Keywords
Corruption, Poverty and Quantile Regression
Corruption has emerged to the point where it is underreported but in reality, it haunts many people daily, especially in public offices. In South Africa the corruption take place in most government institutions, government administration at top level, middle and lower level of government. Corruption benefits the few and harm the majority of people living as lower income households. The economic literature has little evidence of the connection between corruption and poverty. Many studies have concentrated on the causal effect of poverty on corruption, not vice versa.
This study extends the literature on corruption to investigate the impact of corruption on poverty from a South African perspective. Other control variables such as the Gini coefficient and unemployment were considered equally. Secondary data stretching from 2000 to 2021 were selected based on data availability it was then converted to quarterly data (poverty and corruption). The study used the quantile regression model, descriptive statistics table and data trends of the selected variables.
The results of the quantile regression model indicate that corruption has a positive and significant effect on poverty at all quantiles (25th, 50th, and 75th). Moreover, income inequality has a positive, dominant, and significant effect on poverty at all quantiles, and unemployment equally causes poverty at all quantiles. This imply that socio-economic issues are a threat that exacerbate poverty in South Africa.
The study argues that policymakers should invest in youth development programs concerning entrepreneurship, education and support women cooperatives and small businesses to reduce the high dependency ratio of people on state services and to reduce high inequality and unemployment rates. The study was limited to investigate the causal effect that run from corruption to poverty only and not on the other way around.
Corruption, Poverty and Quantile Regression
“Do not accept a bribe for a bribe blinds those who see and twist the words of the innocent” Holy Bible as cited by (Šumah 2018). If corruption did not exist, some of those in positions, work, and decision makers would be somewhere else, and the poor could be somewhere living their dreams. Corruption is an issue affecting the world, and some studies have established its relationship with poverty such as (Salahuddin et al., 2020, Justesenb and Jørnskov 2014). At the beginning of 2025, more than 800 million people worldwide live in poverty or below the international poverty line (Alfani and Pavelesku 2021). This gives a glimpse of COVID-19 role in amplifying poverty; however, at the same time, some authorities were driven out of power because they misused funds that were supposed to help people (Mudau 2022). The poverty has its roots in rural areas in Africa, (Alfani and Pavelesku 2021) noted that Africa hold two-third of the world poorest population (Silwal et al., 2020). In the same demographic, 40% of those people live in transitory poverty, 60% of whom are chronically poor, especially in remote locations, whereas in urban areas, more than 50% of those living in poverty are children under the age of 15 (Beegle and Christiaensen 2019).
In the history of colonization, developed economies colonized less-developed economies with knowledge, slavery, and trade (Acemoglu and Robinson 2017, Ocheni and Nwankwo 2012). The barter system was an efficient way of trading among Africans; during that era, poverty, unemployment, crime, inflation, exchange rate issues, and other factors never existed. This is verified by (Wood, 1958), who in their study have indicated Lords Macaulay’s address in the British parliament on the 2nd February, 1835:
“I have travelled across the length and breadth of Africa and I have not seen one person who is a beggar, who is a thief such wealth I have seen in this country, such high moral values, and people of such calibre… I propose that we replace her old and ancient education system, her culture, for if the Africans think that all that is foreign and English is good and greater than their own, they will lose their self-esteem, their native culture and they will become what we want them, a truly dominated nation.” (Wood, 1958).
Today Africa hold two-third of the world poorest population (Silwal et al., 2020; Alfani and Pavelesku 2021). Who has ever imagined previously that Africans would suffer on their land, buy beef and other foodstuff they owned, and never traded for them before? Food security was balanced and there was no topic of climate change because they adapted to God’s gift of nature.
The South African reality of poverty, unemployment, and other socio-economic issues contain traces of the apartheid regime. For example, the average unemployment rate has not changed since the post-apartheid era began in 1994. South Africans imagined the post-apartheid period as a game changer, where blacks and whites owned assets and wealth equally. However, white people remain in the top positions Human Right Commission (2023) based on assert ownership (see Figure 1 below). Simultaneously, blacks remain highly dependent on the government’s social security benefits. John (2021) validated that corruption remains systematically intact in societal structures.

Source: Statistics South Africa: the figure shows average asset score between 2009 (in blue) and 2015 (in black). It shows a trend, blacks are at the bottom end, and whites on top end. The vertical axis, shows the population group, horizontal axis shows the values.
Therefore, Figure 1 can be interpreted in two ways concerning poverty and corruption. This simply means that assertions based on white people remain distributed in the same channel even in the post-apartheid period. This means that black people remain the majority living in poverty, especially absolute poverty. Second, policies such as BBBEE aimed at uplifting black people have triggered a highly unequal society among blacks (Koelble 2022). Those in power exercise corruption to attain public assertions, while those living in poverty remain in the cycle of poverty.
The Palma ratio compares the income expenditure of the 10% richest population divided by the poorest 40% of the population, as indicated in Figure 2 below. In 2015, the top richest people spent 7.9 times more than the bottom 40% population. This means that the income for the richest 10% could be distributed among the poorest 40% of the population, thus making them wealthier. The year 2015 marked 21 years of democracy and fell under the NDP program towards 2030.

Source: Statistics South Africa: in the figure there is definition of Palma ration, figure of ten individuals representing the total population of SA, the blue guy represent the richest 10% of the population, the grey individuals sample indicates middle income, and the marron individuals represent bottom lower income 40% population.
Education is well established in South Africa, but graduates produced annually are not equally absorbed in the labor market (Macginty 2024, Mseleku 2022, Graham et al., 2019). The general perception and comedy established in social media such as Tiktok are scenarios where unemployed people (young) are associated with less connected people (not known to influential people who give them jobs). Moreover, it is becoming normal for people to pay bribes or sexual enslavement to attain employment systematically (Ntshangase 2024).
However, such perceptions can be revealed in a primary data-based study. Justesenb and Jørnskov (2014) argued that poor people, through their reliance on public services, are more likely to pay bribes. This means that poor people in high societal positions are more likely to be greedy in satisfying themselves first. In this way, the poor remain poor, which could also be a reason they have been emerging for the killing of ward councillors, especially in KZN province (Nomarwayi et al. 1938, Matamba and Chwayita 2024). People perceive that at a lower level of government, they are at the forefront of using state funds for their benefits.
Therefore, the problem in South Africa observed in this study is a high level of poverty, unemployment rate, and high inequality. Therefore, the objective of this study is to evaluate the effect of corruption on poverty in South Africa. Evaluate the role of inequality in poverty. This study is equally interested in contributing to the body of knowledge on the econometric evaluation of poverty as a function of corruption, inequality, and unemployment rate.
The literature provides insights into the connection between corruption and poverty. For example, Salahuddin et al., (2020), Rahayu (2012), (Cabral 2017), (Oliveira, Ferreira, and Costa 2022) and (Eshun and Baah 2019) find that corruption causes poverty. On the other hand, Riley and Chilanga (2018), Adebayo (2013), and Ünver and Koyuncu (2018) indicated that poverty is the cause of corruption, contrary to earlier studies. Therefore, this study investigates the effect of corruption on poverty from the South African perspective.
The literature is silent on the effect of corruption on different people living in different categories of poverty (food poverty, lower bound, and upper bound poverty). Therefore, the main objective of this study is to establish a link between corruption and poverty (categorized in different quantiles) in South Africa. This is because poverty varies across societies and deprivation may be chronic or transitory. The remainder of this paper is structured as follows: the second section covers the literature review, followed by the methodology, discussion of the results, and last section covers conclusion.
The following views of poverty are derived from the classical school of thought, the neoclassical school of thought, the Keynesian/Neo-liberal view of poverty, and the Marxian/radical view of poverty. The following discussion stamps the footsteps of (Davis and Sanchez-martinez, 2014). Beginning with the classical school of thought is rooted in the fact that individuals are the main causes of poverty; therefore, laziness or making bad decisions in life produces a reward called poverty. For example, it is common today in South Africa in both urban and rural areas to find tuck shops and emerging supermarkets operated by foreigners selling goods for South Africans. In this case, South Africans’ laziness remains a common cause of poverty. These theories provide a glimpse of both poverty and inequality. However, this section focuses more on the political theory of poverty because poverty is explained in light of corruption.
Lennon and McCartney illuminate the philosophy of politics as actions aimed at stabilizing the situation to prevent the worse situation from taking place and to bring change that yields positive or negative changes (Strauss 1957). Rural communities require local government services that adhere to positive changes in the community to live above the living income benchmark. Therefore, regarding rural communities with people living below the income benchmark, the local government is democratically selected by individuals. Then, it should bring positive change through excellent service delivery, act in favor of society, and avoid fraud and corruption.
Stark (2009) argued that international policies aimed at alleviating poverty are normally the work of politicians. However, academic work usually proposes strategies that influence policymakers. Stark (2009) makes explicit connections between the political theory of poverty and liberal theory by devising poverty as a subject to morality, justice, and utility. From a human rights point of view, everyone should not be deprived of necessities, irrespective of possession or income. For example, the SA Bill of Rights provides several rights that everyone should be entitled to, such as housing, food, water, education, and health, following the MDGs that aimed to halve poverty by 2015.
Poverty is viewed as injustice; this is the idiom of Stark (2009) in the liberal theory of poverty. The definition of poverty usually involves the word “deprivation” of human needs, this word is a focal point in this stage. However, capitalists view poor people as responsible for being poor, and assume that poverty is not a social problem, meaning that nobody should be held responsible for taking care of the poor. The liberal view of injustice states that laws, rights, and strategies should be established to curb poverty. Therefore, in a political system, politicians should formulate the rights and policies that will work in favor of the poor to prevent the change from being worse.
The last idiom of poverty is utility. In simple terms, utility is satisfaction, which means poverty is a sense of disutility that requires intense research to come up with solutions to the problem. The liberal view contends that education on the causes of poverty could lead to better policies, programs, and influences that could curb poverty. However, liberal theory asserts that states should be responsible for developing and implementing poverty alleviation programs that sometimes lead to misuse of funds in the process. This could be linked to what Brady (2019) calls resource theory, in which political officials access power through access to the control of resources and money. Therefore, resource theory states that the political institution responsible for the formulation and implementation of policies are responsible for causing poverty. This is in line with radical theory, which states that the social and political systems used in a certain economy are itself a cause of poverty.
Šumah (2018) derives corruption from the word corruptus which means corruption, abuse of the high-power position for personal gain. This is normally related to the abuse of funds by trusted high-profile officials for their gains, influenced by greed, unethical conduct, and other weakening factors of the system. Aidt (2003) lists several elements of corruption, such as efficient corruption, where the transaction between the two parties that should run from one party (official) to the other (beneficial) ends up benefiting a third party that was not supposed to benefit. For example, Šumah (2018) highlights the issue of bribery as an open employment post ends up being given to an individual who bribes the employer instead of hiring the best candidate. The second element is when non-beneficiaries are given the power to make final decisions; this is called the principle of benevolent corruption. The third element involves the non-beneficial principle of corruption, meaning that officials are supposed to distribute resources for public benefit. Instead, they introduce policies that permit them to abuse the private sector by extracting funds illegally from them. For example, selling public goods is characterized as community goods for all. Corruption inertia is the fourth element, which means that corruption occurs over time because of spill-over from one office to another.
Šumah (2018) argues that corruption is amplified by a lack of professional ethical practice and corruption, which in turn harms economic growth, investment, job creation, and assistance programs meant for the poor. It reduces the tax income for the state at the same time that state officials have a way to operate above the law they formulated and, lastly, the quality of education.
Empirical literature begins with a relationship that involves the causal effect between corruption and poverty. There is limited evidence in the broad literature and South African context. Considering the following example, Salahuddin et al., (2020) investigated the nexus between the two aforementioned variables in South Africa. The secondary data from 1991 to 2016 were regressed using the ARDL model. The study found that corruption amplifies poverty in the long run, whereas globalization reduces it. This study provides a glimpse of the advantages of globalization in the economy. Similarly, Rahayu (2012) noted that corruption, bribery, fraud, and nepotism become daily life experiences. The study found that corruption is the root cause of poverty in the economy and not vice versa. The study based its findings on the Granger causality test between variables over time.
Based on the primary data from the Lilongwe area, the study undertook in-depth interviews were conducted. It found that the incidence of food insecurity in the region is mainly caused by corruption the author named it the “political culture” following the cash-gate scandal revealed in 2013 September (Riley and Chilanga, 2018). In Nigeria, Adebayo (2013) shared similar sentiments and corrupted proper insults. Calling it the deputy root of evil, fire that burns funds for the needy, and a road that misleads resources to wrongful benefits as indicated by resource theory.
In the USA, Dincer (2008) notes that corruption causes both poverty and inequality. The study relied on various measures of inequality, such as the Gini index, standard deviation, coefficient of variation, and Atkinson index, while poverty was sourced from the US Census Bureau. Justesenb and Jørnskov (2014) argued that poor people, through their reliance on public services, are in the trap of paying bribes. Public servants are equally confident that people will pay bribes because they are a monopoly of the services. The study’s findings were derived from a multiple regression model, and the data were extracted from 18 different economies.
Other findings confirm that poverty causes corruption. For example, Pierre (2020) indicates that corruption, slavery, international aid, and unemployment are the root causes of poverty in Haiti. On the other hand, Mantzaris and Pillay (2019) validated that corruption equally harms economic growth and international trade. This study is based on the fact that the loss of a good leadership style, ethical conduct, group greediness, and political institutions are root sources of corruption. Contrary to Šumah (2018), who in the theoretical discussion indicated that religious organizations where protestants dominate have less corruption stimulus packages. Ayub (2013) added that not only is economic growth negatively affected by corruption, but community resources are also diverted, as the theory highlighted earlier. Resources highlighted by the author include education, health, electricity, water, and sanitation. All these resources are valid in the current study for living income. Vahideh et al., (2010) indicate that poverty and corruption have bidirectional causality. The study used the panel GMM and data stretched from 1997 to 2006, and poverty was measured using the Human Poverty Index (HPI).
Moreover, earlier studies, such as Anoruo and Braha (2005), indicated that corruption harms economic growth. The study used the panel methodology of 18 African economies using data ranging from 1996 to 2001. The study adds that poverty and economic growth cause corruption, meaning that development indicators are used to predict corruption. Cieślik and Goczek (2018) note that if the level of corruption is silenced, economic growth can flourish. The study used the Panel GMM through the secondary data of 142 economies that stretched from 1994 to 2004. The study further argues that economic growth stimulates investment and per capita income.
Other studies validated the relationship between corruption and income inequality. For example, Ullah (2022) indicated that corruption has a positive effect on inequality because income often goes to government officials, who are expected to distribute wealth evenly. The study uses the GMM approach and indicates the robustness of the results obtained, irrespective of changing the equation specification. Earlier studies, such as Apergis et al., (2010), indicate that corruption is the root cause of inequality and unemployment. These two variables are important in this study because they were included as control variables. This study collected secondary data for 50 states in the United States of America, and panel cointegration by Pedroni was employed. The following section describes the methodological procedures used in this study.
The following discussion describes the four important building blocks of a model: the nature of the data, theoretical model, empirical model, and diagnostic tests. The study relies on secondary data that consist of numerical values to make economic sense through a quantile regression model. This means that the study relies on the positivism approach, in which quantitative models are used to display certain meanings displayed by the data.
Secondary data are used in the data, and the first variable of interest is poverty, measured by food poverty extracted from easy data (Quantec). Despite the economic growth attained in the post-apartheid period (Langalanga 2019). Food poverty is illegal in South Africa, which is why there have been social security grants in the post-apartheid period. At the same time, access to basic needs is a universal human right for all. The second variable of interest is corruption control, which is a proxy for corruption extracted from the World Bank database. SA has been ranked as an unequal society characterized by high corruption enforced by its weak system and politically connected officials (Šumah 2018).
The third variable is the Gini coefficient, a common measure of income inequality, which was extracted from easy data (Quantec). SA is highly unequal as highlighted above with a Gini index of 0.63 during the time of writing and an average value of 0.70 (see results section). The last variable used is the unemployment rate, it is no doubt that the South African unemployment rate is very high in Africa and the world. Even illiterate people can observe that from reality, even if they cannot tell the real statistics. The latter two variables are control variables; moreover, corruption, poverty, and the Gini index were converted to quarterly data in Eviews version 9.
Šumah (2018) asserts that corruption is amplified by a lack of professional ethical practice and corruption, which in turn harms economic growth, investment, job creation, and assistance programs meant for the poor. It reduces the tax income for the state at the same time that state officials have a way to operate above the law they formulated and, lastly, the quality of education. Stark (2009) argued that international policies aimed at alleviating poverty are normally the work of politicians. However, academic work usually proposes strategies that influence policymakers. Stark (2009) makes explicit connections between the political theory of poverty and liberal theory by devising poverty as a subject to morality, justice, and utility. From a human rights point of view, everyone should not be deprived of necessities, irrespective of possession or income. For example, the SA Bill of Rights provides several rights that everyone should be entitled to, such as housing, food, water, education, and health, following the MDGs that aimed to halve poverty by 2015. However, as indicated above, resources may divert from the target population through corrupt individuals.
Model specification
Quantile regression is nothing but an extension of the simple ordinary least squares (OLS) model. It addresses issues that may fail to hold in simple OLS models, such as heteroscedasticity tests, serial correlation tests, and normality tests. It produces results for different quantiles, such as the 25th, 50th, and 75th quantiles and other available forms. Similar to the ARDL model, it uses the variables at levels without manipulating them; this allows the model to produce highly trusted results from the untransformed data. This study uses the following specification adopted by (Salahuddin et al. 2020).
The linear model expression provides a specification of the model, including control variables such as income inequality covered by (Alvi and Senbeta, 2014).
Where Pov, denotes poverty as a dependent variable, Corr denotes Corruption, Gini denotes the Gini coefficient, and Un denotes unemployment rates. Other coefficients like , are constant terms, , is the error term. The notations ( ) denote the 25th, 50th, and 75th quantile Equations 2, 3, and 4, respectively. This means that poverty is elastically different in its conditional distribution (Alvi and Senbeta, 2014). Previous studies that used the above specifications used different approaches; however, this study used a quantile regression.
The quantile regression model provides insight into the relationship between the dependent and explanatory variables in different quantiles, as indicated above. Apart from the advantages stated above, the quantile regression absolute-loss regression model at the 50th quantile is powerful for outliers in both dependent and independent variables. It is a piecewise linear regression; therefore, it is similar to solving linear programming problems. Few studies have used it to investigate the relationship between poverty and corruption such as (Alvi and Senbeta, 2014). Furthermore, Le et al., (2019) used it to investigate the relationship between trade liberalization poverty and inequality. Other studies have used it to examine the determinants of poverty in different regions of the world (Armando et al., 2020; Garza-rodriguez et al., 2021). We consider the following equation:
Where the dependent variable, is the constant term, is the slope coefficient for the regressors, which can also be estimated using least squares. , is the quantile position like the 50th quantile. If , it means the conditional mean of the dependent variable concerning the regressor (X) is as follows:
By minimizing the following equation, the coefficient in Equation (6) can be estimated as follows:
Therefore Equation 6 is similar to Equation 7 in the sense that:
Therefore, quantile regression can minimize the sum of the absolute values of errors (Alvi and Senbeta, 2014). Because the model is estimated for different quantiles, it is important to demonstrate the connection between the coefficient for the repressor and quantile. Furthermore, the estimation becomes important to produce results that appeal to policymakers regarding how they approach problems related to poverty and its determinants. The marginal effect of repressors is captured in the coefficient estimation (see the following equation):
The estimation of the model begins by explaining the behaviour of the sample data in the form of graphs, followed by a descriptive statistics table. Before the model was performed, the stationary test using the Augmented Dickey-fulley test (ADF) and Philips Perron (PP) tests was performed. Therefore, for time-series data, this study focuses on augmented Dickey–Fuller (ADF) and Phillips–Perron (PP) tests, which are common in the literature. Consider the following Equation 10 based on the ADF test:
The above model is augmented because it includes the lagged dependent variable. As stated in the previous section, t denotes the time trend if the model is non-stationary. Based on the ADF, the coefficient in the case of the unit root problem. The error term is assumed to be white noise , independently and identically distributed. Unlike the ADF test, the PP test corrects for serial correlation in the time series data.
The discussion of the results begins with the analytical behavior of the variables used in the study. As previously indicated, the nexus between poverty and corruption is indicated by the control of corruption in the economy, as ranked by the World Bank. The control of corruption in Figure 1, located in the upper-left corner, shows a downward slope up to 2012. In the preceding periods, it remained constant and decreased dramatically in other periods such as 2014, 2018, and 2020. The most notable point A is explained by the changes in the government structure in South Africa, which is cited as the most corrupt in the post-apartheid regime (Georgieva and Krsteski, 2017). On the other hand, point B highlights corruption related to the abuse of state funds, such as the provisioning of food parcels and the Department of Health (John 2021).
Poverty on the same Figure 1, but on the upper-right corner, depicts a downward trend from the beginning of the period up to 2010. This trend indicates that in the post-apartheid period, all policies were like spears set to destroy poverty, especially among Black people. Following the global financial crisis, this trend started to increase slightly from 2011 to 2018. The number of people living in poverty has been equally amplified by the COVID-19 pandemic due to many factors, such as unemployment. For example, Ngubane et al., (2023) noted that poverty increases irrespective of whether unemployment increases or decreases, and the study was undertaken using the NARDL approach.
At the bottom right of Figure 3, the Gini coefficient shows the degree of inequality. Before 2010, the level of inequality hovered between 0.70 and 0.80. This indicates that it took time for the post-apartheid system to reduce inequality in the SA. Prior policies, such as RDP, GEAR, and ASGISA, failed to reduce the level of inequality in the economy (Jarstad 2021). Equally important, in the post 2010 period the inequality level remained at approximately 0.60. However, in other periods, such as 2010 and 2011, inequality further decreased dramatically, but it failed to remain at a low level in the long run. This could be explained by the fact that the periods around 2010 were concentrated by high capital formation in preparation for and during the FIFA World Cup. During this period, there was ongoing labor-intensive construction, the transport industry benefited equally, and the overall tourism industry opened jobs and entrepreneurial opportunities.
Most data on the unemployment rate for South Africa date from 2000 onwards; in the same year, it appears that it was hovering below 24%. This Figure looks similar to that of the second quarter of 2020 during the pandemic, which decreased to 24%, showing a promising trend. However, one questions the issue of unemployment decreasing by 5% between the first and second quarters of 2020. This leads back to the definition of the unemployment rate, which is the percentage of people aged between 15 and 64 years who are actively looking for employment and cannot find one. The important word in the previous definition is “actively” and it can be used to explain the unemployment in 2000 and 2020Q2. Lack of education and high concentration of black people in informal employment for unskilled and semi-skilled labor made the percentage of people who were actively looking for employment look lower in the Figure but remained very high in the population. Concerning informal employment, consider that a person looking for a survival job in rural areas, such as construction, is normally done by people considered unskilled. This type of employment is not accounted for by the formal unemployment rate.
The same issue could relate to 2020Q2, where people were not allowed to move, look for jobs, or operate business. Therefore, the unemployment rate decreased because of the lockdown. However, the GDP growth decreased exponentially. Unemployment increased sharply after the lockdown, when people were allowed to move around and search for lost jobs. Ngubane et al., (2023) indicated that employers in South Africa are reluctant to hire, even when economic activities are in the right condition.
The second part of the results briefly outlines the descriptive statistics table indicated in Table 1. It consists of measures of the central tendency, dispersion, and total number of variables. The percentage of corruption ranges from -2.5 (poor control of corruption) to +2.5 (highly effective control of corruption). The minimum and maximum values for corruption in South Africa range from -0.42 and 0.86 respectively. The highlighted values indicate that the positive values of poverty control are less than 1 and are not extreme values desired by society at large. The median value is 0.06, whereas the mean is 0.13, indicating that dealing with corruption in South Africa is not at the heart of the state. John (2021) indicated that the media has underreported the incidence of corruption. The standard deviation from the mean is (0.25) higher than the mean, indicating that the data were not stationary. The kurtosis of the data is Platykurtic because it is less than three, which indicates the spread of the data away from the average value or point of asymmetry.
Moving to the next variable of interest, poverty spreads are skewed to the left (lower values). This is shown by the median value (36) being lower than the mean value (38) and closer to the lower end (32). However, the data according to kurtosis is mesokurtic, close to 3. This could be the case because poverty is represented by food poverty, and in SA, fewer people go to bed without food (thanks to a social security grant). Moving to the control variables, the Gini coefficient, and unemployment. The former ranged from 0 (highly equal society) to 1 (highly unequal society). Therefore, it is clear that 0.5 is moderate, but values below it are highly desirable for most economies. On the other hand values above 0.5 are not desirable; in SA, the mean is 0.71 and the median is 0.7. This means that South Africa is a highly unequal society (Koelble, 2022), with the majority of people remaining unemployed, social grant dependent, and living in rural areas without adequate infrastructure. The data are playtokurtic a few points away from three; however, the standard deviation is very small at 0.05, showing that most values hover around the average value.
The unemployment rate mean (25), median (24), and standard deviation (2.87) do not best describe the behaviour of the data. In this case, the average value could be related to the natural rate of unemployment in South Africa and the data are equally positively skewed. However, kurtosis and skewness may be relevant to this juncture. For example, the data are leptokurtic (5) away from 3, meaning that the data are highly peaked. Society is unwilling to experience a high unemployment rate. This means that the South African democratic system, economic system, political system, technological development, and other sectors tend to favor unemployment instead of making it an enemy.
The stationarity test results are shown in Table 2. It is important to trace the nature of the data used in the study and access its behaviour through an accredited pre-test. The Gini coefficient is stationary at levels because, in the descriptive statistics table, it has to mean reverting values over time. Unlike the remaining three variables (poverty, corruption, and unemployment), these were found to be stationary after taking the first difference. This is because the data for the latter variables show different trends over time, and can easily respond to shocks. However, the quantile regression employed in this study does not require the use of stationary data to perform the regression. This is an extension of simple OLS (see the methodology section).
| Augmented Dickey-Fuller (ADF) | Philips Perron (PP) | |||||
|---|---|---|---|---|---|---|
| Series | I(0) | I(1) | Order | I(0) | I(1) | Order |
| Corr | 1.878 | 13.633*** | I(1) | -2.014 | -14.306 | I(1) |
| Un | 0.567 | -9.865*** | I(1) | -2.097 | 13.015*** | I(1) |
| GINI | -2.610* | ---------- | I(0) | -6.917*** | --------- | 1(0) |
| Pov | -2.087 | -11.16*** | I(1) | -2.015 | -11.39*** | I(1) |
Moving to the core results of this study. The results in Table 3 were divided into three parts. The first part indicates the results at the 25th quantile, followed by those of the 50th or median quartile, and finally those of the 75th quantile. In the first quantile, a 1% increase in corruption led to a 0.19% increase in poverty, and the effect was statistically significant at the 5% level. Corruption undertaken by high-profile people indirectly affects those living below the food poverty line. The findings of this study are in line with those of Rahayu (2012), Ikharehon (2019), and Salahuddin et al. (2020). However, if corruption is undertaken by local government officials, it can directly affect people living below food poverty levels. For example, during the COVID-19 pandemic, food parcels were issued to poor families because the R350 grant was not sufficient to afford household food (John 2021). Therefore, the distributors were only concerned with people they were close to them, such as relatives, friends, and friends. Therefore, poverty is defined as the deprivation of basic needs and a state of being voiceless or deprived of important social decisions. The same condition occurred because poor people were not represented, and nobody stood and spoke on their behalf to obtain adequate food. The Gini coefficient has a greater coefficient in all quantiles than the coefficients that represent corruption and poverty. A 1% increase in the Gini coefficient leads to a 0.22% increase in poverty; however, this effect is statistically insignificant. Equally important unemployment has an insignificant effect on poverty, as indicated by (Dahliah 2021). The constant term indicates that if all variables are held constant, poverty increases by 3.36% and is statistically significant. This means that poverty remains positive because of the economic structure, education, and other factors that contribute to poverty in South Africa.
| Variable name | Coefficient/Std. Error | T-statistics |
|---|---|---|
| Poverty (dependent variable) 25th Quantile | ||
| Corruption | 0.186071** (0.081617) | 2.279796 |
| GINI | 0.221892 (0.300259) | 0.739002 |
| Unemployment | 0.001632 (0.005720) | 0.285249 |
| Constant | 3.355326*** (0.217132) | 11.42835 |
| Poverty (dependent variable) 50 th quantile | ||
| Corruption | 0.294043** (0.131461) | 2.236721 |
| GINI | 1.059901* (0.131461) | 1.794928 |
| Unemployment | 0.011013*** (0.003898) | 2.824884 |
| Constant | 2.556498*** (0.437427) | 5.844406 |
| Poverty (dependent variable) 75 th Quantile | ||
| Corruption | 0.398178*** (0.064287) | 6.193786 |
| GINI | 1.027281** (0.443340) | 2.317138 |
| Unemployment | 0.020053** (0.008813) | 2.275398 |
| Constant | 2.395151*** | 6.803416 |
In the 50th quantile, all the variables are statistically significant. A 1% increase in corruption led to a 0.29% increase in poverty. This means that corruption is still harmful to people living in the lower-bound forms of poverty. People living in lower-bound poverty are those who do very low-paying jobs and equally depend on government child support or elderly grants (Ngubane, Mndebele, and Kaseeram 2023). For example, people who work for rich people perform casual work, such as gardening, cooking, and babysitting. They normally do not have formal certificates for their work, and are deprived of recognition by trade unions. Therefore, they continue to live under the employer’s mercy for their survival. These people normally participate in saving schemes such as stokvel to purchase huge assets once a year or help one another to build modern housing. The form of corruption they experience is a lack of formal recognition, underpaid, working extra unpaid hours, denied holidays, treated unfairly, they are not respected in society, and ignored.
Regarding the Gini coefficient, a 1% increase in inequality leads to a 1.03% increase in poverty. South Africa has a highly unequal economy, and inequality dominates the other variables that exacerbate poverty. In contrast to the previous example of men and women working for richer families, they remain underpaid. This scene provides a full picture of the South African reality; those who are rich have better-paying jobs with many benefits for workers and family members. On the other hand, poor domestic workers are paid less, work more hours, do more than what is required by the job description, and without benefits. Koelble (2022) noted that BBBEE triggered South Africa, which is highly unequal. In this way, inequality suppressed the poor in support of the rich, which is what Blacks thought would end in the post-apartheid period. However, history repeats itself, and Koelble (2022) argued that inequality is not racial. The unemployment rate has a lesser effect on the lower bound level of poverty (0.01%). This case does not necessarily imply the truth because the previous example of domestic workers is not taken into account when unemployment rates are calculated. Second, the data inconvenience for the low unemployment rate depicted in Figure 1 above, where unemployment was recorded at 24% in 2020Q2, could be the reason. Moreover, this indicates that this type of unemployment could be best described by the primary data collected by the survey. The constant term has decreased slightly because, in this case, we discuss people who are relatively exposed to the working environment.
Moving to the 75th quantile regression results. This quantile represents people who hold value and assert that they are still living in poverty or deprived of other essentials to maintain a quality living income benchmark. A 1% increase in corruption leads to a 0.40% increase in poverty (for example, the upper bound poverty level); the results are statistically significant at the 1 percent level. The results are in line with Yusuf et al., (2014); although the results were based on causal effects and did not specify the sign, the result also relates to those obtained in previous quantiles. These results could relate to young people- exposed to some benefits like NSFAS–who look like rich people through the clothes they wear, high-profile cell phones, and study gadgets in public figures. At the same time, the same asserts are short-lived because of frictional unemployment, which lasts longer after their studies. In addition, in the end, they remain without shelter of their own and do less-paying jobs that are unrelated to their studies (youth experience the highest unemployment rate in SA). Equally important since cultural norms are becoming less important, most young people bear the burden of having children before they finish schooling, which makes their lives much more complicated in post-study periods.
Regarding inequality, a 1% increase in the Gini index leads to a 1.03% increase in poverty, and the results are statistically significant at the 5% level. The Gini index is still dominant in the upper quantile and is related to the findings of Lakner et al., (2022). The results could be equally related to the example of young people highlighted above. Statistics indicate that young people experience high unemployment rates in SA, which implies that they experience high inequality among themselves and other age groups. For example, the so-called “connected people” can get jobs after the University completion period. That is, they can be offered jobs by relatives or friends, be bribed to get employed, or have an affair with HR to find employment. This is the reason behind individuals’ resistance to reporting incidences of poverty (Clemente and Calca, 2023). These conditions are dominant because it is widely known that one can neither deny employment nor find a job easily. These people tend to get good-paying jobs, opening a wide gap between them and their unemployed counterparts. Sometimes, elderly people are important for their experience, which makes it easier for them to find and change jobs.
Moving to unemployment-causing poverty, a 1% increase in unemployment leads to a 0.02% increase in poverty, and the results are statistically significant at the 5% level. These findings are consistent with those of (Meo, et al., 2023). The small impact of unemployment on poverty might indicate that unemployment might cause poverty through other variables such as being unemployed and young, family size, and not doing any formal/informal occupation. For example, Dahliah (2021) confirmed that unemployment causes poverty through economic growth. Meanwhile, little influence of unemployment on poverty is depicted in the fall figures depicted in Figure 1 above by the graph of unemployment, which was 24% in the second quarter of 2020. Hence, in real life, we are fully aware that at that time, many people were not employed and yet willing to work, but were hindered by lockdown. Hence, in that period, the definition of unemployment that involved the word actively seeking employment was still active. However, the truth holds that people who are not part of the unemployment percentage are there, some are ready to work, and some are illiterate and look for jobs for unskilled labor.
Table 4 is out of the last table in this study, and depicts the post-diagnostics tests and goodness of fit. The Pseudo R-squared increases with quantiles from 24.60 on the 25 quantile, 33.32 on the 50th quantile to 50.74 in the 75th quantile. This implies that variations up to 50% are explained by the selected dependent and control variables. This implies that other factors that influence poverty (such as gender, race, age, and others that could work in the surveyed data) were not included in the study because of the objective of the study. Equally important, the Quasi-LR-stat is 38.51 in the lower quantile, 48.28 for the middle quantile, and 93.19 for the upper quantile. All the highlighted statistics are statistically significant at the 1% level, implying goodness of fit for the overall model. A normality test was then performed. The J-B test is statistically insignificant for all quantiles, implying that the data are normally distributed across disciplines. The asymmetric plot for the first quantile is 5.03, 5.03 for the middle quantile, and 15.18 for the last quantile and is statistically significant for all quantiles. This implies that the data have a linear relationship with the variables, as established by the study. This further implies a vibration of the estimated results. The slope equity test is 69.25 for the 25th, 61.47 for 50th and 62.28 for the last quantile (75th), all of which are statistically significant. This indicates that the slope differs across the periods. This supports the reason behind the use of quantile regression as an extension of the simple OLS regression model.
| Diagnostics tests | 25th Quantile | Goodness of Fit | 25th Quantile |
|---|---|---|---|
| Asymmetric Q-test | 15.18408 | Pseudo R-Squared | 0.245992 |
| Jarque-Bera | 0.4045 | Adjusted R-Squared | 0.219064 |
| Slope Equity | 69.28534*** | Quasi-LR-statistics | 38.50722*** |
| 50th Quantile | 50th Quantile | ||
| Asymmetric Q-test | 13.69243 | Pseudo R-Squared | 0.333159 |
| Jarque-Bera | 0.271265 | Adjusted R-Squared | 0.309343 |
| Slope Equity | 61.47014*** | Quasi-LR-statistics | 48.28495*** |
| 75th Quantile | 75th Quantile | ||
| Asymmetric Q-test | 15.18408 | Pseudo R-Squared | 0.507364 |
| Jarque-Bera | 3.160084 | Adjusted R-Squared | 0.489770 |
| Slope Equity | 62.27924*** | Quasi-LR-statistics | 93.18930*** |
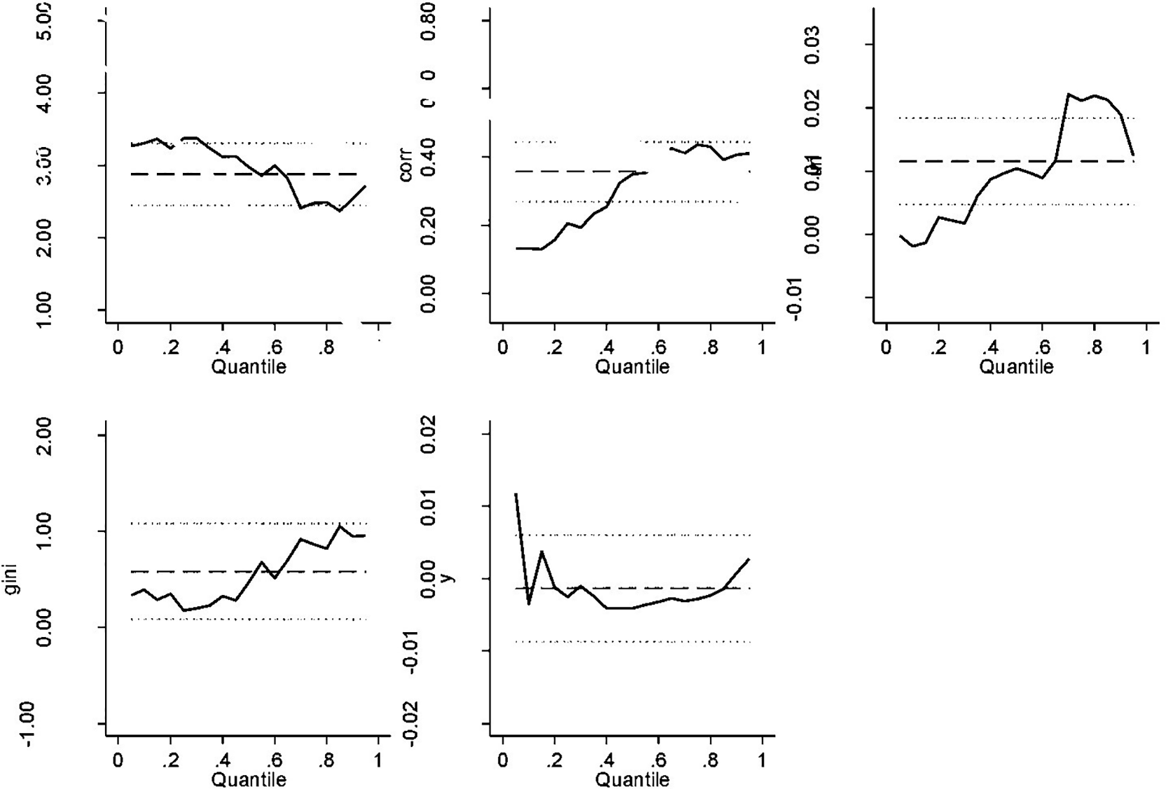
The graph in Figure 4 is used to compare the results of the OLS with those of the quantile regression. The bold line should hover around the shaded region and within the two parallel dotted lines. To examine the Gini coefficients, the quantile process hovers around the two bounds indicated by parallel lines. This means that the results obtained are similar to those obtained from the simple OLS. For Corruption, the values on the lower quantile are relatively similar to those of the OLS model, but as the quantiles increase, they move to the upper and lower bounds. For unemployment rates, the small coefficients obtained indicate that both the values in the lower and upper quantiles are out of bounds.
This study has established a connection between corruption and poverty in South Africa and the world. The results of the quantile regression model for all quantiles confirm that corruption causes poverty (food poverty and lower- and upper-bound poverty). Based on the results, the study recommends that policymakers make corruption one of the objectives of the economy. Second, the Gini coefficients increase the level of poverty, meaning that high inequality amplifies poverty. The study recommends that policymakers target the Gini coefficient that is lower than 0.4 in the long run, to make all institutions work towards reducing inequality. Finally, these findings suggest that unemployment causes poverty. Therefore, the study argues that policymakers can regulate the use of technology while subsidizing labour-intensive sectors in the economy to absorb labour. The study was limited to the quantile regression model, and future studies can use other models, such as the moderation model, to examine the effect of one variable on other influential variables. Based on the overall results of the study, policymakers should invest in youth development concerning entrepreneurship and education and support women cooperatives and small businesses to reduce the high dependency ratio of people-to-state services and to reduce high inequality and unemployment rates.
Data are available: the data is secondary data that was sourced from World Bank database, and Easy data (Quantec). The data is available at: https://www.datafirst.uct.ac.za/
The authors are extremely grateful to the collective efforts of the Department of Economics, particularly Prof. I. Kaseeram, for his supervision, and Celiwe Manzini, for the dedication and assistance. In addition, the support in terms of resources and facilities provided by the Department of Economics at the University of Zululand is considerable, has made a positive contribution to the success of this research, and is highly appreciated.
| Views | Downloads | |
|---|---|---|
| F1000Research | - | - |
|
PubMed Central
Data from PMC are received and updated monthly.
|
- | - |
Is the work clearly and accurately presented and does it cite the current literature?
Partly
Is the study design appropriate and is the work technically sound?
Partly
Are sufficient details of methods and analysis provided to allow replication by others?
Partly
If applicable, is the statistical analysis and its interpretation appropriate?
Yes
Are all the source data underlying the results available to ensure full reproducibility?
Partly
Are the conclusions drawn adequately supported by the results?
Yes
Competing Interests: No competing interests were disclosed.
Reviewer Expertise: Development Economics, Institutional Economics, Inequality, Poverty.
Is the work clearly and accurately presented and does it cite the current literature?
Partly
Is the study design appropriate and is the work technically sound?
No
Are sufficient details of methods and analysis provided to allow replication by others?
Partly
If applicable, is the statistical analysis and its interpretation appropriate?
Partly
Are all the source data underlying the results available to ensure full reproducibility?
Yes
Are the conclusions drawn adequately supported by the results?
Partly
Competing Interests: No competing interests were disclosed.
Reviewer Expertise: Institutional Economics
Alongside their report, reviewers assign a status to the article:
| Invited Reviewers | ||
|---|---|---|
| 1 | 2 | |
|
Version 1 22 Dec 25 |
read | read |
Provide sufficient details of any financial or non-financial competing interests to enable users to assess whether your comments might lead a reasonable person to question your impartiality. Consider the following examples, but note that this is not an exhaustive list:
Sign up for content alerts and receive a weekly or monthly email with all newly published articles
Already registered? Sign in
The email address should be the one you originally registered with F1000.
You registered with F1000 via Google, so we cannot reset your password.
To sign in, please click here.
If you still need help with your Google account password, please click here.
You registered with F1000 via Facebook, so we cannot reset your password.
To sign in, please click here.
If you still need help with your Facebook account password, please click here.
If your email address is registered with us, we will email you instructions to reset your password.
If you think you should have received this email but it has not arrived, please check your spam filters and/or contact for further assistance.
Comments on this article Comments (0)