Keywords
peer review, decision times, eLife
This article is included in the Research on Research, Policy & Culture gateway.
peer review, decision times, eLife
Although pre-publication peer review has been strongly criticised – for its inefficiencies, lack of speed, and potential for bias (for example, see 1 and 2) – it remains the gold standard for the assessment and publication of research3. eLife was launched to “improve [...] the peer-review process”4 in the life and biomedical sciences, and one of the journal’s founding principles is that “decisions about the fate of submitted papers should be fair, constructive, and provided in a timely manner”5. However, peer review is under pressure from the growth in the number of scientific publications, which increased by 8–9% annually from the 1940s to 20126, and growth in submissions to eLife would inevitably challenge the capacity of their editors and procedures.
eLife’s editorial process has been described before7,8. In brief, each new submission is assessed by a Senior Editor, usually in consultation with one or more members of the Board of Reviewing Editors, to identify whether it is appropriate for in-depth peer review. Traditionally, editors recruit peer reviewers and, based on their input, make a decision about the fate of a paper. Once a submission is sent for in-depth peer review, however, the Reviewing Editor at eLife has extra responsibility. First, the Reviewing Editor is expected to serve as one of the peer reviewers. Second, once the reviews have been submitted independently, the Reviewing Editor should engage in discussions with the other reviewers to reach a decision they can all agree with. Third, when asking for revisions, the Reviewing Editor should synthesise the separate reviews into a single set of revision requirements. Fourth, wherever possible, the Reviewing Editor is expected to make a decision on the revised submission without re-review. At other journals, the Reviewing Editor may instead be known as an Academic Editor or Associate Editor.
Since editors have extra responsibility in eLife’s peer-review process, here we focus our analysis on the effect of the Reviewing Editor serving as one of the peer reviewers, and we examine three outcomes: 1) the effect on decision times; 2) the effect on the decision type (accept, reject or revise); and 3) the citation rate of published papers. The results of the analysis are broken down by the round of revision and the overall fate of the submission. We do not consider the effect of the discussion between the reviewers or the effect of whether the Reviewing Editor synthesizes the reviews or not.
We analyzed a dataset containing information about 9,589 papers submitted to eLife since June 2012 in an anonymised format. The dataset contained the date each paper was first submitted, and, if it was sent for peer review, the dates and decisions taken at each step in the peer-review process. Information about authors had been removed, and the identity of reviewers and editors was obfuscated to preserve confidentiality.
As a pre-processing step, we removed papers that had been voluntarily withdrawn, or where the authors appealed a decision, as well as papers where the records were corrupted or otherwise unavailable. After clean up, our dataset consisted of a total of 8,905 submissions, of which 2,750 were sent for peer review. For the rest of the paper, we focus our analysis on this subset of 2,750 papers, of which 1,405 had been accepted, 1,099 had been rejected, and the rest were still under consideration. The article types included are Research Articles (MS type 1), Short Reports (MS type 14), Tools and Resources (MS type 19), and Research Advances (MS type 15). Registered Reports are subject to a slightly different review process and have not been included.
Before discussing the results, we introduce a few definitions: the “eLife Decision Time” is the amount of time taken by eLife from that version of the submission being received until a decision has been reached for a particular round of review. The“Author Time” is the amount of time taken by the authors to revise their article for that round of revision. The “Total Time” is the time from first submission to acceptance, or amount of time taken for eLife to publish a paper from the moment it was first received for consideration. By definition, the “Total Time” is equal to the sum of the “eLife Decision Time” and the “Author Time” across all rounds, including the initial submission step. “Revision Number” indicates the round of revision. We distinguish between Reviewing Editors who served as one of the reviewers during the first round of review and Reviewing Editors who did not serve as one of the reviewers (i.e., those who undertook more of a supervisory role during the review process) with the “Editor_As_Reviewer” variable (True or False).
We illustrate the variables with a real example taken from the dataset (Table 1).
| MS Type | Revision Number | Received Date | Decision Date | eLife Decision Time | Total Time | Author Time | Editor_As_ Reviewer |
|---|---|---|---|---|---|---|---|
| 5 | 1 | 2012-06-20 | 2012-06-21 | 1 | N/A | N/A | |
| 1 | 1 | 2012-06-27 | 2012-07-25 | 28 | N/A | 6 | True |
| 2 | 2012-09-05 | 2012-09-05 | 0 | 77 | 42 | True |
The example submission from Table 1 was received as an “initial submission” (MS TYPE 5) on 20 June 2012. One day later, the authors were encouraged to submit a “full submission” (MS TYPE 1) that would be sent for in-depth peer review. The full submission was received on 27 June 2012, when the Reviewing Editor was assigned and reviewers were contacted. In this example, the Reviewing Editor also served as one of the reviewers (indicated by the “Editor_As_Reviewer” variable).
On 25 July (28 days later), the Reviewing Editor sent out a decision asking for revisions to the authors, who submitted their revised manuscript on 5 September. The paper was accepted on the same day that it was resubmitted. In this case, the total eLife Decision Time was 29 days (including the pre-review stage), the Author Time was 48 days, and the Total Time (eLife Decision Time plus Author Time) was 77 days. Total Time refers only to the total time across all rounds and revisions for each paper - and does not vary across rounds. Since we are focusing on the role of the editors in the peer review process, in the rest of the paper we will ignore the time spent in the pre-review stage.
All of the statistical analyses were performed using R and Python. On the Python side, we used statsmodels, scipy, numpy, and pandas for the data manipulation and analysis. To plot the results we used bokeh, matplotlib, and seaborn. Details of all the analysis, together with code to reproduce all image and tables in the paper are available on the companion repository of this paper here: https://github.com/FedericoV/eLife_Editorial_Process.
To obtain the citation numbers, we used a BeautifulSoup to scrape the eLife website, which provides detailed information about citations for each published paper.
First, we examined the effect of the Reviewing Editors serving as one of the reviewers on the time from submission to acceptance or from submission to rejection after peer review (Total Time). When the Reviewing Editor served as a reviewer (Editor_As_Reviewer = True), the total processing time was 10 days faster in the case of accepted papers and more than 5 days faster in the case of papers rejected after peer review (Figure 1). Both differences are statistically significant (see Table 2 for details). Intuitively, regardless of the role of the Reviewing Editor, rejection decisions are typically much faster than acceptance decisions, as they go through fewer rounds of revision, and are not usually subject to revisions from the authors.

We compare the total time from submission to acceptance and submission to rejection after peer review. Orange indicates papers submissions where the Reviewing Editor served as one of the peer reviewers, while light blue indicates submissions where the Reviewing Editor did not serve as one of the reviewers (i.e., the editors had more of a supervisory role).
One possible reason why submissions reviewed by the Reviewing Editor have a faster turnaround is because fewer people are involved (e.g., the Reviewing Editor in addition to two external reviewers, rather than the Reviewing Editor recruiting three external reviewers), and review times are limited by the slowest person. To test this, we built a linear model to predict the total review time as a function of editor type (whether the Reviewing Editor served as a reviewer or not), decision (accept or reject), and the number of unique reviewers across all rounds (see Table S1). Indeed, the total review time did increase with each reviewer (7.4 extra days per reviewer, p < 0.001) and the effect of a Reviewing Editor serving as one of the reviewers remained significant (–9.3 days when a Reviewing Editor served as one of the reviewers, p < 0.0001).
Next, we examined this effect across all rounds of review (rounds 0, 1, 2) and decision types (accept, reject and revise). The results are shown in Figure 2 and summarized in Table 2. Again, we see that processing times are consistently faster across almost every round, when the editors serves as one of the peer reviewers, except in the cases where the sample size was very small.

Boxplots showing decision times for different rounds of review, depending on decision type and whether the Reviewing Editor served as one of the reviewers (orange) or not (light blue).
Interestingly, when the Reviewing Editor serves as one of the peer reviewers, the eLife Decision Time is reduced, but the time spent on revisions (Author Time) does not change. This suggests that the actual review process is more efficient when the Reviewing Editor serves as a reviewer, but the extent of revisions being requested from the authors remains constant.
We next examined the chances of a paper being accepted, rejected or revised when a Reviewing Editor served as one of the reviewers. We found no significant difference when examining the decision type on a round-by-round basis (Table 3) (chi-squared test, p = 0.33).
| Editor_As_Reviewer | False | True | Totals |
|---|---|---|---|
| Accept Full Submission | 566 | 837 | 1403 |
| Reject Full Submission | 472 | 626 | 1098 |
| Revise Full Submission | 840 | 1140 | 1980 |
| Totals | 1878 | 2603 | 4481 |
To test whether eLife’s acceptance criteria changed over time, we built a logit model including as a predictive variable the number of days since eLife began accepting papers and whether the Reviewing Editor served as one of the reviewers. The number of days since publication had a very small (–0.003) but significant effect (p < 0.02) while the effect of the Reviewing Editor serving as a reviewer was not significant (see Table S2). We also tested whether a Reviewing Editor serving as a reviewer had an effect on the number of rounds of revision before the final decision and found no significant effect (see Table S3).
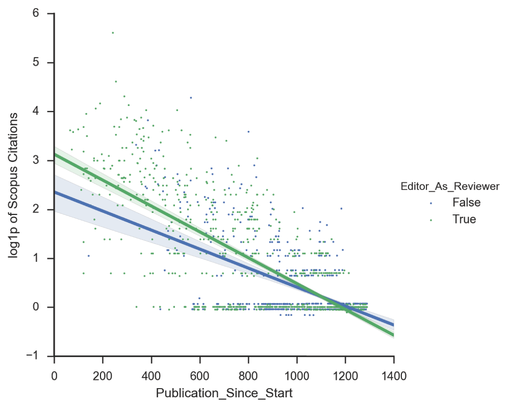
The final outcome we examined was the number of citations (as tracked by Scopus) received by papers published by eLife. Papers accumulate citations over time, and, as such, papers published earlier tend to have more citations (Figure 3).

log1p of the number of citations (indexed by Scopus) received by each paper accepted by eLife versus the number of days between when eLife first started accepting papers. Green dots represent papers where the Reviewing Editor served as one of the reviewers, while blue dots represent papers where the Reviewing Editor did not serve as one of the reviewers.
We examined this effect using a generalized linear model. As variables, we considered whether the Reviewing Editor served as a reviewer (Editor_As_Reviewer, true or false), as well as the number of days between eLife publishing its first manuscript and the day the Scopus database was queried. The presence of a Reviewing Editor serving as a reviewer had no significant effect on the number of citations (see Table S4). Papers with longer total review times tended to be cited less (this effect is small but significant).
One of the most noticeable effects of a Reviewing Editor serving as one of the peer reviewers at eLife is the faster decision times. However, serving as a Reviewing Editor and one of the reviewers for the same submission is a significant amount of work. As the volume of papers received by eLife has increased, the fraction of editors willing to serve as a reviewer has decreased. While in 2012 almost all editors also served as reviewers, that percentage decreased in 2013 and 2014. There are signs of a mild increase in the percentage of editors willing to serve as reviewers in 2015 (Figure 4).

Time series plots for the number of active editors who served as one of the reviewers (Unique RE, blue) or not (Unique SE, green) in a given month. The total number of papers sent for peer review is shown in red. The % of papers is in black.
Due to an increasingly competitive funding environment, scientists are under immense pressure to publish in scientific journals, yet the peer-review process remains relatively opaque at many journals. In a systematic review from 2012, the authors conclude that “Editorial peer review, although widely used, is largely untested and its effects are uncertain”9. Recently, journals and conferences (e.g., 10) have launched initiatives to improve the fairness and transparency of the review process. eLife is one such example. Meanwhile, scientists are frustrated by the time it takes to publish their work11.
We report the analysis of a dataset consisting of articles received by eLife since launch and examine factors that affect the duration of the peer-review process, the chances of a paper being accepted, and the number of citations that a paper receives. In our analysis, when an editor serves as one of the reviewers, the time taken during peer review is significantly decreased. Although there is additional work and responsibility for the editor, this could serve as a model for other journals that want to improve the speed of the review process.
Journals and editors should also think carefully about the optimum number of peer reviewers per paper. With each extra reviewer, we found that an extra 7.4 days are added to the review process. Editors should of course consider subject coverage and ensure that reviewers with different expertise can collectively comment on all parts of a paper, but where possible there may be advantages, certainly in terms of speed and easing the pressure on the broader reviewer pool, of using fewer reviewers per paper overall.
Insofar as the editor serving as a reviewer is concerned, we did not observe any difference in the chances of a paper being accepted or rejected, but we did notice a modest increase in the overall number of citations that a paper receives when an editor serves as one of the reviewers, although this effect is very small. An interesting result from our analysis is that a longer peer-review process or more referees does not lead to an increase in citations, so this is another reason for journals and editors to carefully consider the impact of the number of reviewers involved, and to strive to communicate the results presented in a timely manner for others to build upon. As eLife is a relatively young journal, we can verify if the citations trend we observe will hold over longer periods as different papers accumulate citations.
All code for the analysis as well as the datasets: https://github.com/FedericoV/eLife_Editorial_Process
Archived version as at the time of publication: http://dx.doi.org/10.5281/zenodo.4854415
To reproduce Figure 4, we pre-processed the raw dataset that contained the identity of the editors to avoid disclosing any information about the identity of reviewers.
FV and AC conceived the study. FV, MG, AC-N designed the analysis. FV carried out the analysis. FV and MG prepared the first draft of the figures and the manuscript. FV and AC wrote the final version of the manuscript. All authors have agreed to the final content.
Andy Collings is Executive Editor at eLife. The other authors declare that they have no competing interests.
Andy Collings is employed by eLife Sciences Publications Ltd. eLife is supported by the Howard Hughes Medical Institute, the Max Planck Society and the Wellcome Trust.
The funders had no role in study design, data collection and analysis, decision to publish, or preparation of the manuscript.
We gratefully acknowledge discussions and input from Mark Patterson (eLife’s Executive Director) and Peter Rodgers (eLife’s Features Editor). We thank James Gilbert (Senior Production Assistant at eLife) for extracting data from the submission system for analysis.
We built a linear model of the Total Time as a function of whether the Reviewing Editor served as a reviewer (Editor_As_Reviewer) (categorical variable, two levels), the final decision made on a paper (Decision_No), and the number of unique reviewers. The revision time increased with the number of reviewers, but it decreased when a Reviewing Editor served as one of the reviewers.
We used logit regression to estimate the chances of a paper being accepted as a function of whether the Reviewing Editor served as one of the reviewers (Editor_As_Reviewer), the number of unique reviewers, and the number of days between when a paper was published and the first published paper by eLife. The only significant variable is the days since eLife started accepting papers for publication (although the effect on the chances of a paper being accepted is very small).
We used a GLM with a log link function to model the number of revisions that a paper undergoes prior to a final decision as a function of whether a Reviewing Editor served as one of the reviewers (Editor_As_Reviewer), the number of unique reviewers, the decision type, and the number of days since eLife started accepting papers. The only variable that had a significant effect was the decision type, as papers that are rejected tend to be overwhelmingly rejected early on and thus undergo fewer rounds of revision.
Linear model for the citations (as indexed by Scopus) after log1p transform. Publications where the Reviewing Editor served as one of the reviewers have a slightly higher number of citations, although this effect is very moderate. Papers also accumulate citations over time, thus papers that have been published longer ago (Publication_Since_Start) tend to accumulate more citations. The number of unique reviewers, as well as the total decision time before acceptance, had no significant effect.
| Views | Downloads | |
|---|---|---|
| F1000Research | - | - |
| PubMed Central Data from PMC are received and updated monthly. | - | - |
Competing Interests: AA is an employee of The Center For Scientific Integrity, which operates Retraction Watch. IO is executive director of The Center For Scientific Integrity.
Competing Interests: BP is head of scientific publications at EMBO and chief editor of The EMBO Journal.
Competing Interests: No competing interests were disclosed.
Alongside their report, reviewers assign a status to the article:
| Invited Reviewers | |||
|---|---|---|---|
| 1 | 2 | 3 | |
| Version 2 (revision) 18 Oct 16 | read | ||
| Version 1 14 Apr 16 | read | read | read |
Provide sufficient details of any financial or non-financial competing interests to enable users to assess whether your comments might lead a reasonable person to question your impartiality. Consider the following examples, but note that this is not an exhaustive list:
Sign up for content alerts and receive a weekly or monthly email with all newly published articles
Already registered? Sign in
The email address should be the one you originally registered with F1000.
You registered with F1000 via Google, so we cannot reset your password.
To sign in, please click here.
If you still need help with your Google account password, please click here.
You registered with F1000 via Facebook, so we cannot reset your password.
To sign in, please click here.
If you still need help with your Facebook account password, please click here.
We have sent an email to , please follow the instructions to reset your password.
If you don't receive this email, please check your spam filters and/or contact .
Comments on this article Comments (0)