out.bc.log, color = "age_binned") + coord_fixed(sqrt(evals[2] / evals[1])) + labs(col = "Binned Age")
Next we look at double principal coordinates analysis (DPCoA)16,17, which is a phylogenetic ordination method and which gives a biplot representation of both samples and taxonomic categories. We see again that the second axis corresponds to young vs. old mice, and the biplot suggests an interpretation of the second axis: samples that have larger scores on the second axis have more taxa from Bacteroidetes and one subset of Firmicutes.
evals <- out.dpcoa.log$eig plot_ordination(pslog, out.dpcoa.log, color = "age_binned", shape = "family_relationship") + coord_fixed(sqrt(evals[2] / evals[1])) + labs(col = "Binned Age", shape = "Litter")
plot_ordination(pslog, out.dpcoa.log, type = "species", color = "Phylum") + coord_fixed(sqrt(evals[2] / evals[1]))

out.dpcoa.log <- ordinate(pslog, method = "DPCoA")
Finally, we can look at the results of PCoA with weighted Unifrac. As before, we find that the second axis is associated with an age effect, which is fairly similar to DPCoA. This is not surprising, because both are phylogenetic ordination methods taking abundance into account. However, when we compare biplots, we see that the DPCoA gave a much cleaner interpretation of the second axis, compared to weighted Unifrac.
out.wuf.log <- ordinate(pslog, method = "PCoA", distance = "wunifrac")
Microbial abundance data are often heavy-tailed, and sometimes they can be hard to identify a transformation that brings the data to normality. In these cases, it can be safer to ignore the raw abundances altogether, and work instead with ranks. We demonstrate this idea using a rank-transformed version of the data to perform PCA. First, we create a new matrix, representing the abundances by their ranks, where the microbe with the smallest abundance in a sample gets mapped to rank 1, second smallest rank 2, etc.
abund <- otu_table(pslog) abund_ranks <- t(apply(abund, 1, rank))
Naively using these ranks would make differences between pairs of low and high abundance microbes comparable. In the case where many bacteria are absent or present at trace amounts, an artificially large difference in rank could occur18 for minimally abundant taxa. To avoid this, all those microbes with rank below some threshold are set to be tied at 1. The ranks for the other microbes are shifted down, so there is no large gap between ranks. This transformation is illustrated in Figure 15.
evals <- out.wuf.log$values$Eigenvalues plot_ordination(pslog, out.wuf.log, color = "age_binned", shape = "family_relationship") + coord_fixed(sqrt(evals[2] / evals[1])) + labs(col = "Binned Age", shape = "Litter")
plot_ordination(pslog, out.wuf.log, type = "species", color = "Phylum") + coord_fixed(sqrt(evals[2] / evals[1]))

Compared to the representation in Figure 12, this display is harder to interpret.
abund_df <- melt(abund, value.name = "abund") %>% left_join(melt(abund_ranks, value.name = "rank")) colnames(abund_df) <- c("sample", "seq", "abund", "rank") abund_df <- melt(abund, value.name = "abund") %>% left_join(melt(abund_ranks, value.name = "rank")) colnames(abund_df) <- c("sample", "seq", "abund", "rank") sample_ix <- sample(1:nrow(abund_df), 8) ggplot(abund_df %>% filter(sample %in% abund_df$sample[sample_ix])) + geom_point(aes(x = abund, y = rank, col = sample), position = position_jitter(width = 0.2), size = .7) + labs(x = "Abundance", y = "Thresholded rank") + scale_color_brewer(palette = "Set2")

The numbers of the y-axis are those supplied to PCA.
abund_ranks <- abund_ranks - 329 abund_ranks[abund_ranks < 1] <- 1
We can now perform PCA and study the resulting biplot, given in Figure 16. To produce annotation for this figure, we used the following block.
ranks_pca <- dudi.pca(abund_ranks, scannf = F, nf = 3) row_scores <- data.frame(li = ranks_pca$li, SampleID = rownames(abund_ranks)) col_scores <- data.frame(co = ranks_pca$co, seq = colnames(abund_ranks)) tax <- tax_table(ps)@.Data %>% data.frame(stringsAsFactors = FALSE) tax$seq <- rownames(tax) main_orders <- c("Clostridiales", "Bacteroidales", "Lactobacillales", "Coriobacteriales") tax$Order[!(tax$Order %in% main_orders)] <- "Other" tax$Order <- factor(tax$Order, levels = c(main_orders, "Other")) tax$otu_id <- seq_len(ncol(otu_table(ps))) row_scores <- row_scores %>% left_join(sample_data(pslog)) col_scores <- col_scores %>% left_join(tax)
The results are similar to the PCoA analyses computed without applying a truncated-ranking transformation, reinforcing our confidence in the analysis on the original data.
evals_prop <- 100 * (ranks_pca$eig / sum(ranks_pca$eig)) ggplot() + geom_point(data = row_scores, aes(x = li.Axis1, y = li.Axis2), shape = 2) + geom_point(data = col_scores, aes(x = 25 * co.Comp1, y = 25 * co.Comp2, col = Order), size = .3, alpha = 0.6) + scale_color_brewer(palette = "Set2") + facet_grid(~ age_binned) + guides(col = guide_legend(override.aes = list(size = 3))) + labs(x = sprintf("Axis1 [%s%% variance]", round(evals_prop[1], 2)), y = sprintf("Axis2 [%s%% variance]", round(evals_prop[2], 2))) + coord_fixed(sqrt(ranks_pca$eig[2] / ranks_pca$eig[1])) + theme(panel.border = element_rect(color = "#787878", fill = alpha("white", 0)))
Canonical Correspondence Analysis (CCpnA) is an approach to ordination of a species by sample table that incorporates supplemental information about the samples. As before, the purpose of creating biplots is to determine which types of bacterial communities are most prominent in different mouse sample types. It can be easier to interpret these biplots when the ordering between samples reflects sample characteristics – variations in age or litter status in the mouse data, for example – and this is central to the design of CCpnA.
The function allows us to create biplots where the positions of samples are determined by similarity in both species signatures and environmental characteristics; in contrast, principal components analysis or correspondence analysis only look at species signatures. More formally, it ensures that the resulting CCpnA directions lie in the span of the environmental variables; thorough treatments are available in 19,20.
Like PCoA and DPCoA, this method can be run using ordinate in phyloseq. In order to use supplemental sample data, it is necessary to provide an extra argument, specifying which of the features to consider – otherwise, phyloseq defaults to using all sample_data measurements when producing the ordination.
ps_ccpna <- ordinate(pslog, "CCA", formula = pslog ~ age_binned + family_relationship)
To access the positions for the biplot, we can use the scores function in the vegan package. Further, to facilitate figure annotation, we also join the site scores with the environmental data in the sample_data slot. Of the 23 total taxonomic orders, we only explicitly annotate the four most abundant – this makes the biplot easier to read.
ps_scores <- vegan::scores(ps_ccpna) sites <- data.frame(ps_scores$sites) sites$SampleID <- rownames(sites) sites <- sites %>% left_join(sample_data(ps)) species <- data.frame(ps_scores$species) species$otu_id <- seq_along(colnames(otu_table(ps))) species <- species %>% left_join(tax)
Figure 17 and Figure 18 plot these annotated scores, splitting sites by their age bin and litter membership, respectively. We have labeled individual microbes that are outliers along the second CCpnA direction.
Evidently, the first CCpnA direction distinguishes between mice in the two main age bins. Circles on the left and right of the biplot represent microbes that are characteristic of younger and older mice, respectively. The second CCpnA direction splits off the few mice in the oldest age group; it also partially distinguishes between the two litters. These samples low in the second CCpnA direction have more of the outlier microbes than the others.
This CCpnA analysis supports our conclusions from the earlier ordinations – the main difference between the microbiome communities of the different mice lies along the age axis. However, in situations where the influence of environmental variables is not so strong, CCpnA can have more power in detecting such associations. In general, it can be applied whenever it is desirable to incorporate supplemental data, but in a way that (1) is less aggressive than supervised methods, and (2) can use several environmental variables at once.
evals_prop <- 100 * ps_ccpna$CCA$eig[1:2] / sum(ps_ccpna$CA$eig) ggplot() + geom_point(data = sites, aes(x = CCA1, y = CCA2), shape = 2, alpha = 0.5) + geom_point(data = species, aes(x = CCA1, y = CCA2, col = Order), size = 0.5) + geom_text_repel(data = species %>% filter(CCA2 < -2), aes(x = CCA1, y = CCA2, label = otu_id), size = 1.5, segment.size = 0.1) + facet_grid(. ~ age_binned) + guides(col = guide_legend(override.aes = list(size = 3))) + labs(x = sprintf("Axis1 [%s%% variance]", round(evals_prop[1], 2)), y = sprintf("Axis2 [%s%% variance]", round(evals_prop[2], 2))) + scale_color_brewer(palette = "Set2") + coord_fixed(sqrt(ps_ccpna$CCA$eig[2] / ps_ccpna$CCA$eig[1])) + theme(panel.border = element_rect(color = "#787878", fill = alpha("white", 0)))

The sites and species are triangles and circles, respectively. The separate panels indicate different age groups.
ggplot() + geom_point(data = sites, aes(x = CCA1, y = CCA2), shape = 2, alpha = 0.5) + geom_point(data = species, aes(x = CCA1, y = CCA2, col = Order), size = 0.5) + geom_text_repel(data = species %>% filter(CCA2 < -2), aes(x = CCA1, y = CCA2, label = otu_id), size = 1.5, segment.size = 0.1) + facet_grid(. ~ family_relationship) + guides(col = guide_legend(override.aes = list(size = 3))) + labs(x = sprintf("Axis1 [%s%% variance]", round(evals_prop[1], 2)), y = sprintf("Axis2 [%s%% variance]", round(evals_prop[2], 2))) + scale_color_brewer(palette = "Set2") + coord_fixed(sqrt(ps_ccpna$CCA$eig[2] / ps_ccpna$CCA$eig[1])) + theme(panel.border = element_rect(color = "#787878", fill = alpha("white", 0)))
Here we illustrate some supervised learning methods that can be easily run in R. The caret package wraps many prediction algorithms available in R and performs parameter tuning automatically. Since we saw that microbiome signatures change with age, we’ll apply supervised techniques to try to predict age from microbiome composition.
We’ll first look at Partial Least Squares (PLS)21. The first step is to divide the data into training and test sets, with assignments done by mouse, rather than by sample, to ensure that the test set realistically simulates the collection of new data. Once we split the data, we can use the train function to fit the PLS model.
setup_example(c("phyloseq", "ggplot2", "caret", "plyr", "dplyr")) sample_data(pslog)$age2 <- cut(sample_data(ps)$age, c(0, 100, 400)) dataMatrix <- data.frame(age = sample_data(pslog)$age2, otu_table(pslog)) # take 8 mice at random to be the training set, and the remaining 4 the test set trainingMice <- sample(unique(sample_data(pslog)$host_subject_id), size = 8) inTrain <- which(sample_data(ps)$host_subject_id %in% trainingMice) training <- dataMatrix[inTrain,] testing <- dataMatrix[-inTrain,] plsFit <- train(age ~ ., data = training, method = "pls", preProc = "center")
Next we can predict class labels on the test set using the predict function and compare to the truth. We see that the method does an excellent job of predicting age.
plsClasses <- predict(plsFit, newdata = testing) table(plsClasses, testing$age) ## ## plsClasses (0,100] (100,400] ## (0,100] 69 1 ## (100,400] 4 45
As another example, we can try out random forests. This is run in exactly the same way as PLS, by switching the method argument from pls to rf. Random forests also perform well at the prediction task on this test set, though there are more old mice misclassified than young.
rfFit <- train(age ~ ., data = training, method = "rf", preProc = "center", proximity = TRUE) rfClasses <- predict(rfFit, newdata = testing) table(rfClasses, testing$age) ## ## rfClasses (0,100] (100,400] ## (0,100] 70 0 ## (100,400] 3 46
To interpret these PLS and random forest results, it is standard to produce biplots and proximity plots, respectively. The code below extracts coordinates and supplies annotation for points to include on the PLS biplot.
pls_biplot <- list("loadings" = loadings(plsFit$finalModel), "scores" = scores(plsFit$finalModel)) class(pls_biplot$scores) <- "matrix" pls_biplot$scores <- data.frame(sample_data(pslog)[inTrain, ], pls_biplot$scores) tax <- tax_table(ps)@.Data %>% data.frame(stringsAsFactors = FALSE) main_orders <- c("Clostridiales", "Bacteroidales", "Lactobacillales", "Coriobacteriales") tax$Order[!(tax$Order %in% main_orders)] <- "Other" tax$Order <- factor(tax$Order, levels = c(main_orders, "Other")) class(pls_biplot$loadings) <- "matrix" pls_biplot$loadings <- data.frame(tax, pls_biplot$loadings)
The resulting biplot is displayed in Figure 19; it can be interpreted similarly to earlier ordination diagrams, with the exception that the projection is chosen with an explicit reference to the binned age variable. Specifically, PLS identifies a subspace to maximize discrimination between classes, and the biplot displays sample projections and RSV coefficients with respect to this subspace.

ggplot() + geom_point(data = pls_biplot$scores, aes(x = Comp.1, y = Comp.2), shape = 2) + geom_point(data = pls_biplot$loadings, aes(x = 25 * Comp.1, y = 25 * Comp.2, col = Order), size = 0.3, alpha = 0.6) + scale_color_brewer(palette = "Set2") + labs(x = "Axis1", y = "Axis2", col = "Binned Age") + guides(col = guide_legend(override.aes = list(size = 3))) + facet_grid( ~ age2) + theme(panel.border = element_rect(color = "#787878", fill = alpha("white", 0)))
A random forest proximity plot is displayed in Figure 20. To generate this representation, a distance is calculated between samples based on how frequently sample occur in the same tree partition in the random forest’s bootstrapping procedure. If a pair of samples frequently occur in the same partition, the pair is assigned a low distance. The resulting distances are then input to PCoA, giving a glimpse into the random forests’ otherwise complex classification mechanism. The separation between classes is clear, and manually inspecting points would reveal what types of samples are easier or harder to classify.

rf_prox <- cmdscale(1 - rfFit$finalModel$proximity) %>% data.frame(sample_data(pslog)[inTrain, ]) ggplot(rf_prox) + geom_point(aes(x = X1, y = X2, col = age_binned), size = .4, alpha = 0.6) + scale_color_manual(values = c("#A66EB8", "#238DB5", "#748B4F")) + guides(col = guide_legend(override.aes = list(size = 3))) + labs(col = "Binned Age", x = "Axis1", y = "Axis2")
To further understand the fitted random forest model, we identify the microbe with the most influence in the random forest prediction. This turns out to be a microbe in family Lachnospiraceae and genus Roseburia. Figure 21 plots its abundance across samples; we see that it is uniformly very low from age 0 to 100 days and much higher from age 100 to 400 days.
as.vector(tax_table(ps)[which.max(importance(rfFit$finalModel)), c("Family", "Genus")]) ## [1] "Lachnospiraceae" "Roseburia" impOtu <- as.vector(otu_table(pslog)[,which.max(importance(rfFit$finalModel))]) maxImpDF <- data.frame(sample_data(pslog), abund = impOtu) ggplot(maxImpDF) + geom_histogram(aes(x = abund)) + facet_grid(age2 ~ .) + labs(x = "Abundance of discriminative microbe", y = "Number of samples")
Phyloseq has functionality for creating graphs based on thresholding a distance matrix, and the resulting networks can be plotting using ggnetwork. This package overloads the ggplot syntax, so you can use the function ggplot on an igraph object and add geom_edges and geom_nodes geoms to plot the network. To be able to color the nodes or edges a certain way, we need to add these attributes to the igraph object. Below we create a network by thresholding the Jaccard dissimilarity (the default distance for the function make_network) at .35, and then we add an attribute to the vertices indicating which mouse the sample came from and which litter the mouse was in. Then we can plot the network with the coloring by mouse and shape by litter. We see the resulting network in Figure 22, and we can see that there is grouping of the samples by both mouse and litter.

The colors represent which mouse the sample came from and the shape represents which litter the mouse was in.
setup_example(c("igraph", "phyloseq", "phyloseqGraphTest", "ggnetwork", "intergraph"))
net <- make_network(ps, max.dist=0.35) sampledata <- data.frame(sample_data(ps)) V(net)$id <- sampledata[names(V(net)), "host_subject_id"] V(net)$litter <- sampledata[names(V(net)), "family_relationship"]
ggplot(net, aes(x = x, y = y, xend = xend, yend = yend), layout = "fruchtermanreingold") + geom_edges(color = "darkgray") + geom_nodes(aes(color = id, shape = litter)) + theme(axis.text = element_blank(), axis.title = element_blank(), legend.key.height = unit(0.5,"line")) + guides(col = guide_legend(override.aes = list(size = .25)))
Graph-based two-sample tests were introduced by Friedman and Rafsky22 as a generalization of the Wald-Wolfowitz runs test. They proposed the use of a minimum spanning tree (MST) based on the distances between the samples, and then counting the number of edges on the tree that were between samples in different groups. It is not necessary to use an MST, graphs made by linking nearest neighbors23 or distance thresholding can also be input. No matter what graph we build between the samples, we can approximate a null distribution by permuting the labels of the nodes of the graph.
We first perform a test using an MST with Jaccard dissimilarity. We want to know whether the two litters (family_relationship) come from the same distribution. Since there is a grouping in the data by individual (host_subject_id), we can’t simply permute all the labels, we need to maintain this nested structure – this is what the grouping argument does. Here we permute the family_relationship labels but keep the host_subject_id structure intact.
This test has a small p-value, and we reject the null hypothesis that the two samples come from the same distribution. From the plot of the minimum spanning tree in Figure 23, we see by eye that the samples group by litter more than we would expect by chance.

gt <- graph_perm_test(ps, "family_relationship", grouping = "host_subject_id", distance = "jaccard", type = "mst") gt$pval
## [1] 0.01plot_test_network(gt) + theme(legend.text = element_text(size = 8), legend.title = element_text(size = 9)) plot_permutations(gt)
The k-nearest neighbors graph is obtained by putting an edge between two samples whenever one of them is in the set of k-nearest neighbors of the other. We see from Figure 24 that if a pair of samples has an edge between them in the nearest neighbor graph, they are overwhelmingly likely to be in the same litter.

gt <- graph_perm_test(ps, "family_relationship", grouping = "host_subject_id", distance = "jaccard", type = "knn", knn = 1) gt$pval
## [1] 0.01plot_test_network(gt) + theme(legend.text = element_text(size = 8), legend.title = element_text(size = 9)) plot_permutations(gt)
We can compute the analogous test with two-nearest neighbors and the Bray-Curtis dissimilarity. The results are in Figure 25.

gt <- graph_perm_test(ps, "family_relationship", grouping = "host_subject_id", distance = "bray", type = "knn", knn = 2) gt$pval
## [1] 0.01plot_test_network(gt) + theme(legend.text = element_text(size = 8), legend.title = element_text(size = 9)) plot_permutations(gt)
Another way of making a graph between samples is to threshold the distance matrix, this is called a geometric graph24. The testing function lets the user supply an absolute distance threshold; alternatively, it can find a distance threshold such that there are a prespecified number of edges in the graph. Below we use a distance threshold so that there are 720 edges in the graph, or twice as many edges as there are samples. Heuristically, the graph we obtain isn’t as good, because there are many singletons. This reduces power, and so if the thresholded graph has this many singletons it is better to either modify the threshold or consider a MST or k-nearest neighbors graph.
gt <- graph_perm_test(ps, "family_relationship", grouping = "host_subject_id", distance = "bray", type = "threshold.nedges", nedges = 720, keep.isolates = FALSE) gt$pval
## [1] 0.06plot_test_network(gt) + theme(legend.text = element_text(size = 8), legend.title = element_text(size = 9)) plot_permutations(gt)
Then we can try a similar procedure with an increased number of edges to see what happens.
gt <- graph_perm_test(ps, "family_relationship", grouping = "host_subject_id", distance = "bray", type = "threshold.nedges", nedges = 2000, keep.isolates = FALSE) gt$pval
## [1] 0.07plot_test_network(gt) + theme(legend.text = element_text(size = 8), legend.title = element_text(size = 9)) plot_permutations(gt)
It is often of interest to evaluate the degree to which microbial community diversity reflects characteristics of the environment from which it was sampled. Unlike ordination, the purpose of this analysis is not to develop a representation of many microbes with respect to sample characteristics; rather, it is to describe how a single measure of overall community structure (In particular, it need not be limited to diversity – defining univariate measures of community stability is also common, for example.) is associated with sample characteristics. This is a somewhat simpler statistical goal, and can be addressed through linear modeling, for which there are a range of approaches in R. As an example, we will used a mixed-effects model to study the relationship between mouse microbial community diversity and the age and litter variables that have been our focus so far. This choice was motivated by the observation that younger mice have noticeably lower Shannon diversities, but that different mice have different baseline diversities. The mixed-effects model is a starting point for formalizing this observation.
We first compute the Shannon diversity associated with each sample and join it with sample annotation.
setup_example(c("phyloseq", "ggplot2", "nlme", "dplyr", "vegan", "reshape2")) ps_alpha_div <- estimate_richness(ps, split = TRUE, measure = "Shannon") ps_alpha_div$SampleID <- rownames(ps_alpha_div) %>% as.factor() ps_samp <- sample_data(ps) %>% unclass() %>% data.frame() %>% left_join(ps_alpha_div, by = "SampleID") %>% melt(measure.vars = "Shannon", variable.name = "diversity_measure", value.name = "alpha_diversity") # reorder's facet from lowest to highest diversity diversity_means <- ps_samp %>% group_by(host_subject_id) %>% summarise(mean_div = mean(alpha_diversity)) %>% arrange(mean_div) ps_samp$host_subject_id <- factor(ps_samp$host_subject_id, diversity_means$host_subject_id)
We use the nlme package to estimate coefficients for this mixed-effects model.
alpha_div_model <- lme(fixed = alpha_diversity ~ age_binned, data = ps_samp, random = ~ 1 | host_subject_id)
To interpret the results, we compute the prediction intervals for each mouse by age bin combination. These are displayed in Figure 28. The intervals reflect the slight shift in average diversity across ages, but the wide intervals emphasize that more samples would be needed before this observation can be confirmed.

The timepoints have been split into three bins, according to the mices’ age. The prediction intervals obtained from mixed-effects modeling are overlaid.
new_data <- expand.grid(host_subject_id = levels(ps_samp$host_subject_id), age_binned = levels(ps_samp$age_binned)) new_data$pred <- predict(alpha_div_model, newdata = new_data) X <- model.matrix(eval(eval(alpha_div_model$call$fixed)[-2]), new_data[-ncol(new_data)]) pred_var_fixed <- diag(X %*% alpha_div_model$varFix %*% t(X)) new_data$pred_var <- pred_var_fixed + alpha_div_model$sigma ^ 2
# fitted values, with error bars ggplot(ps_samp %>% left_join(new_data)) + geom_errorbar(aes(x = age_binned, ymin = pred - 2 * sqrt(pred_var), ymax = pred + 2 * sqrt(pred_var)), col = "#858585", size = .1) + geom_point(aes(x = age_binned, y = alpha_diversity, col = family_relationship), size = 0.8) + facet_wrap(~host_subject_id) + scale_y_continuous(limits = c(2.4, 4.6), breaks = seq(0, 5, .5)) + scale_color_brewer(palette = "Set2") + labs(x = "Binned Age", y = "Shannon Diversity", color = "Litter") + guides(col = guide_legend(override.aes = list(size = 4))) + theme(panel.border = element_rect(color = "#787878", fill = alpha("white", 0)), axis.text.x = element_text(angle = -90, size = 6), axis.text.y = element_text(size = 6))
Hypothesis testing can be used to identify individual microbes whose abundance relates to sample variables of interest. A standard approach is to compute a test statistic for each microbe individually, measuring its association with sample characteristics, and then jointly adjust p-values to ensure a False Discovery Rate upper bound. This can be accomplished through the Benjamini-Hochberg procedure, for example25. However, this procedure does not exploit any structure among the tested hypotheses – for example, it is likely that if one Ruminococcus species is strongly associated with age, then others are as well. To integrate this information26,27, proposed a hierarchical testing procedure, where taxonomic groups are only tested if higher levels are found to be be associated. In the case where many related species have a slight signal, this pooling of information can increase power.
We apply this method to test the association between microbial abundance and age. This provides a complementary view of the earlier analyses, identifying individual microbes that are responsible for the differences between young and old mice.
We digress briefly from hierarchical testing to describe an alternative form of count normalization. Rather than working with the logged data as in our earlier analysis, we consider a variance stabilizing transformation introduced by 28 for RNA-seq data and in 29 for 16S rRNA generated count data and available in the DESeq2 package. The two transformations yield similar sets of significant microbes. One difference is that, after accounting for size factors, the histogram of row sums for DESeq is more spread out in the lower values, refer to Figure 29. This is the motivation of using such a transformation, although for high abundance counts, it is equivalent to the log, for lower and mid range abundances it does not crush the data and yields more powerful results. The code below illustrates the mechanics of computing DESeq2’s variance stabilizing transformation on a phyloseq object.

The bottom histogram is the same as that in Figure 7, and is included to facilitate comparison.
setup_example(c("phyloseq", "structSSI", "plyr", "dplyr", "reshape2", "ggplot2", "DESeq2")) ps_dds <- phyloseq_to_deseq2(ps, ~ age_binned + family_relationship) varianceStabilizingTransformation(ps_dds, blind = TRUE, fitType = "parametric")
## class: DESeqTransform
## dim: 390 344
## metadata(1): version
## assays(1): ''
## rownames(390):
## GCGAGCGTTATCCGGATTTATTGGGTTTAAAGGGTGCGCAGGCGGAAGATCAAGTCAGCGGTAAAATTGAGAGGCTCAACCTCTTCGAGCCGTT.....
## GCGAGCGTTATCCGGATTTATTGGGTTTAAAGGGTGCGCAGGCGGACTCTCAAGTCAGCGGTCAAATCGCGGGGCTCAACCCCGTTCCGCCGTT....
## rowData names(5): baseMean baseVar allZero dispGeneEst dispFit
## colnames(344): F3D0 F3D1 ... M6D8 M6D9
## colData names(17): collection_date biome ... age_binned sizeFactorps_dds <- estimateSizeFactors(ps_dds) ps_dds <- estimateDispersions(ps_dds) abund <- getVarianceStabilizedData(ps_dds)
We use structSSI to perform the hierarchical testing30. For more convenient printing, we first shorten the names of each microbe.
short_names <- substr(rownames(abund), 1, 5)%>% make.names(unique = TRUE) rownames(abund) <- short_names
Unlike standard multiple hypothesis testing, the hierarchical testing procedure needs univariate tests for each higher-level taxonomic group, not just every microbe. A helper function, treePValues, is available for this; it expects an edgelist encoding parent-child relationships, with the first row specifying the root node.
el <- phy_tree(pslog)$edge el0 <- el el0 <- el0[nrow(el):1, ] el_names <- c(short_names, seq_len(phy_tree(pslog)$Nnode)) el[, 1] <- el_names[el0[, 1]] el[, 2] <- el_names[as.numeric(el0[, 2])] unadj_p <- treePValues(el, abund, sample_data(pslog)$age_binned)
We can now correct p-value using the hierarchical testing procedure. The test results are guaranteed to control several variants of FDR control, but at different levels; we defer details to 26,27,30.
hfdr_res <- hFDR.adjust(unadj_p, el, .75) summary(hfdr_res)
## Number of hypotheses: 778
## Number of tree discoveries: 157
## Estimated tree FDR: 1
## Number of tip discoveries: 77abund_sums <- rbind(data.frame(sum = colSums(abund), sample = colnames(abund), type = "DESeq2"), data.frame(sum = rowSums(otu_table(pslog)), sample = rownames(otu_table(pslog)), type = "log(1 + x)")) ggplot(abund_sums) + geom_histogram(aes(x = sum), binwidth = 20) + facet_grid(type ~ .) + xlab("Total abundance within sample")
## Estimated tips FDR: 1
##
## hFDR adjusted p-values:
## unadjp adjp adj.significance
## GCAAG.71 1.01e-67 2.02e-67 ***
## GCAAG.254 2.01e-48 4.03e-48 ***
## GCAAG.30 2.87e-40 5.74e-40 ***
## GCAAG.65 2.99e-27 5.98e-27 ***
## 98 2.24e-26 4.47e-26 ***
## GCAAG.6 1.77e-22 3.53e-22 ***
## 88 1.41e-20 2.82e-20 ***
## GCAAG.51 1.13e-18 2.27e-18 ***
## 164 1.88e-17 3.77e-17 ***
## GCAAG.271 1.84e-16 3.67e-16 ***
## [only 10 most significant hypotheses shown]
## ---
## Signif. codes: 0 '***' 0.015 '**' 0.15 '*' 0.75 '.' 1.5 '-' 1plot(hfdr_res, height = 5000) # opens in a browser
The plot opens in a new browser – a static screenshot of a subtree is displayed in Figure 30. Nodes are shaded according to p-values, from blue to orange, representing the strongest to weakest associations. Grey nodes were never tested, to focus power on more promising subtrees. Scanning the full tree, it becomes clear that the association between age group and microbe abundance is present in only a few isolated taxonomic groups, but that it is quite strong in those groups. To give context to these results, we can retrieve the taxonomic identity of the rejected hypotheses.

Currently the user is hovering over the node associated with microbe GCGAG.33; this causes the adjusted p-value (0.0295) to appear.
tax <- tax_table(pslog)[, c("Family", "Genus")] %>% data.frame() tax$seq <- short_names hfdr_res@p.vals$seq <- rownames(hfdr_res@p.vals) tax %>% left_join(hfdr_res@p.vals) %>% arrange(adjp) %>% head(10) ## Family Genus seq unadjp adjp adj.significance ## 1 Lachnospiraceae Roseburia GCAAG.71 1.01e-67 2.02e-67 *** ## 2 Lachnospiraceae <NA> GCAAG.254 2.01e-48 4.03e-48 *** ## 3 Lachnospiraceae <NA> GCAAG.30 2.87e-40 5.74e-40 *** ## 4 Lachnospiraceae Roseburia GCAAG.65 2.99e-27 5.98e-27 *** ## 5 Lachnospiraceae <NA> GCAAG.6 1.77e-22 3.53e-22 *** ## 6 Lachnospiraceae <NA> GCAAG.51 1.13e-18 2.27e-18 *** ## 7 Lachnospiraceae Ruminococcus2 GCAAG.271 1.84e-16 3.67e-16 *** ## 8 Lachnospiraceae <NA> GCAAG.273 4.64e-16 9.28e-16 *** ## 9 Lachnospiraceae Johnsonella GCAAG.242 5.38e-16 1.08e-15 *** ## 10 Lachnospiraceae <NA> GCAAG.94 1.51e-13 1.51e-13 ***
It seems that the most strongly associated microbes all belong to family Lachnospiraceae, which is consistent with the random forest results in Section.
Many microbiome studies attempt to quantify variation in the microbial, genomic, and metabolic measurements across different experimental conditions. As a result, it is common to perform multiple assays on the same biological samples and ask what features – microbes, genes, or metabolites, for example – are associated with different sample conditions. There are many ways to approach these questions, which to apply depends on the study's focus.
Here, we will focus on one specific workflow that uses sparse Canonical Correlation Analysis (sparse CCA), a method well-suited to both exploratory comparisons between samples and the identification of features with interesting variation. We will use an implementation from package PMA31.
Since the mouse data used above included only a single table, we use a new data set, collected by the study32. There are two tables here, one for microbes and another with metabolites. Twelve samples were obtained, each with measurements at 637 m/z values and 20,609 OTUs; however, about 96% of the entries of the microbial abundance table are exactly zero. The code below retrieves this data.
setup_example(c("phyloseq", "ggplot2", "reshape2", "ade4", We can now apply spars"PMA", "genefilter", "ggrepel")) metab_path <- file.path(tempdir(), "metabolites.csv") microbe_path <- file.path(tempdir(), "microbe.rda") download.file("https://www.dropbox.com/s/zve4gmt20ralkwc/metabolites.csv?raw=1", destfile = metab_path) download.file("https://www.dropbox.com/s/l5m0wdmm8a1d926/microbe.rda?raw=1", destfile = microbe_path) metab <- read.csv(metab_path, row.names = 1) metab <- as.matrix(metab) microbe <- get(load(microbe_path))
Our preprocessing mirrors that done for the mouse data. We first filter down to microbes and metabolites of interest, removing those that are zero across many samples. Then, we transform them to weaken the heavy tails.
keep_ix <- rowSums(metab == 0) <= 3 metab <- metab[keep_ix, ] microbe <- prune_taxa(taxa_sums(microbe) > 4, microbe) microbe <- filter_taxa(microbe, filterfun(kOverA(3, 2)), TRUE) metab <- log(1 + metab, base = 10) X <- otu_table(microbe)@.Data X[X > 50] <- 50
We can now apply sparse CCA. This method compares sets of features across high-dimensional data tables, where there may be more measured features than samples. In the process, it chooses a subset of available features that capture the most covariance – these are the features that reflect signals present across multiple tables. We then apply PCA to this selected subset of features. In this sense, we use sparse CCA as a screening procedure, rather than as an ordination method.
Our implementation is below. The parameters penaltyx and penaltyz are sparsity penalties. Larger values of penaltyx will result in fewer selected microbes, similarly penaltyz modulates the number of selected metabolites. We tune them manually to facilitate subsequent interpretation – we generally prefer more sparsity than the default parameters would provide.
cca_res <- CCA(t(X), t(metab), penaltyx = .15, penaltyz = .15) ## 123456789101112131415 cca_res ## Call: CCA(x = t(X), z = t(metab), penaltyx = 0.15, penaltyz = 0.15) ## ## ## Num non-zeros u's: 5 ## Num non-zeros v's: 15 ## Type of x: standard ## Type of z: standard ## Penalty for x: L1 bound is 0.15 ## Penalty for z: L1 bound is 0.15 ## Cor(Xu,Zv): 0.974
With these parameters, five microbes and 15 metabolites have been selected, based on their ability to explain covariation between tables. Further, these 20 features result in a correlation of 0.974 between the two tables. We interpret this to mean that the microbial and metabolomic data reflect similar underlying signals, and that these signals can be approximated well by the 20 selected features. Be wary of the correlation value, however, since the scores are far from the usual bivariate normal cloud. Further, note that it is possible that other subsets of features could explain the data just as well – sparse CCA has minimized redundancy across features, but makes no guarantee that these are the "true" features in any sense.
Nonetheless, we can still use these 20 features to compress information from the two tables without much loss. To relate the recovered metabolites and OTUs to characteristics of the samples on which they were measured, we use them as input to an ordinary PCA.
combined <- cbind(t(X[cca_res$u != 0, ]), t(metab[cca_res$v != 0, ])) pca_res <- dudi.pca(combined, scannf = F, nf = 3)
# annotation genotype <- substr(rownames(pca_res$li), 1, 2) sample_type <- substr(rownames(pca_res$l1), 3, 4) feature_type <- grepl("\\.", colnames(combined)) feature_type <- ifelse(feature_type, "Metabolite", "OTU") sample_info <- data.frame(pca_res$li, genotype, sample_type) feature_info <- data.frame(pca_res$c1, feature = substr(colnames(combined), 1, 6))
Figure 31 displays a PCA triplot, where we show different types of samples and the multidomain features (Metabolites and OTUs). This allows comparison across the measured samples – triangles for Knockout and circles for wild type – and characterizes the influence the different features – diamonds with text labels. For example, we see that the main variation in the data is across PD and ST samples, which correspond to the different diets. Further, large values of 15 of the features are associated with ST status, while small values for 5 of them indicate PD status. The advantage of the sparse CCA screening is now clear – we can display most of the variation across samples using a relatively simple plot, and can avoid plotting the hundreds of additional points that would be needed to display all of the features.
ggplot() + geom_point(data = sample_info, aes(x = Axis1, y = Axis2, col = sample_type, shape = genotype), size = 3) + geom_label_repel(data = feature_info, aes(x = 5.5 * CS1, y = 5.5 * CS2, label = feature, fill = feature_type), size = 2, segment.size = 0.3, label.padding = unit(0.1, "lines"), label.size = 0) + geom_point(data = feature_info, aes(x = 5.5 * CS1, y = 5.5 * CS2, fill = feature_type), size = 1, shape = 23, col = "#383838") + scale_color_brewer(palette = "Set2") + scale_fill_manual(values = c("#a6d854", "#e78ac3")) + guides(fill = guide_legend(override.aes = list(shape = 32, size = 0))) + coord_fixed(sqrt(pca_res$eig[2] / pca_res$eig[2])) + labs(x = sprintf("Axis1 [%s%% Variance]", 100 * round(pca_res$eig[1] / sum(pca_res$eig), 2)), y = sprintf("Axis2 [%s%% Variance]", 100 * round(pca_res$eig[2] / sum(pca_res$eig), 2)), fill = "Feature Type", col = "Sample Type")
The programs and source for this article can be run using version 3.3 of R and version 3.3 of Bioconductor.
We have shown how a complete workflow in R is now available to denoise, identify and normalize next generation amplicon se quencing reads using probabilistic models with parameters fit using the data at hand.
We have provided a brief overview of all the analyses that become possible once the data has been imported into the R environment. Multivariate projections using the phylogenetic tree as the relevant distance between OTUs/RSVs can be done using weighted Unifrac or double principal coordinate analyses using the phyloseq package. Biplots provide the user with an interpretation key. These biplots have been extended to triplots in the case of multidomain data incorporating genetic, metabolic and taxa abundances. We illustrate the use of network based analyses, whether the community graph is provided from other sources or from a taxa co-occurrence computation using a Jaccard distance.
We have briefly covered a small example of using two supervised learning functions (random forests and partial least squares) to predict a response variable.
The main challenges in tackling microbiome data come from the many different levels of heterogeneity both at the input and output levels. These are easily accommodated through R's capacity to combine data into S4 classes. We are able to include layers of information, trees, sample data description matrices and contingency tables in the phyloseq data structures. The plotting facilities of ggplot2 and ggnetwork allow for the layering of information in the output into plots that combine graphs, multivariate information and maps of the relationships between covariates and taxa abundances. The layering concept allows the user to provide reproducible publication level figures with multiple heterogeneous sources of information. Our main goal in providing these tools has been to enhance the statistical power of the analyses by enabling the user to combine frequencies, quality scores and covariate information into complete and testable projections.
This illustration of possible workflows for microbiome data combining trees, networks, normalized read counts and sample information showcases the capabilities and reproducibility of an R based system for analyzing bacterial communities. We have implemented key components in C wrapped within the Bioconductor package dada2 to enable the different steps to be undertaken on a laptop.
Once the sequences have been filtered and tagged they can be assembled into a phylogenetic tree directly in R using the maximum likelihood tree estimation available in phangorn. The sequences are then assembled into a phyloseq object containing all the sample covariates, the phylogenetic tree and the sample-taxa contingency table.
These data can then be visualized interactively with Shiny-phyloseq, plotted with one line wrappers in phyloseq and filtered or transformed very easily.
The third component of the paper shows more complex analyses that require direct use of ggplot2 and advanced statistical analyses. This will be of interest to power users with a good working knowledge of R, ggplot2 and statistical learning techniques. We use ggnetwork to plot community networks and perform a permutation test on a categorical response. We show that partial least squares and random forests give very similar quality predictions on this data and show how to plot the resulting proximities. Multivariate ordination methods allow useful lower dimensional projections in the presence of phylogenetic information or multi-domain data as shown in an example combining metabolites and OTU abundances.
Supervised learning methods provide lists of the most relevant taxa in discriminating between groups. To improve the power of the testing techniques designed to identify taxa that are the most changed between two groups of subjects, we provide an optimized variance stabilizing transformation and multiple hypothesis correction using the DESeq2 package. We have also incorporated a more original way of controlling for multiple hypothesis testing at the different levels of the phylogenetic tree through the use of structSSI, a package that implements FDR control for hierarchical structures26,27,30. This package is interactive so we have supplied a snapshot of the output tree.
The last example in the paper shows how to combine data from multiple domains32: metabolites, taxa counts, genetic data and diet. We illustrate the combination of sparse canonical correlation analysis with PCA to provide a useful triplot projection of the data.
Intermediary data for the analyses are made available at the Stanford digital repository permanent url for this paper: http://purl.stanford.edu/wh250nn9648. All other data have been previously published and the links are included in the paper.
Bioconductor packages at https://www.bioconductor.org/. CRAN packages at https://cran.r-project.org/.
Permanent repository for the data and program source of this paper: https://purl.stanford.edu/wh250nn9648
Latest source code as at the time of publication: https://github.com/spholmes/F1000_workflow
Archived source as at the time of publication: Zenodo: F1000_workflow: MicrobiomeWorkflowv0.9, doi: 10.5281/zenodo.5454433
BJC, KS, JAF, PJM and SPH developed the software tools, BJC, KS, JAF, PJM and SPH developed statistical methods and tested the workflow on the data sets. BJC, KS, JAF, PJM and SPH wrote the article.
This work was partially supported by the NSF (DMS-1162538 to SPH), the NIH (R01AI112401 to SPH), JAF received support from an Stanford Interdisciplinary Graduate Fellowship and KS was supported by an NIH TR32 training grant.
The funders had no role in study design, data collection and analysis, decision to publish, or preparation of the manuscript.
The authors would like to thank the members of the Relman Lab for their valuable insights on microbiology and sequencing and the users of phyloseq who have provided bug reports and feature requests.
They can now be found at the top of the panel on the right, linked from the box entitled Open Peer Review. Choose the reviewer report you wish to read and click the 'read' link. You can also read all the peer review reports by downloading the PDF.
| Views | Downloads | |
|---|---|---|
| F1000Research | - | - |
| PubMed Central Data from PMC are received and updated monthly. | - | - |
Competing Interests: No competing interests were disclosed.
Competing Interests: No competing interests were disclosed.
Competing Interests: No competing interests were disclosed.
Alongside their report, reviewers assign a status to the article:
| Invited Reviewers | |||
|---|---|---|---|
| 1 | 2 | 3 | |
| Version 2 (revision) 02 Nov 16 | read | ||
| Version 1 24 Jun 16 | read | read | read |
Competing Interests
Provide sufficient details of any financial or non-financial competing interests to enable users to assess whether your comments might lead a reasonable person to question your impartiality. Consider the following examples, but note that this is not an exhaustive list:
Sign up for content alerts and receive a weekly or monthly email with all newly published articles
Already registered? Sign in
The email address should be the one you originally registered with F1000.
You registered with F1000 via Google, so we cannot reset your password.
To sign in, please click here.
If you still need help with your Google account password, please click here.
You registered with F1000 via Facebook, so we cannot reset your password.
To sign in, please click here.
If you still need help with your Facebook account password, please click here.
We have sent an email to , please follow the instructions to reset your password.
If you don't receive this email, please check your spam filters and/or contact .
Indeed we realized there are a few lines missing in the github repository and the online code, we are currently preparing ... Continue reading Thanks for the comment, this is very helpful.
Indeed we realized there are a few lines missing in the github repository and the online code, we are currently preparing a revision that addresses this and the referee's reports.
We hope to have a new version up shortly, the github repository should reflect the changes in code even before the new article does.
In the meantime if you are still having problems it is also possible to post issues both on the phyloseq and dada2 repositories:
https://github.com/joey711/phyloseq
https://github.com/benjjneb/dada2
Indeed we realized there are a few lines missing in the github repository and the online code, we are currently preparing a revision that addresses this and the referee's reports.
We hope to have a new version up shortly, the github repository should reflect the changes in code even before the new article does.
In the meantime if you are still having problems it is also possible to post issues both on the phyloseq and dada2 repositories:
https://github.com/joey711/phyloseq
https://github.com/benjjneb/dada2