Keywords
Fisher-Kolmogorov Reaction-Diffusion Equation, Quintic Hermite Splines, Richardson Extrapolation, Stability and Convergence of the Method.
This study introduces a robust numerical method for addressing the fourth-order Fisher-Kolmogorov reaction-diffusion equation, employing a combination of quintic Hermite splines and Richardson extrapolation. The proposed technique effectively transformed the original equation into a system of linear and nonlinear equations, achieving sixth-order convergence in space and fourth-order convergence in time. A thorough stability analysis confirmed the unconditional stability of the method, ensuring that the numerical solutions remained accurate throughout various perturbation scenarios. Extensive numerical experiments validated the performance of the method, revealing significant improvements in accuracy compared to existing approaches. The findings underscore the applicability of the method in mathematical biology and related fields, where the precise modelling of dynamic processes is crucial. Overall, this study contributes to the advancement of numerical techniques for complex differential equations, demonstrating enhanced reliability and precision in computational simulations.
Fisher-Kolmogorov Reaction-Diffusion Equation, Quintic Hermite Splines, Richardson Extrapolation, Stability and Convergence of the Method.
Various types of non-linear partial differential equations (PDEs) are employed to analyze phenomena in real-life applications, with non-linear advection-diffusion20 and reaction-diffusion equations receiving significant attention (see20,21,47). These equations have been studied using a variety of numerical methods; however, these techniques often encounter challenges. For instance, Rajan and Reddy1 proposed a generalized regularization approach to address singularly perturbed parabolic PDEs, which exhibit complex behavior owing to their small perturbation factors. They discussed the characteristics of singular perturbations in parabolic PDEs and the associated numerical challenges, such as boundary layers and steep gradients. Furthermore, the behavior of small solutions in a reaction-diffusion model problem was studied near a co-dimension 2 point in.2 The focus on co-dimension 2 points may oversimplify the complex dynamics present in reaction-diffusion models. This could limit the understanding of small solutions and their behaviors in more general contexts. Building on these insights, we introduced a novel regularization strategy aimed at enhancing the solution stability and accuracy by modifying the original PDE to mitigate the effects of singular perturbations.
In addition, numerous researchers have explored various non-linear PDEs using distinct numerical techniques. For example,3 enhanced the numerical analysis of non-linear PDEs, particularly in the context of porous media. Dahab et al.4 investigated the behavior of the Casson nanofluid flow over a nonlinearly heated porous medium influenced by magnetic fields (MHD), shedding light on the effects of an extended surface with suction/injection. The numerical solutions for higher-order PDEs in two-dimensional coupled systems were examined using finite difference and finite element methods.5 Furthermore, Mebarek6 explored the convective heat-transfer properties of titanium nanofluids using various base fluids in a cylindrical annulus with discrete heat sources. Clark and Meyer7 focused on two-signed solutions for a specific class of second-order semi-linear parabolic PDEs with non-Lipschitz nonlinearities. Despite these advancements, numerical approaches for solving non-linear PDEs can yield unreliable results owing to their heavy reliance on the initial conditions. Additionally, the complexities of the boundary conditions and high computational demands may restrict their practical applications, highlighting the need for innovative solutions, such as the one we propose.
Building on the highlighted challenges, the application of numerical methods extends to fuzzy nonlinear equations. For instance, Abbasbandy and Asady8 presented a variation of Newton’s method tailored for these equations, which is relevant for uncertain systems and decision-making processes. Furthermore, Arora et al.9 introduced a stable variable mesh approach for one-dimensional nonlinear parabolic PDEs, and Dehghan et al.10 developed a numerical simulation technique that integrates the finite element method with proper orthogonal decomposition (POD) to model and mitigate groundwater contamination. Their work emphasized the complexities involved in accurately simulating contamination processes, underscoring how various factors, such as source strength and hydrodynamic conditions, can influence transport dynamics.
In addition to these innovative methodologies, the significance of reaction-diffusion equations is underscored in the work of,11 which provides an overview of the extended Fisher-Kolmogorov equation, particularly relevant in mathematical biology for modeling population dynamics and spreading processes. Further contributions include Samir et al.,12 who derived exact wave solutions for a fourth-order nonlinear PDE describing the dynamics of optical fiber pulses, thereby revealing implications for optical communication technologies. Knibb and Scraton13 presented a collocation method designed for nonlinear parabolic PDEs, which demonstrated advantages over traditional techniques in terms of flexibility and accuracy. Moreover, Abbasbandy14 demonstrated the effectiveness of the variational iteration method for solving nonlinear Klein-Gordon equations, highlighting its broader potential despite the challenges in convergence and stability when applied to more complex equations.
Continuing this discourse, Gavete et al.15 discussed an efficient numerical method for second-order nonlinear elliptic PDEs, while Mansour16 investigated traveling wave solutions for nonlinear reaction-diffusion equations, which are crucial for understanding spatial phenomena across scientific disciplines. Their numerical simulations elucidated how varying parameters influence the behavior of traveling waves, providing insights applicable to population dynamics, chemical reactions, and ecological models. Zhou et al.17 further explored exact solitary wave solutions for the generalized Fisher equation, which is essential for modeling population dynamics and chemical reactions.
Beitia et al.18 developed and analyzed effective particle methods for solving Fisher-Kolmogorov equations, which are vital for modeling biological invasion and brain tumor dynamics. Their particle-based numerical method enables the simulation of complex dynamics, emphasizing computational efficiency and flexibility, and yielding insights into tumor growth mechanisms with potential implications for treatment strategies.
However, despite the promising advancements in these studies, we recognize challenges in accurately obtaining solutions for various types of nonlinear reaction-diffusion parabolic equations. Each equation exhibits distinct characteristics that reveal different aspects of biological and physical phenomena. However issues such as the boundary layers, associated perturbation parameters, and nonlinearities complicate the solution process. This underscores the necessity for more effective methods to enhance the solution reliability. In light of these considerations, this study focuses on examining the solutions of a fourth-order nonlinear reaction-diffusion parabolic PDE, known as the Fisher-Kolmogorov equation, with the objective of developing strategies to improve stability and accuracy in the presence of singular perturbations. The fourth-order Fisher-Kolmogorov equation discussed in this paper is presented in the following form:
According to,19 when , Eq. (1) is called the extended Fisher-Kolmogorov equation: When , Eq. (1) is termed the standard Fisher-Kolmogorov equation and was developed by Fisher and Kolmogorov to model complex biological processes (see20,21). According to the investigation in,22 the requirement was chosen for the stability of this equation at short wavelengths. These findings indicate that the various physical phenomena described by this equation are governed by the perturbation parameter.
Building on this foundational understanding, various physical phenomena, including pattern formation owing to propagating fronts,23 spatial-temporal chaos in bistable systems,24 chemical waves,25 phase transitions,26 front propagation near Lipschitz points,27 instabilities in liquid crystals,28 and propagating waves in reaction-diffusion systems,29 are described by the EFK equation. According to,30 this equation approaches critical amplitudes near certain degenerate points. Additionally, the transition from periodic patterns predicted by the Ginzburg–Landau equation to multi-bump solutions anticipated by the EFK equation was discussed in.31 Furthermore, different investigators have explored various behaviors associated with the EFK equation, such as periodicity,32 chaotic behavior,33 stationary states,34 solution uniqueness,35 kink existence,36 and traveling wave solutions.
To deepen our understanding of these phenomena, the solution of the EFK equation has been analyzed using variational methods to investigate saddle-focus equilibrium connections (see37,46). These techniques include a variety of approaches, including the topological shooting method for kink existence and property analysis,38 interpolating element-free Galerkin method,39 orthogonal cubic spline collocation method,40 quintic B-spline collocation method,41 mixed finite element method,11 quintic trigonometric differential quadrature method,42 finite element method,43 Galerkin approximation technique,44 and compact difference method.45 In addition quasi-exact solutions have been explored along with local radial basis functions and finite difference methods (see46,47), respectively.
Although the analysis of the EFK equation offers valuable insights, it is crucial to acknowledge the limitations of the employed methods. Techniques, such as variational methods and various collocation approaches, often struggle with complex phenomena, including chaotic behavior and traveling wave solutions. For example, mixed finite-element methods frequently encounter issues related to stability and accuracy, particularly near critical points or degenerate regions. Although variational methods provide insights into saddle-focus equilibria, they typically require significant computational resources and may not fully capture the complexities of multibump solutions. This reliance on specific numerical techniques can hinder the generalization of results across different scenarios, complicating the exploration of solution uniqueness and periodicity.
To address these challenges, this study introduces a novel approach that integrates quintic Hermite spline techniques with Richardson extrapolation, aiming to enhance the analysis solutions of the EFK equation. This combined framework seeks to deliver robust solutions that effectively address the complexities of various physical phenomena described by the EFK equation. Quintic Hermite spline methods have shown high-order convergence in solving nonlinear partial differential equations, as evidenced in previous studies (see48,49). For instance, Arora and Kaur50 presented an efficient scheme utilizing quintic Hermite interpolating polynomials for the Burgers equation, which significantly improved both computational accuracy and efficiency. Their subsequent work by Arora et al.48 further validated the robustness of quintic Hermite splines, demonstrating their applicability in a variety of fluid dynamics problems. Additionally, Jain et al.49 effectively employed collocation methods with quintic Hermite splines to address the Benjamin–Bona–Mahony–Burgers equation, demonstrating the versatility of these techniques in tackling nonlinear phenomena. Furthermore, Alba-Fernández et al.51 introduced a bootstrap algorithm using trigonometric Hermite spline interpolation, highlighting the utility of the Hermite spline methods in statistical analysis. Collectively, these contributions emphasize the effectiveness and versatility of Hermite spline techniques across both mathematical and applied domains.
Moreover, this work effectively utilizes Richardson extrapolation to enhance the accuracy of numerical solutions. This technique accelerates the accuracy of solutions for various differential equations, as documented in several studies. For instance, Merga and Chemeda52 presented a modified Crank-Nicolson scheme that incorporates Richardson extrapolation for the one-dimensional heat equation, significantly improving the solution accuracy and stability. Similarly, Siraj et al.53 applied a fourth-order stable central difference method with Richardson extrapolation to address second-order self-adjoint singularly perturbed boundary-value problems, demonstrating enhanced accuracy in challenging scenarios. Additionally, Chemeda et al.54 employed a compact finite-difference scheme with Richardson extrapolation for Fisher’s equation, demonstrating the effectiveness of the method in capturing critical dynamics. Together, these studies highlight the Richardson extrapolation as a powerful technique for enhancing the accuracy and reliability of numerical solutions in various mathematical and engineering contexts.
Based on these findings, the proposed method combines quintic Hermite spline techniques with Richardson extrapolation to offer superior accuracy and stability compared with previously discussed techniques. This approach leverages the smoothness and simplicity of quintic splines, achieving super-convergence and significantly enhancing solution precision. Furthermore, it improves the efficiency of the collocation technique by interpolating the function and its derivatives up to the second order at the nodal sites. Unlike traditional methods, which often struggle with stability and accuracy, this combined approach effectively reduces discretization errors through Richardson extrapolation, making it especially powerful for high-order nonlinear equations. This represents a significant advancement in the numerical analysis of these challenging problems.
This paper also discusses how this method enhances accuracy through a uniform mesh in the temporal direction and a non-uniform mesh in the spatial direction. In addition, it analyzes the traveling wave behavior of the solution using various parameter values and nonlinear source functions. To address these perspectives, the paper is structured as follows: Section 1 introduces the topic; Section 2 formulates the current method; Section 3 discusses the stability and convergence analysis; Section 4 outlines the criteria for measuring the accuracy and rate of convergence of the present method; Section 5 presents numerical experiments; Section 6 discusses and analyzes the findings; and Section 7 concludes the study.
To address fourth-order non-linear equations, which involve a differential equation alongside four constraints, numerical techniques leverage these constraints to discretize the equation effectively. Specifically, the Quintic Hermite techniques we re employed. Quintic Hermite splines inherently include the discretized form of the differential equation at collocation points along with two boundary constraints for the interpolating polynomial. To obtain such a scheme, the fourth-order differential equation was split into a second-order form by introducing a twice continuously differentiable function, thereby reducing the constraints to two for each interpolating polynomial. To execute this, the following theorem is considered a necessary part of implementing the proposed technique:
The Hermite interpolation problem of order is applicable to two-point boundary value problems.19
Consider the non-linear EFK type Equation (1). To implement the proposed technique, we introduce a twice continuously differentiable function such that:-
As investigated in,55 the induced coupled system of differential equations of our governing problem is given as
These equations are the transformed forms of EFK into a system comprising one linear equation and one semi-linear equation that involves two functions, u and v.
The hybrid technique employs semi-discretization methods to discretize both the time and spatial directions. This two-step approach was utilized for a second-order coupled system of singularly perturbed partial differential equations (PDEs):
a. Time discretization
For temporal discretization, we utilized the Crank-Nicolson scheme, a specific instance of the weighted finite difference method, as investigated in.56 This scheme takes advantage of the nearest neighboring points to maintain continuity in behavior, avoiding any time discontinuities (see57). To apply this technique to the reduced coupled system of the EFK equation, we define the following terms.
Let us consider that both and are represent the approximating polynomial function at the current time, . Also, let for for , be the cell of the time step, and N be the maximum of the sub-interval in the temporal direction. Since, for any function F, we have
Hence, using the above condition, the semi-discretized forms of our coupled systems are given as
b. Spatial discretization
Let where is the maximum number of subintervals of in the spatial direction. This indicates that we have a non-uniform grid spacing for which . Hence, our subintervals are given by . For each sub-interval, , six collocation points were selected, including two boundary points. These collocation points are the roots of a shifted Legendre polynomial of order six, which is not equidistant from the mean. Details of these collocation points can be found in.58 In the spatial direction, we utilized the quintic Hermite interpolating polynomials , and that introduced in19 to approximate the trial function within each partition of the solution domain. The approximate function is defined as follows:
To apply orthogonal collocation within each subinterval , a new variable is introduced, such that where varies from to as varies from to . This transformation reduces the polynomial structure in Eq. (10) into the tabular form shown in Table 1. The Quintic Hermit polynomials are presented in the interval in Table 1, and the values of the Hermit splines and their derivatives are presented in Table 2 at . Hence, using this idea, the approximating function at each time in each subinterval is taken as
| 1 | |||
| 2 | |||
| 3 | |||
| 4 | |||
| 5 | |||
| 6 |
The process of selecting collocation points is crucial in the Hermit collocation methods. To obtain these colocation points, we use the zeros of the orthogonal polynomials called Jacobi polynomials. The Legendre and Chebyshev polynomials are special cases of Jacobi polynomials. Hence, in this study, we utilized the zeros of the shifted Legendre polynomials as collocation points.
However, at each of these collocation points, the semi-discretization of the aforementioned equation by substituting Eq. (8) into Eq. (9) in the coupled system, we obtain
As investigated in,59 the quasi-linearization of where has been obtained using the Taylor series approximation, and it is given as
By using finite difference approximation of with order two, we have:
Then, neglecting , this equation gives us:
Substituting Eq. (14) into Eq. (13), at , we obtain
By approximating the value of from the above difference equation, we obtain:
Using Eq. (15) in Eq. (12) after neglecting the second-order truncation term, we obtain
By rearranging the terms, we obtain the coupled system of equations given by:
Since, from Eq. (11), the discretization of both and in the spatial direction for is given by ;
Since we know that The approximate solution lies in each subinterval , where are quintic Hermite splines defined over the interval [0, 1]. Therefore, using this concept and Eq. (17), the system of collocation equations obtained after discretization is explained as follows:
The total number of variables was 8M + 4, and the collocation equations were 8M. The additional four variables are computed from the boundary conditions of the system of equations. Therefore, by introducing a vector of unknown variables, the compact form of the system of difference equations is
where and are diagonally dominated matrices with each block and for of order and they are given as:
Each block matrix, and also contained a sub-block matrix of order The block matrices and having the following structures:
After determining the unknown parameters from the coupled system of difference equations in Eq. (22), we can determine the discretized functional values and in the spatial direction by applying Eq. (17).
However, in the numerical scheme above, the presence of a non-linear term may lead to error propagation during the iteration process to solve the problem. Therefore, we mitigated this issue by linearizing our coupled system of difference equations.
Let u be considered a locally constant value, denoted as μ, for quasi-linearization of the non-linear term. The implemented technique involves operators Ψ and Φ, which operate on u and v, given as and respectively. This operator approximates two sets of values for each iteration at the selected collocation points for the two approximate solutions, ŭ and . This means that the iterative scheme at each time step approximates a function comprising two component functional values . To obtain this approximate function using the scheme, we employed the component Hermite interpolating polynomial, defined as follows: on . Let u be the bounded functional value. The operators can then be linearized by considering: .
We assume that is an approximation of . As investigated in,19 we applied the Crank-Nicolson discretization scheme to our operators, which are given as follows:
The matrix notation for the parameters and collocation equations can be expressed as follows:
Because, to discretize Eq. (1), the Crank-Nicolson scheme is applied to discretize the temporal derivative, which has a second-order accurate numerical technique, as indicated in Eq. (13). Subsequently, the quintic hermite spline collocation technique was employed in the spatial direction. The degree of the interpolated quintic hermite splines function on the collocation points is six. Thus, the numerical method resulting from this interpolation has 6th-order-accurate as shown in Eq. (10) in a specific direction. Therefore, by combining these cases, the method proposed in Eq. (16) exhibits a six-order accuracy in the spatial direction and a second-order accuracy in the temporal direction. This implies that the order of accuracy of the proposed method is
One advantage of the RE technique is that it enhances the accuracy of the approximate solutions for given differential equation (see52,60). It is also used to accelerate the convergence of the underlying method in solving the provided equation (see53).
However, the goal of this extrapolation is to apply the difference scheme to two consecutive grids and then combine the resulting solutions to achieve higher-order approximations (see54,61). To do this, let us consider a set containing consecutive grid points, which are called coarser and finer points that are defined on the grid points of the temporal direction. Hence, at each and every one of these grid points, we can obtain a numerical solution of Eq. (1) using the following difference equations:
This can be extended to both and Based on Eq. (16), we define the values of and as:
Now using Richardson Extrapolation Formula, we have:
Again, by eliminating the truncation error, the extrapolation of U is given by
These schemes demonstrate that the order of accuracy of the proposed scheme increases by two in the temporal direction after applying the Richardson extrapolation process. This means that the accuracy of the present scheme improved to the sixth order in the spatial direction and fourth order in the temporal direction following the Richardson extrapolation. The order of accuracy can be expressed as This demonstrates that applying Richardson extrapolation doubles the convergence rate of the proposed scheme compared to that of the original scheme.
For any numerical technique involving iterations for analyzing transient partial differential equations, stability is one of the most important concepts to be considered to ensure control over errors. Otherwise, the accumulation of errors in one stage may overwhelm the solution. Therefore, we must analyze the stability of our numerical method to determine its convergence.
However, the stability of the proposed hybrid numerical algorithm was completely stored in the component matrices of which improved the initial solution at each iteration. Consequently, the component matrices A and B depend on the perturbation parameters, grid sizes toward both the spatial and time directions, and Hermite splines adopted for approximation. Therefore, to analyze the stability of the current method, we can identify the magnitude of the eigenvalue of matrix in the side-unit circle.
Based on this idea, let us consider λ as the eigenvalue of the matrix . So, we observe computationally, the magnitude of these eigenvalues must be bounded by unity. It means we must show the Lax–Richtmyer definition for stability criteria. (i.e ). To show this stability condition we use Lyapunov stability techniques. Another requirement of stability analysis techniques is Von Neumann stability analysis techniques. This technique requires the linearity of the difference equations (see62). So, due to this case, we use Lyapunov stability techniques to analyze the stability of the current numerical scheme. To do this, let us consider the following lemma and theorems given below.
If the amplification factor associated with the eigenvalues of the coefficient matrices is bounded, this typically indicates that the system of equations is stable.
In the proposed difference scheme, given in Eq. (22), all the sequences of are bounded.
Let us assume that the sequence is bounded. This means that there exists a constant such that
We know that is a matrix that transforms vector . If A is invertible, then is bounded. Therefore, there exists a constant such that
This holds true, because A is a diagonally dominant matrix. Every diagonal dominant matrix is invertible.
Let . Thus, .
Now consider the second term in the right hand side, we have:
Combining both terms, we have:
Hence, if is bounded, to prevent from becoming unbounded, must also be bounded. Therefore, for a unique constant , we have
Therefore, this show that is bounded as
If each amplification factor of the linear-difference equation in Eq. (22) is bounded, the system of difference equations is stable.
To prove this theorem, we utilize Von Neumann’s stability criteria. We assume that the magnitudes of all eigenvalues of and the sequence are bounded, where at iterative value. Therefore, for , the system can be rewritten as a first-order difference equation of the form
By equating the coefficients of the exponential terms, we defined the amplification factor, denoted as . This factor represents the ratio of the Fourier coefficients at two consecutive time steps, given by
Now, using Eq. (29) in Eq. (28) and simplifying the results, we obtain
By applying the triangular inequality on Eq. (30), we obtain:
To show that is bounded, we draw on the principles established in the proof of Lemma 1. Here, is structured argument.
Because is a diagonally dominant matrix, is bounded, which means that by Lemma 1, there exists a constant such that
Consequently, we can assert that:
Hence, is bounded. Again, by Lemma 1, assuming is bounded and nonzero (to prevent division by zero), there exists a constant such that
Therefore, combining this to (ii), we obtain:
Substituting inequalities (i) and (ii) into the triangular inequalities above, we obtain:
This shows that is bounded for all k as long as and are bounded and remains nonzero and bounded. This aligns with the findings of Lemma 1, where boundedness is established under the necessary conditions. Hence, according to Definition 1, the proposed system of difference equations is stable.
If the eigenvalues of and sequence are bounded, then the difference equation in Eq. (22) is asymptotically stable at all the equilibrium points within the solution domain.
To prove this theorem, we use Lyapunov stability analysis techniques. Now, we express the difference equation as a first-order difference equation.
Let be an equilibrium point within the solution domain. From Eq. (31), at equilibrium, we have
Choose a Lyapunov function that satisfies the following conditions:
This function satisfies the conditions for all , and if and only if
The difference between successive values of the Lyapunov function can then be expressed by expanding the results using Eq. (31), we obtain
By Theorem 2, the eigenvalues of are bounded. Thus, the matrix is also bounded. Again, from Lemma 1, all the sequences of are bounded. Thus, the sequence is bounded by the assumption.
Therefore, both terms in the expression for are non-positive, leading to
If the eigenvalues of are strictly negative, the first term in will be negative and the second term will also be non-positive. This implies:
Hence, the equilibrium point is asymptotically stable.
After applying Richardson extrapolation to the Crank–Nicolson scheme, the estimates for the local truncation error and the global truncation error are and , respectively, as given by:
Let be a function such that and , C is an arbitrary constant; then, is also bounded by some constant C (see19,63).
Let be the positive continuous initial solution of the non-linear reaction–diffusion equation with then, the bounds for solution remain constant with time (see19,64,65).
If any Hermite interpolation problem defined on at most two distinct points has a unique solution on then any Hermite interpolation problem (regardless of the number of points) has a unique solution in . Consequently, this implies that any Hermite interpolation problem has a unique solution in polynomial space of degree on (see65).
The univariate Hermite interpolating polynomials are regular for any set of nodes. Moreover, Hermite interpolating polynomials are regular for any nodal set, as well as for any choice of derivatives to be interpolated (see65).
Let be the space of all Hermite interpolating polynomials of order five defined on [0, 1]. The Hermite splines of order five are then bounded with an upper bound of unity. Moreover , for all 0 ≤ ζ ≤ 1 (see19,65).
Suppose is the piecewise Hermite spline of degree over the subinterval approximating then , (see 19,65).
Considering Eq. (36) and Rolle’s theorem, the expression has roots in , which are given as follows:
Let us define a function on the solution domain with collection s glued with as its zeroes such that
Because, the maximum of is and is an arbitrary point in , so, from Eq. (37), we obtain
Hence, for q = 3, the proof satisfies the error bounds for quintic Hermite splines.
Let be the approximate solution of the function defined in such that and be the quintic Hermite splines interpolating of . Then, the error estimate is bounded and defined by
Let and be the appropriate approximating functions defined in theorem five, and . Let be the step length between two successive grids in the spatial direction and is the quintic Hermite spline approximating to functions (i.e. is the quintic hermite spline of and is the quintic Hermite spline of ). Now, using the operator in this approximation with the maximum norm, we have
Applying theorem 8 on the above equation, we obtain:
Now, assuming that both and are fully discretized explicit forms of the differential problem mentioned in Eq.(23a). Then, from Eq. (38), we obtain
Let and . Then, the compact matrix form of the proposed scheme becomes
By subtracting Eq. (40) from Eq. (21), we obtain
Now, by theorem 2 and theorem 3, where C is some arbitrary constant. Therefore, using this idea and Eq. (39), from the above expressions, we obtain
This demonstrates that the sequences of errors generated in approximation at every grid point are bounded. Additionally, in Hermite interpolation approximations, the error sequence between the two approximation constants must remain bounded. To establish this, the difference between and must be bounded, as given by:
From the successive application of Eqs. (42) and (43), we obtain
Because is an approximation of using Hermite interpolation, we can apply the triangle inequality to obtain
Thus, by applying Theorem 8 and Eq. (44) to the inequality above, we obtain
Let be the approximate solution of the function obtained through Richardson extrapolation on the domain Let Quintic Hermite spline interpolation of . Then, the error is bounded and is given by
Let be the exact solution defined in domain. We denote as the approximate solution obtained through Richardson extrapolation and as its quintic Hermite spline interpolation.
We first consider the error . Based on the properties of Richardson extrapolation, we know that the error is reduced significantly. Specifically, we can express the error in terms of the time step and the spatial step h. Based on the approximation properties and smoothness of , we have
This error can be expressed as:
To assess both the accuracy and convergence of the approximated solution, we utilized the following error calculations and norms:
As stated in,19 if the exact solution is unknown, we estimate the error at each nodal point using
The pointwise maximum absolute error has been calculated by:
The uniform maximum absolute error has been calculated by:
The rate of convergence was evaluated using the double mesh principle and is given as
As stated in,19 the root mean square error ( ), maximum absolute error ( ), and global relative error (GRE) are computed using the following formulas:
The following six model issues were examined to gauge the accuracy and validity of the proposed technique.
Consider the EFK equation along with defined initial and boundary conditions.
For the perturbation parameter , this problem has been investigated in two phases: initially, with a homogeneous equation, and later, with a non-homogeneous aspect characterized by source functions outlined as
In this section, we present a comprehensive analysis of the solutions for various EFK-type equations characterized by different nonlinear functions using the quintic Hermite spline method combined with Richardson extrapolation. This approach aims to address the complexities associated with the EFK equation and enhance solution accuracy. The numerical results for each model example are presented in graphs and tables to demonstrate the effectiveness of the proposed technique.
Example 1 focuses on solving the EFK equation under well-defined initial and boundary conditions: The initial condition establishes a foundational profile, whereas the boundary conditions ensure stability within the spatial domain. The analysis unfolds into two phases: addressing a homogeneous equation and subsequently incorporating a non-homogeneous equation with an exact solution . The results, summarized in Table 3, illustrate a notable improvement in the accuracy of our method compared with.19 For instance, if , the and norms are and , respectively, confirming the precision achieved through the application of Richardson extrapolation.
| Method | |||||
|---|---|---|---|---|---|
| Result obtained by present method | |||||
| Versus | |||||
| Results obtained by method in19 | |||||
Figures 1 and 2 depict the wave solutions and , showing stable profiles across varying perturbation parameter . The convergence of these profiles is consistent with the findings in Table 4, where the , , and Global Relative Error (GRE) values are reported at multiple time levels. Importantly, the numerical solutions approached zero by the 40th time step with a time step size of , indicating convergence toward the expected behavior.





| Method | Time | ||||||
|---|---|---|---|---|---|---|---|
| Result obtained by present method | 0.00 | 0.00 | 0.00 | 0.00 | 0.00 | 0.00 | |
| 2.14516E−08 | 6.37461E−07 | 8.91491E−06 | 5.47251E−09 | 4.81836E−07 | 6.88431E−08 | ||
| 4.27712E−07 | 5.81319E−06 | 8.07116E−06 | 5.11306E−09 | 6.48513E−07 | 5.13658E−08 | ||
| 5.244112−07 | 5.14934E−06 | 7.54718E−06 | 5.10041E−09 | 8.11012E−07 | 5.72458E−08 | ||
| 5.12876E−07 | 5.01354E−06 | 6.93307E−06 | 4.76766E−09 | 7.46671E−07 | 6.53671E−08 | ||
| 6.20911E−07 | 4.34211E−06 | 6.33144E−06 | 4.00192E−09 | 4.77169E−07 | 6.24611E−08 | ||
| 5.11237E−08 | 4.27273E−07 | 4.19635E−06 | 2.83173E−09 | 5.92380E−07 | 6.52783E−07 | ||
| 7.01785E−08 | 4.11505E−07 | 4.00201E−06 | 2.80059E−09 | 9.16101E−06 | 8.59178E−07 | ||
| 5.26528E−08 | 3.98151E−07 | 3.71123E−06 | 2.29851E−09 | 8.62193E−06 | 9.46140E−06 | ||
| Versus | |||||||
| Results obtained by method in19 | 1.42874E−17 | 8.88178E−16 | 3.56768E−09 | 1.42874E−17 | 8.88178E−16 | 3.56768E−09 | |
| 8.24109E−05 | 3.12068E−03 | 5.01495E−03 | 6.17258E−06 | 3.92776E−04 | 5.14833E−04 | ||
| 4.84202E−05 | 1.99664E−03 | 5.05022E−03 | 2.17706E−06 | 3.42516E−04 | 6.00652E−04 | ||
| 2.76149E−05 | 1.34984E−03 | 5.14661E−03 | 4.41442E−07 | 3.47012E−04 | 1.23549E−03 | ||
| 1.46576E−05 | 1.01352E−03 | 5.53307E−03 | 2.36769E−06 | 4.06579E−04 | 3.32529E−03 | ||
| 6.26190E−06 | 9.56217E−04 | 9.09238E−03 | 4.07361E−06 | 5.87362E−04 | 8.69122E−03 | ||
| 3.44444E−07 | 1.17377E−03 | 2.22965E−02 | 5.93443E−06 | 9.52380E−04 | 2.23252E−02 | ||
| 4.49788E−06 | 1.65753E−03 | 5.66291E−02 | 8.31754E−0 | 1.53108E−03 | 5.67165E−02 | ||
| 9.32854E−06 | 2.48154E−03 | 1.42831E−01 | 1.16591E−05 | 2.42139E−03 | 1.43048E−01 | ||
Further assessment of spatial discretization is presented in Table 5, demonstrating that reducing the spatial discretization parameter enhances accuracy, aligning with the theoretical expectations. This confirms that finer discretization contributes to improved precision in numerical solutions across both and .
| Time-steps | Norm of error | Results obtained by method in19 | Results obtained by present method | ||||||
|---|---|---|---|---|---|---|---|---|---|
| M = 20 | M = 40 | M = 60 | M = 80 | M = 20 | M = 40 | M = 60 | M = 80 | ||
| 1.37406E−03 | 4.45938E−04 | 2.08576E−04 | 1.19453E−04 | 2.4581E−06 | 5.458E−06 | 4.0857E−07 | 7.59836E−08 | ||
| 8.74229E−03 | 7.47418E−03 | 7.10195E−03 | 6.94779E−03 | 5.4721E−05 | 3.748E−06 | 6.1619E−06 | 6.94779E−07 | ||
| 5.28462E−02 | 5.12724E−02 | 4.99799E−02 | 4.99747E−02 | 6.3846E−04 | 6.197E−06 | 6.8478E−06 | 5.6752E−07 | ||
| 1.41692E−04 | 2.13303E−05 | 1.60035E−05 | 7.28243E−05 | 7.41892E−07 | 4.634E−06 | 6.9003E−08 | 7.28246E−08 | ||
| 2.89695E−03 | 1.47745E−03 | 1.05749E−03 | 4.13368E−03 | 6.89613E−06 | 4.377E−06 | 8.2546E−07 | 5.13368E−07 | ||
| 1.90780E−02 | 8.24560E−03 | 5.62795E−03 | 5.00313E−03 | 4.90789E−05 | 6.945E−05 | 8.12765E−06 | 6.00318E−06 | ||
| 1.39713E−04 | 2.12319E−05 | 3.32691E−06 | 5.62754E−07 | 4.97911E−08 | 7.126E−05 | 5.62676E−08 | 7.67758E−09 | ||
| 6.28584E−04 | 8.76524E−04 | 4.51042E−04 | 2.87972E−04 | 7.68685E−07 | 9.452E−05 | 6.51042E−06 | 8.87997E−09 | ||
| 5.35450E−04 | 7.92931E−03 | 3.71863E−03 | 2.16258E−03 | 6.81454E−06 | 9.829E−05 | 8.71863E−06 | 5.56257E−07 | ||
The results presented in Table 6 highlight the superior performance of the current method in solving the EFK equation, particularly regarding -norms. Across all time steps and spatial discretizations, the method consistently yields lower error values compared with both approaches in19 and.39 For instance, with a step size of and , the current method achieved an -norm of . This significant improvement in accuracy underscores the effectiveness of the quintic Hermite spline method when paired with Richardson extrapolation, particularly in managing the complexities of boundary value problems.
| Values of T | Step size | By method in39 | By Method in19 | By present method | |||
|---|---|---|---|---|---|---|---|
| T = 1 | h = 1/10 | 7.7195E−2 | 2.1542E−2 | 2.5716E−03 | 9.59093E−04 | 3.6717E−06 | 1.4193E−07 |
| h = 1/20 | 2.1536R−2 | 5.8138E−3 | 2.57163E−03 | 5.45979E−04 | 3.6716E−05 | 6.7596E−07 | |
| h = 1/40 | 5.8078E−3 | 1.4625E−3 | 2.01533E−03 | 3.62735E−04 | 4.51317E−5 | 6.0271E−07 | |
| h = 1/80 | 1.4567E−3 | 3.6573E−4 | 1.94303E−03 | 2.88109E−04 | 5.44673E−05 | 5.1826E−08 | |
| T = 2 | h = 1/2 | 2.8445E−2 | 2.8442E−3 | 2.89695E−03 | 6.28584E−04 | 5.31696E−06 | 6.2837E−07 |
| h = 1/5 | 7.9425E−3 | 7.9380E−4 | 1.47745E−03 | 8.76524E−04 | 7.46142E−06 | 3.16614E−07 | |
| h= 1/7.5 | 2.1437E−3 | 2.1386E−4 | 1.05749E−03 | 4.51042E−04 | 2.85711E−06 | 5.58191E−07 | |
| h = 1/10 | 5.3904E−4 | 5.3377E−5 | 4.13368E−03 | 2.87972E−04 | 3.13364E−06 | 1.67976E−07 | |
Table 7 further emphasizes the advantages of the current method by comparing absolute errors at various spatial points The errors obtained using this method are consistently lower than those from method,19 particularly at , where the present method yields an error of versus from method.19 This demonstrates the method’s robustness in maintaining precision across different spatial coordinates. Furthermore, as demonstrated in Figures 3-4 and 5(f ), the solution for Example 1 is accurately approximated, with Figure 5(e) illustrating the stability of our method at the specified grid points and confirming this accuracy. Overall, the results reinforce the current method’s effectiveness in capturing the dynamics of the EFK equation, showcasing its capability to achieve high accuracy and stability in complex simulations.
| By present method | |||||||
|---|---|---|---|---|---|---|---|
| t | ζ = −3 | ζ = −2 | ζ = −1 | ζ = 0 | ζ = 1 | ζ = 2 | ζ = 3 |
| 0.5 | 1.94262E−05 | 2.98467E−05 | 6.88514E−06 | 1.12575E−06 | 2.13925E−05 | 3.30463E−05 | 2.30463E−05 |
| 1.5 | 4.79342E−06 | 5.33524E−06 | 2.51033E−06 | 5.79580E−06 | 7.54182E−05 | 1.00450E−06 | 8.00550E−05 |
| 2.5 | 7.41854E−05 | 3.64116E−06 | 2.05935E−06 | 6.13465E−05 | 1.13573E−05 | 6.25200E−06 | 1.25400E−05 |
| 3.0 | 5.54962E−05 | 7.60480E−06 | 5.51924E−06 | 5.79554E−05 | 4.40134E−05 | 8.21818E−06 | 6.21814E−06 |
| By method in19 | |||||||
| 0.5 | 2.13925E−03 | 3.11837E−03 | 2.30463E−03 | 1.88514E−04 | 1.98467E−03 | 2.94162E−03 | 2.12575E−03 |
| 1.5 | 8.54182E−04 | 1.26644E−03 | 1.00450E−03 | 2.51032E−04 | 5.33624E−04 | 8.79348E−04 | 5.79580E−04 |
| 2.5 | 4.13573E−04 | 6.50847E−04 | 6.25200E−04 | 4.05935E−04 | 1.64116E−04 | 7.41854E−05 | 2.13465E−04 |
| 3.0 | 3.40134E−04 | 5.65588E−04 | 6.21818E−04 | 5.51928E−04 | 4.60480E−04 | 4.53962E−04 | 5.79854E−04 |
Example 2 examines the numerical results from two cases: (i) with parameters , and , and (ii) with , and . Table 8 reveals that our method consistently achieves lower error values than those in.19 For instance, at in the domain the -norm for our method is , which is significantly better than from the previous method. This illustrates the effectiveness of our approach in capturing the solution behavior and convergence toward a stable boundary value of 1. Additionally, the results in Table 9 show that in case (ii), our proposed method consistently produces lower error norms compared to,19 with the L2-norm at t = 5 in [-4,4] being 3.6695E−03, much better than 1.3494E−01. The graphical representations in Figures 6 and 7 further elucidate this behavior, showing the evolution of solutions over time and a smooth transition toward stability. Also, Figure 8 further confirms that the solution for Example 2 in case (ii) is well-approximated, suggesting that our approach is more accurate than existing methods.
| By method in19 | By present method | |||||||
|---|---|---|---|---|---|---|---|---|
| t | ||||||||
| 0 | 5.62590E−02 | 9.96992E−01 | 1.40648E−01 | 9.96992E−01 | 5.1668E−04 | 7.96992E−03 | 4.96992E−03 | 7.62590E−03 |
| 1 | 1.28174E−01 | 9.55642E−01 | 2.93265E−01 | 8.68283E−01 | 4.9364E−04 | 8.68283E−03 | 5.35647E−03 | 6.28774E−03 |
| 2 | 1.32535E−01 | 9.80254E−01 | 3.21779E−01 | 9.51480E−01 | 4.21779E−04 | 6.51481E−03 | 2.80254E−03 | 7.32598E−03 |
| 3 | 1.34241E−01 | 9.93923E−01 | 3.32150E−01 | 9.82345E−01 | 4.36150E−03 | 4.86345E−03 | 5.93926E−02 | 7.34649E−03 |
| 4 | 1.34822E−01 | 9.98877E−01 | 3.35790E−01 | 9.94613E−01 | 5.75790E−03 | 8.96616E−03 | 5.98177E−02 | 5.34822E−02 |
| 5 | 1.34938E−01 | 9.99848E−01 | 3.36935E−01 | 9.98470E−01 | 3.66935E−03 | 1.97470E−02 | 5.99547E−02 | 6.34936E−02 |
| By method in19 | By present method | |||||||
|---|---|---|---|---|---|---|---|---|
| t | ||||||||
| 0 | 4.39524E−02 | 9.96992E−01 | 1.09881E−01 | 9.96992E−01 | 9.59093E−04 | 4.634E−03 | 2.4581E−05 | 5.1668E−04 |
| 1 | 1.03420E−01 | 9.48203E−01 | 2.38273E−01 | 9.27997E−01 | 5.45979E−04 | 4.377E−03 | 5.4721E−05 | 4.9364E−04 |
| 2 | 1.03640E−01 | 9.81968E−01 | 2.55112E−01 | 9.85379E−01 | 3.62735E−04 | 6.945E−03 | 6.3846E−04 | 4.21779E−04 |
| 3 | 1.04187E−01 | 1.00231E+00 | 2.60960E−01 | 9.98986E−01 | 2.88109E−04 | 7.126E−03 | 7.4189E−04 | 4.36150E−03 |
| 4 | 1.04572E−01 | 1.00737E+00 | 2.62897E−01 | 1.00066E+00 | 6.28584E−04 | 9.452E−03 | 6.8961E−04 | 5.75790E−03 |
| 5 | 1.04813E−01 | 1.00650E+00 | 2.63448E−01 | 9.99607E−01 | 8.76524E−04 | 9.829E−03 | 4.9789E−04 | 3.66935E−03 |



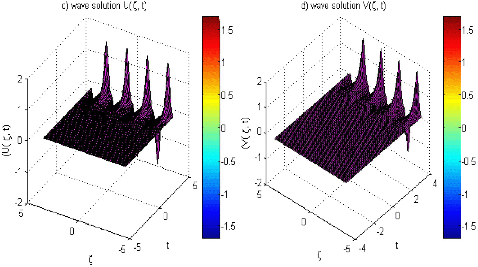
Example 3 reinforces the accuracy of the proposed method, as indicated in Table 10, where the norm at for the domain is , which is markedly lower than from.19 This method also demonstrates consistently low error values across a larger domain indicating robust performance in capturing solution dynamics. Figure 9 visually represents the stability and smoothness of the profiles generated by the proposed method, reinforcing the numerical findings.
| By present method | ||||||
|---|---|---|---|---|---|---|
| t | ||||||
| 1 | 6.37461E−05 | 2.31652E−04 | 3.76798E−05 | 1.39465E−04 | 5.78486E−04 | 5.039981E−03 |
| 2 | 5.81319E−05 | 3.86613E−04 | 6.66779E−04 | 5.67131E−04 | 6.186164E−04 | 5.32188E−03 |
| 3 | 5.14934E−04 | 3.87335E−04 | 6.86142E−04 | 6.77863E−04 | 6.70266E−04 | 5.43851E−03 |
| 4 | 5.01354E−04 | 3.98226E−04 | 7.87916E−04 | 7.985288E−4 | 6.984334E−4 | 4.7219E−03 |
| 5 | 4.34211E−04 | 4. 2354E−04 | 5.65871E−04 | 4.88919E−03 | 7.02551E−04 | 3.6421E−03 |
| By method in19 | ||||||
| 1 | 3.50404E−02 | 9.31452E−01 | 2.32795E−03 | 9.89406E−01 | 3.48395E−10 | 9.99968E−01 |
| 2 | 8.60787E−02 | 9.84613E−01 | 4.66779E−02 | 9.96130E−01 | 1.37028E−08 | 9.99973E−01 |
| 3 | 1.01901E−01 | 9.95334E−01 | 1.74040E−01 | 9.97860E−01 | 7.79145E−07 | 9.99982E−01 |
| 4 | 1.04762E−01 | 9.98226E−01 | 2.37816E−01 | 9.98421E−0 | 4.49760E−05 | 9.99989E−01 |
| 5 | 1.05277E−01 | 9.99239E−01 | 2.55671E−01 | 9.98918E−01 | 2.25922E−03 | 9.99993E−01 |

Example 4 presents the results in Table 11, which highlight the significant accuracy improvements with our method. For and , the norm is , which is significantly lower than the 1.02705E−05 from.19 The convergence characteristics are further illustrated in Table 12, which reveal superior convergence rates, particularly for finer discretizations. Figures 10 and 11 visually reinforce these numerical findings, displaying the wave solutions for different perturbation parameters.
| By present method | ||||
|---|---|---|---|---|
| t | ||||
| 0.03 | 9.1479E−07 | 7.1099E−05 | 1.63437E−09 | 5.3561E−07 |
| 0.07 | 2.2991E−08 | 3.1731E−06 | 3.59855E−09 | 2.76467E−07 |
| 0.3 | 6.861E−08 | 6.1450E−06 | 4.30266E−09 | 2.99239E−07 |
| 0.7 | 7.1123E−08 | 4.8100E−06 | 4.84632E−09 | 3.65787E−07 |
| 0.9 | 2.4923E−08 | 5.3651E−06 | 5.00983E−10 | 4.12116E−08 |
| By method in19 | ||||
| 0.03 | 1.02705E−05 | 4.03076E−03 | 8.83277E−06 | 1.08170E−02 |
| 0.07 | 9.69180E−06 | 2.67816E−03 | 7.19451E−06 | 7.26425E−03 |
| 0.3 | 4.11284E−06 | 9.31101E−04 | 8.30286E−07 | 8.42396E−04 |
| 0.7 | 1.81930E−06 | 3.07393E−04 | 1.54302E−08 | 2.32675E−05 |
| 0.9 | 1.49806E−06 | 2.36168E−04 | 2.60093E−09 | 3.86667E−06 |
| By method in19 | By present method | |||||||
|---|---|---|---|---|---|---|---|---|
| M = 8 | M = 16 | M = 32 | M = 64 | M = 8 | M = 16 | M = 32 | M = 64 | |
| 6.41841E−06 | 3.22272E−06 | 1.60909E−06 | 8.03679E−07 | 1.4684E−06 | 5.458E−06 | 3.0857E−07 | 9.59836E−08 | |
| 1.80796E−05 | 8.98549E−06 | 4.68089E−06 | 2.34057E−06 | 3.4728E−06 | 3.748E−06 | 6.1619E−06 | 8.94779E−07 | |
| 0.00010412 | 0.00005501 | 2.78666E−05 | 1.39476E−05 | 6.3846E−05 | 6.197E−06 | 6.7328E−06 | 3.6752E−07 | |
| 6.41841E−06 | 3.22272E−06 | 1.60909E−06 | 8.05E−07 | 6.41892E−05 | 4.634E−06 | 7.9003E−06 | 4.9441E−07 | |
| 8.66285E−05 | 4.60583E−05 | 2.31932E−05 | 1.15962E−05 | 6.89613E−05 | 4.377E−06 | 8.1546E−06 | 9.13368E−07 | |
| 0.00010412 | 0.00005501 | 2.78666E−05 | 1.39476E−05 | 7.90789E−05 | 6.945E−05 | 8.12765E−06 | 4.11315E−06 | |
| 0.00010412 | 0.00005501 | 2.78666E−05 | 1.39476E−05 | 7.97911E−05 | 7.126E−05 | 3.12674E−05 | 5.17758E−06 | |
| 0.00010412 | 0.00005501 | 2.78666E−05 | 1.39476E−05 | 8.68685E−05 | 9.452E−05 | 4.51042E−05 | 9.87997E−06 | |
| 0.920481409 | 0.981156913 | 0.998520095 | - | 8.81454E−05 | 9.829E−05 | 4.75863E−06 | 1.56257E−03 | |
| t | By method in19 | By present method | ||||||
|---|---|---|---|---|---|---|---|---|
Time step
| ||||||||
| 0.1 | 8.56447E−06 | 1.06174E−03 | 8.33926E−06 | 1.14140E−03 | 4.59093E−07 | 5.634E−05 | 8.4581E−07 | 9.1668E−06 |
| 0.2 | 1.13259E−05 | 1.80386E−03 | 1.11443E−05 | 1.87280E−03 | 8.45979E−07 | 6.377E−05 | 9.8721E−07 | 2.9364E−06 |
| 0.4 | 1.54954E−05 | 3.07668E−03 | 1.54042E−05 | 3.13596E−03 | 2.12735E−06 | 9.945E−05 | 3.6843E−06 | 1.7179E−05 |
| 0.6 | 1.91941E−05 | 4.16207E−03 | 1.91346E−05 | 4.21119E−03 | 4.78109E−06 | 2.126E−04 | 3.4188E−06 | 5.36150E−05 |
| 0.8 | 2.23256E−05 | 5.04855E−03 | 2.22705E−05 | 5.08817E−03 | 4.28582E−06 | 2.452E−04 | 4.0061E−06 | 6.75790E−05 |
| 1.0 | 2.46120E−05 | 5.78314E−03 | 2.47896E−05 | 5.78346E−03 | 6.16524E−06 | 3.829E−04 | 4.2389E−06 | 6.12935E−05 |


Example 5 illustrates the effectiveness of the proposed method in achieving lower error norms across various time steps and sizes. As it is showing in Table 13, at t = 0.1 with Δt = 0.01, the norm was , which was substantially lower than from.19 The results in Table 14 confirm that our method consistently yields lower and norms, particularly with finer time steps, demonstrating stability and robustness in simulating wave solutions. Also as it is shown in Table 15, the present method significantly reduces the maximum absolute errors compared to the method in,19 especially as M increases, demonstrating faster convergence. The errors decrease by several orders of magnitude across all parameters, indicating the superior accuracy and efficiency of the proposed approach. Based on this results, the present method outperforms the previous method in both accuracy and convergence rate. Figures 12 and 13 visually represent the behavior of the wave solutions and affirming the numerical findings.
| Time-steps | Norm of error | Results obtained by method in19 | Results obtained by present method | ||||||
|---|---|---|---|---|---|---|---|---|---|
| M = 20 | M = 40 | M = 60 | M = 80 | M = 20 | M = 40 | M = 60 | M = 80 | ||
| 2.69111E−04 | 3.41167E−05 | 1.20233E−05 | 6.11513E−06 | 3.51E−06 | 5.458E−06 | 4.857E−07 | 7.598E−07 | ||
| 5.88431E−03 | 3.91978E−03 | 3.59510E−03 | 3.48590E−03 | 4.72E−05 | 2.74E−06 | 5.619E−06 | 4.949E−07 | ||
| 5.37349E−02 | 3.58310E−02 | 3.25095E−02 | 3.13709E−02 | 4.84E−04 | 5.197E−06 | 6.547E−05 | 3.62E−05 | ||
| 2.38562E−04 | 3.04466e−05 | 1.09433E−05 | 5.63647E−06 | 5.48E−07 | 3.637E−06 | 2.263E−08 | 2.246E−08 | ||
| 5.93525E−03 | 3.91185E−03 | 3.58612E−03 | 3.47732E−03 | 6.93E−06 | 3.375E−06 | 5.254E−07 | 5.118E−07 | ||
| 5.36526E−02 | 3.57576E−02 | 3.24471E−02 | 3.13131E−02 | 4.99E−05 | 5.445E−05 | 8.276E−06 | 6.31E−06 | ||
| 2.3968E−04 | 3.0887E−05 | 1.11036E−05 | 5.7122E−06 | 5.97E−08 | 6.726E−05 | 5.6676E−07 | 4.332E−07 | ||
| 5.9765E−03 | 3.9128E−03 | 3.58625E−03 | 3.4778E−03 | 6.68E−07 | 7.452E−05 | 5.5104E−07 | 3.877E−07 | ||
| 5.3665E−02 | 3.5729E−02 | 3.24500E−02 | 3.1351E−02 | 6.45E−06 | 8.829E−05 | 6.713E−06 | 7.562E−06 | ||
| By present method | |||||
|---|---|---|---|---|---|
| M = 5 | M = 10 | M = 20 | M = 40 | M = 80 | |
| By method in19 | |||||
| 0.027097829 | 0.006278871 | 0.001656379 | 0.000414531 | 0.000103733 | |
| 0.04799501 | 0.016872231 | 0.004031238 | 0.001016282 | 0.000255155 | |
| 0.045440459 | 0.024649882 | 0.007400184 | 0.001811592 | 0.000454294 | |
| 0.045353053 | 0.025807968 | 0.008589973 | 0.002413281 | 0.000038522 | |
| 0.045512133 | 0.025971564 | 0.008671138 | 0.002484271 | 0.000689575 | |
| 0.045528756 | 0.025983209 | 0.008669169 | 0.002492881 | 0.000685876 | |
| 0.04799501 | 0.025983209 | 0.008671138 | 0.002492881 | 0.000689575 | |
| 0.885304799 | 1.583286368 | 1.798407329 | 1.854034639 | - | |

Finally, Example 6 examines the effects of varying α, with . For , as listed in Table 16, our method achieved lower error norms across the perturbation parameters. Conversely in Table 17, for , while the method still performs favorably, the error norms are generally higher, indicating an increased sensitivity to perturbations. Figures 14–16 visually represent the evolution of wave solutions for both and , highlighting the stability of our method in the positive alpha scenario.
| By present method | ||||||
|---|---|---|---|---|---|---|
| t | ||||||
| 0.1 | 6.97298E−05 | 4.96037E−04 | 4.17722E−05 | 7.97298E−03 | 7.17873E−04 | 3.98307E−03 |
| 0.2 | 5.55890E−04 | 3.53767E−03 | 4.27609E−04 | 4.55890E−03 | 7.98819E−04 | 4.57292E−03 |
| 0.4 | 5.66262E−04 | 3.46375E−03 | 2.36105E−04 | 4.50262E−03 | 6.36350E−03 | 6.07897E−02 |
| 0.6 | 5.48152E−04 | 3.45341E−03 | 2.43169E−03 | 3.48152E−03 | 6.43448E−03 | 6.50014E−02 |
| 0.8 | 5.82118E−04 | 3.79042E−03 | 3.48896E−03 | 3.82118e−03 | 6.49206E−03 | 4.84189E−01 |
| 0.9 | 5.96414E−04 | 4.93220E−03 | 1.51306E−03 | 3.96414E−03 | 6.51630E−03 | 4.98581E−01 |
| By method in19 | ||||||
| 0.1 | 1.72000E−02 | 6.51753E−01 | 1.70980E−02 | 6.47390E−01 | 1.69815E−02 | 6.42528E−01 |
| 0.2 | 1.69010E−02 | 6.40410E−01 | 1.67894E−02 | 6.35634E−01 | 1.66406E−02 | 6.29654E−01 |
| 0.4 | 1.62911E−02 | 6.17275E−01 | 1.61859E−02 | 6.12772E−01 | 1.60308E−02 | 6.06588E−01 |
| 0.6 | 1.56667E−02 | 5.93590E−01 | 1.55692E−02 | 5.89418E−01 | 1.54229E−02 | 5.83585E−01 |
| 0.8 | 1.50302E−02 | 5.69451E−01 | 1.49402E−02 | 5.65600E−01 | 1.48039E−02 | 5.60161E−01 |
| 0.9 | 1.47083E−02 | 5.57246E−01 | 1.46220E−02 | 5.53549E−01 | 1.44906E−02 | 5.48306E−01 |
| By present method | ||||||
|---|---|---|---|---|---|---|
| t | ||||||
| 0.1 | 3.59093E−04 | 2.59093E−03 | 4.59093E−04 | 4.59093E−04 | 5.59093E−03 | 1.59093E−03 |
| 0.2 | 4.15979E−03 | 3.45979E−03 | 3.45979E−04 | 5.45979E−03 | 4.45979E−03 | 1.45979E−02 |
| 0.4 | 4.32735E−03 | 2.12735E−03 | 3.32735E−03 | 2.12735E−03 | 4.12735E−03 | 2.12735E−02 |
| 0.6 | 4.78109E−03 | 4.18109E−03 | 4.74109E−03 | 4.78109E−03 | 3.78109E−03 | 2.78109E−02 |
| 0.8 | 5.28582E−03 | 4.28582E−02 | 5.28582E−03 | 4.28582E−03 | 3.28582E−03 | 2.28582E−02 |
| 0.9 | 5.16524E−03 | 6.16524E−02 | 5.191524E−03 | 6.64324E−03 | 3.26524E−03 | 3.16524E−02 |
| By method in19 | ||||||
| 0.1 | 1.17873E−02 | 6.98307E−01 | 1.17722E−02 | 6.97298E−01 | 1.17533E−02 | 6.96037E−01 |
| 0.3 | 1.27819E−02 | 7.57292E−01 | 1.27609E−02 | 7.55890E−01 | 1.27291E−02 | 7.53767E−01 |
| 0.5 | 1.36350E−02 | 8.07897E−01 | 1.36105E−02 | 8.06262E−01 | 1.35729E−02 | 8.03753E−01 |
| 0.7 | 1.43448E−02 | 8.50014E−01 | 1.43169E−02 | 8.48152E−01 | 1.42747E−02 | 8.45341E−01 |
| 0.9 | 1.49206E−02 | 8.84189E−01 | 1.48896E−02 | 8.82118E−01 | 1.48435E−02 | 8.79042E−01 |
| 1.0 | 1.51630E−02 | 8.98581E−01 | 1.51306E−02 | 8.96414E−01 | .50827E−02 | 8.93220E−01 |

Overall, the application of the Richardson extrapolation technique significantly enhanced the accuracy and convergence of our proposed method, demonstrating its robustness across various EFK-type equations and conditions.
This paper presents an advanced numerical method designed to solve the fourth-order Fisher-Kolmogorov reaction-diffusion equation utilizing a hybrid approach that combines quintic Hermite splines with Richardson extrapolation. This innovative technique demonstrates substantial improvements in both accuracy and stability compared with traditional numerical methods. By leveraging the properties of quintic Hermite splines, the proposed method achieves high-order convergence, specifically sixth-order convergence in the spatial direction and fourth-order convergence in the temporal direction. This level of precision is crucial for accurately modeling the complex nonlinear dynamics that are often encountered in various scientific fields.
A thorough stability analysis underscores the capability of the method to maintain unconditional stability across different perturbation parameters, thereby ensuring that the numerical solutions remain bounded and reliable. This aspect of stability is vital, particularly in applications involving dynamic systems where small errors can propagate and lead to significant inaccuracies. The numerical experiments conducted in this study further validate the effectiveness of the proposed method. These experiments demonstrate that it consistently yields lower error norms than existing techniques, highlighting its robustness in capturing the behavior of wave solutions under various initial and boundary conditions.
In addition to its methodological contributions, this research emphasizes the relevance of the proposed technique in mathematical biology and ecology, where the accurate modeling of dynamic processes is essential. These findings illustrate how advanced numerical approaches can enhance our understanding of complex systems, ultimately providing valuable tools for researchers in these fields. Overall, this study represents a significant advancement in numerical analysis for challenging differential equations, showcasing the potential of innovative methodologies to improve the solution reliability and accuracy in scientific computing.
This study contains all of the data and materials used for conducting this research. This means that all of the data and materials supporting the results or analyses are available within this study.
This work was supported by help and encouragement from friends and colleagues. I extend my gratitude for the invaluable insights provided during my research. Thank you to all those who contributed to the successful completion of this work.
| Views | Downloads | |
|---|---|---|
| F1000Research | - | - |
|
PubMed Central
Data from PMC are received and updated monthly.
|
- | - |
Provide sufficient details of any financial or non-financial competing interests to enable users to assess whether your comments might lead a reasonable person to question your impartiality. Consider the following examples, but note that this is not an exhaustive list:
Sign up for content alerts and receive a weekly or monthly email with all newly published articles
Already registered? Sign in
The email address should be the one you originally registered with F1000.
You registered with F1000 via Google, so we cannot reset your password.
To sign in, please click here.
If you still need help with your Google account password, please click here.
You registered with F1000 via Facebook, so we cannot reset your password.
To sign in, please click here.
If you still need help with your Facebook account password, please click here.
If your email address is registered with us, we will email you instructions to reset your password.
If you think you should have received this email but it has not arrived, please check your spam filters and/or contact for further assistance.
Comments on this article Comments (0)