Keywords
Heavy Metals, Vegetables, Flooding, Cadmium, Nickel, Thallium, Arsenic, Lead
Heavy metals such as cadmium, lead, and mercury are ubiquitous in the environment, accumulating in plants, animals, water and human food. Human exposure through the consumption of vegetable crops is a global concern because such metals may be toxic even in trace amounts. There are many factors influencing heavy metal concentrations in vegetables including, soil properties, growing practices and flooding events. This study aimed to investigate heavy metal concentrations in vegetable samples in Hawke’s Bay, New Zealand, one year post Severe Tropical Cyclone Gabrielle, which caused widespread flooding on the 14th of February 2023.
This cross-sectional study included organic and non-organic vegetables and sites impacted and not-impacted by cyclone flooding. In total, 736 vegetable samples were combined to form 153 representative samples collected from 14 markets grown at 10 growing sites. Samples were analysed by ICP-MS in an ISO-17025 accredited laboratory.
Cadmium (p = 0.003) and nickel (p < 0.001) contamination were higher in non-organic vegetables. Growing vegetables on flood-affected land was independently associated with reduced cadmium (p = 0.030) and nickel (p = 0.024) contamination. Three samples exceeded Codex Alimentarius lead permissible levels (0.1 mg kg−1 fresh weight), and one sample exceeded cadmium permissible levels (0.05 mg kg−1 fresh weight in Brassica).
This study suggests that Hawke’s Bay vegetables by global standards, are generally low risk, for heavy metal toxicity and organic vegetables, carry the lowest risk. However, some vegetables do exceed maximum limits for lead and cadmium. We speculate that recent Severe Tropical Cyclone Gabrielle did not increase risk and may have reduced the risk of heavy metal toxicity from vegetable consumption.
Heavy Metals, Vegetables, Flooding, Cadmium, Nickel, Thallium, Arsenic, Lead
Heavy metals are naturally occurring elements with a wide range of useful applications. However, widespread use has led to some of these becoming ubiquitous in the environment, accumulating in plants, animals, water and human food.1 There are growing concerns over the detrimental effects of heavy metals in food as these elements have serious dose-dependent toxicity risks (for reviews, see Refs. 2–4). Heavy metal accumulation in humans can destroy key metabolic processes and produce oxidative stress increasing the risk of chronic disease.5 Vegetables used for food are a particular area of concern because heavy metal concentrations are shown to exceed the joint World Health Organisation (WHO)/UN Food and Agriculture Organisation (FAO) permissible limits6 in several locations worldwide.7,8 Globally, monitoring of heavy metals in vegetable crops is becoming recognised as essential9 because of the potential risk to public health.
In New Zealand, potatoes, onions, radish and leafy green vegetables such as lettuce, silverbeet and spinach (reviewed in,10 watercress11 and edible seaweeds12 have been analysed for heavy metal concentrations. Non-peer reviewed research has also investigated traditional Māori vegetables.13 Cadmium in particular has accumulated in New Zealand agricultural systems, predominantly from the application of phosphate fertiliser to soils.10,11 Consequently, cadmium concentrations exceeding the maximum allowable levels have been observed in spinach samples collected from nine commercial growing areas across New Zealand.14 There is a paucity of research on Thallium in New Zealand vegetables, with a single study finding reportable limits in root or tuber vegetables.15 No New Zealand study to our knowledge has examined a broad range of vegetables, nor has surveyed all available locally grown vegetables in a single location.
Many factors including atmospheric, soil and water conditions as well as fertiliser choice are shown to influence heavy metal concentrations in vegetables.8,16,17 One factor that remains controversial is the effect of organic growing practices. While consumers may commonly believe organically grown vegetables are lower in such elements, the evidence is controversial.18 A study comparing conventional and organic greenhouse vegetable production found greater mercury and lead content in non-organic vegetables but greater cadmium content in organic vegetables.19 A study focusing on tomatoes found lower lead and nickel in organic tomatoes but no differences for cadmium.20 However, an earlier study also focusing on tomatoes found higher cadmium and lead in organic compared with non-organic samples.21 A 2017 study18 concluded that conventionally grown vegetables generally tend to contain higher concentrations of some metals, but results are not conclusive after they noted higher cadmium concentrations in organic parsley when compared with non-organic. A more recent study found a range of significantly higher concentrations of heavy metals including cadmium in non-organic leafy vegetables when compared with organic.17 No study to our knowledge has compared heavy metal concentrations in organic compared with non-organic vegetables in New Zealand.
Severe Tropical Cyclone Gabrielle impacted parts of Vanuatu, Australia and New Zealand in February 2023. Hawke’s Bay is a region on the east coast of North Island of New Zealand known for producing high quality primary products including organic and non-organic fruit and vegetables. The Heretaunga Plains, at the southern end of Hawke’s bay is a strongly alluviated area, on the lower reaches of three significant rivers (Ngaruroro, Tukituki, Tutaekuri). The region experienced widespread cyclone damage and flooding with some areas completely inundated as river stop banks breached. Water infrastructure failures occurred widely across the region.22 Extreme flooding events are known to increase risk of toxic heavy metal exposures, as flooding can transport heavy metals from industrial, mining and waste disposal sites to floodplains in sediments.23 While there are no upstream mining activities in Hawke’s Bay, industrial and waste disposal sites flooded. The Awatoto industrial area in particular caused widespread concerns about the possibility of contamination, compounded by local authorities not following expert advice.24 As many vegetable crops are grown on Hawke’s Bay Heretaunga floodplain, there is a clear need to access the risk to health from heavy metal exposure in local vegetables. This current research aims to determine the levels of heavy metals in the Hawke’s Bay commercially grown vegetable post Cyclone Gabrielle. A secondary aim is to investigate the impacts of flooding and organic growing practices as contributing factors. Our hypothesis is that non-organic vegetables and those grown on flooded land will be associated with higher heavy metal concentrations.
Sample collection for this cross-sectional study was carried out during February 2024. This month was chosen because its one-year post Severe Tropical Cyclone Gabrielle that devastated parts of the local region in February 2023. During the design phase, key stakeholders were approached for permission to collect samples directly from fields. While some stakeholders were supportive, others were not because of the potential for commercial harm. Thus, 736 vegetables were randomly acquired from 14 market gardens grown at ten local growing locations which were then anonymised. Market gardens are small-scale productions of crops which are sold directly to consumers. Only commercially grown, sold in market, locally vegetables were included. We included all market gardens we could identify within a 50 km radius of the cities Napier and Hastings. Four organic market gardens grown at six local growing locations were included. To sell products labelled as organic in New Zealand, sellers must comply with the Fair Trading Act 1986 and the Organic Products and Production Act 2023 which are administered by the government agency, Ministry for Primary Industries.25 In addition, the organic markets were certified by BioGro (three markets) and Asurequality (one market).
All three authors reached consensus on the identification of vegetable genus and species prior to processing. No disagreements occurred; however, we did not engage an independent botanist for verification, nor did we deposit voucher specimens in a public herbarium. Vegetables were washed in fresh running tap water and excess water removed. Only edible parts of vegetables were used for samples. Onions had root and outer skin removed, root vegetables had skin removed. This was done to replicate normal food preparation practices.
736 vegetables were combined to form 153 representative samples (approximately 200 g each). Representative samples are composite samples of one vegetable type. Each representative sample consisted of multiple sub-samples (one single vegetable, such as one carrot) from one market. Thus, each representative sample represents an average of one vegetable species from that market (see Table 1 for representative and sub sample numbers for each vegetable). Similar composite sampling for vegetable heavy metal analysis has been performed previously.26 While this approach masks within-group variability and detection of outliers, it allows a substantially greater sample number to be included in the study. This approach is more likely to reflect the characteristics of the overall population and reduces bias from outliers. 736 vegetables were combined to form 153 representative samples was chosen to maximise the number of vegetables tested within the practical constraints of our funding.
Growing site locations and flooding impact on locations were verified using digital maps. Digital maps of flooding are available from Toitū Te Whenua Land Information New Zealand, the New Zealand government’s lead agency for geographical information and surveying.27 Samples were kept in a freezer at -20°C prior to analysis by an ISO 17025 laboratory.
Heavy metal quantification was made using inductively coupled plasma mass spectrometry (ICP-MS). Representative samples were first weighed to establish their fresh weight (FW). Samples were then dried at 60 °C until a constant weight was obtained. Samples were then ground and then underwent an aqua regia digestion procedure. These solutions were then diluted to 2% HNO3, 1% HCl before ICP-MS analysis. All reported heavy metal concentrations are standardised and expressed on a fresh weight (FW) basis.
To minimise selection bias, vegetables were sampled from 14 market gardens across 10 growing sites, representing all the market gardens available. Flooding status for each site was verified using official digital maps. However, vegetables were not collected directly from the fields. To minimise pre-analytical bias, all samples underwent a standardised washing and preparation protocol. Minimising analytical bias was achieved with all samples being analysed in an ISO 17025 accredited laboratory. Composite sampling reduced the influence of extreme outliers, though our approach may also mask within-group variability. Bias from including values below the limit of detection (LOD), was minimised by using half LOD and confirming results through sensitivity analysis. Our sensitivity analysis restricted to vegetable types present across all four exposure categories (organic vs. non-organic and flooded vs. non-flooded). This truncation reduced the dataset to 37 representative samples comprising three vegetable types: broccoli, cabbage, and lettuce. ANOVA was then repeated for cadmium and nickel concentrations using the same statistical approach as the primary analysis. This allowed evaluation of whether the observed effects persisted when controlling for vegetable type.
For each heavy metal, descriptive statistics were calculated. Mean, standard deviation and median were calculated using two approaches. Firstly, values were calculated by excluding all results below the limit of detection (LOD). Secondly, values were calculated including results below the LOD and recording all such values as half the LOD value. This technique is the most commonly used approach for handling LOD values in environmental datasets.28 Representative sample values were then compared with permissible limits in the Codex Alimentarius CXS 193-1995 standard.6 Representative samples were then compared by genus.
Representative sample values were examined for gaussian distributions using the D’Agostino & Pearson omnibus normality test. Non-gaussian data was then log 10 transformed. Analysis of Variance (ANOVA) was performed with Post hoc Tukey and Partial eta squared effect size, which were classified as trivial (η2 < 0.01), small (η2 = 0.01 to 0.06), moderate (η2 > 0.06 to 0.14), and large (η2 ≥ 0.14).29
The mercury content in all vegetable samples were found below the limit of detection (0.01 mg/kg FW) and were excluded from statistical analysis. For each metal, two sets of descriptive statistics were calculated by including and excluding samples below the LOD ( Table 2).
Four representative samples, three for lead (two Lactuca sativa and one Petroselinum crispum) and one for cadmium (Brassica rapa) exceeded permissible limits.6 The majority of representative samples were below the LOD for lead, arsenic, chromium and thallium. Thus, these metals were excluded from further statistical analysis. Cadmium and nickel results are presented by vegetable genus ( Table 3).
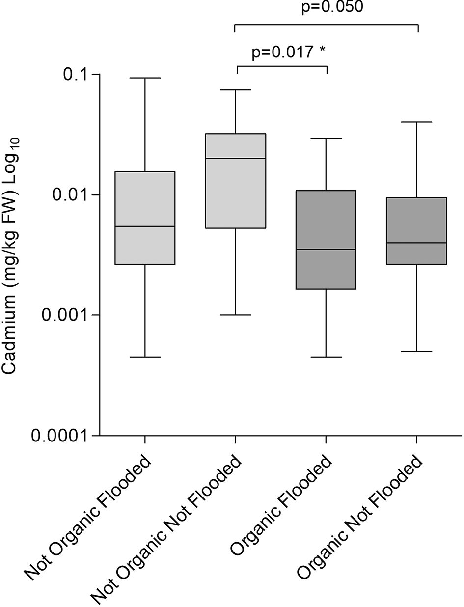
Cadmium values were not gaussian (D’Agostino & Pearson omnibus normality test, K2 = 113.6, p < 0.0001), however log 10 transformed values were gaussian (K2 = 3.448, p = 0.1783). ANOVA revealed significantly lower cadmium levels in vegetables grown organically or vegetables grown on cyclone Gabrielle flood affected land ( Table 4).
| Factors | Sum of Squares | Mean Square | F | p | η2p | (95 % CI) |
|---|---|---|---|---|---|---|
| Organic | 2.504 | 2.504 | 9.198 | 0.003 | 0.058 | (0.007-0.145) |
| Flooded | 1.311 | 1.311 | 4.817 | 0.030 | 0.031 | (0.000-0.104) |
| Organic * Flooded | 0.333 | 0.333 | 1.224 | 0.270 | 0.008 | (0.000-0.059) |
Post hoc Tukey ( Figure 1) demonstrated non-organic non-flood affected vegetables were significantly higher for cadmium compared with organic and flooded categories of vegetables. This was borderline significant for organic not flooded. A separate sensitivity analysis was undertaken comparing the effect of flooding on non-organic vegetables. This revealed lower cadmium (Mann-Whitney U = 332.5, p = 0.030) for vegetables grown on flooded land.

Shows boxplots of cadmium concentrations by organic and flooding status. FW = Fresh weight.
Nickel values were not gaussian (D’Agostino & Pearson omnibus normality test, K2 = 258.1, p < 0.0001), however log 10 transformed values were gaussian (K2 = 2.803, p = 0.2462). ANOVA revealed significantly lower nickel levels in vegetables grown organically or vegetables grown on cyclone Gabrielle flood affected land ( Table 5).
| Factors | Sum of Squares | Mean Square | F | p | η2p | (95 % CI) |
|---|---|---|---|---|---|---|
| Organic | 5.323 | 5.323 | 21.038 | < .001 | 0.124 | (0.042-0.227) |
| Flooded | 1.306 | 1.306 | 5.164 | 0.024 | 0.033 | (0.000-0.108) |
| Organic * Flooded | 1.7 | 1.7 | 6.719 | 0.010 | 0.043 | (0.002-0.123) |
Post hoc Tukey ( Figure 2) demonstrated non-organic non-flood affected vegetables were significantly higher for nickel compared with organic and flooded categories of vegetables.

Shows boxplots of nickel concentrations by organic and flooding status. FW = Fresh weight.
It was not possible to include genus or vegetable nor market or growing site or as factors for either the cadmium or nickel ANOVA due to a lack of data. However, a sensitivity analysis, truncating the data (n=37) to include only vegetables across all four categories of flooding and organic growing resulted in three vegetable types only: Broccoli, cabbage and lettuce. ANOVA for cadmium and nickel resulted in similar findings, though only nickel reached significance ( Table 6).
This study aimed to survey heavy metals in Hawke’s Bay commercially grown vegetables after a severe tropical cyclone. As secondary aims, we also sought to examine flooding and organic growing as factors for contamination. We found that local commercially grown vegetables were relatively low in heavy metal concentrations by global standards, though lead and cadmium levels may warrant further investigation in this region. Our data suggest that organically grown vegetables are lower in cadmium and nickel concentrations. This supports the first part of our hypothesis, that organic vegetables would be associated with lower heavy metal concentrations. However, we cannot confirm our hypothesis that flooding would be associated with higher heavy metal concentrations. Our results lead us to propose that vegetables grown on cyclone flooded land have decreased cadmium and nickel concentrations compared with vegetables grown on non-flooded land. However, this remains speculative and further research will be required to confirm this last finding.
Heavy metal concentrations in local vegetables were found to be generally low in this current study. Results from vegetable samples globally often report substantially greater contamination and many frequently exceeded WHO/FOA permissible limits.7,8 However, our results do highlight that lead concentrations and cadmium can still exceed WHO/FOA permissible limits in this region. Three of our 153 representative samples (2%) exceeded FAO/WHO lead limits and one sample was 6-fold higher than the limit. The evidence for lead toxicity even in low doses is compelling.4 The two highest concentrations of lead (0.61 and 0.37 mg/kg FW) were both in lettuce representative samples. Thus, further research on individual lettuce samples is suggested in the Hawke’s Bay region. Cadmium values were similar to a 2019 New Zealand study for onions, lettuce and spinach.14 It’s noteworthy that the 2019 study included samples from this region alongside other New Zealand locations. That the current results are similar to the previous study is an indication that recent flooding may not have increased risk for cadmium exposure.
While lead and to a lesser extent cadmium may warrant further investigation, our study suggests that Hawke’s Bay vegetables are low in mercury, arsenic and chromium. This is particularly important for mercury and arsenic as these are two chemicals are notable global public health concerns (for review see Mercury30 and arsenic31). These toxic metals are ubiquitous in the environment: In New Zealand, blood mercury has been detected in 93% of children and 99% of adults.32 While New Zealand data on human exposure to arsenic is lacking, millions of people globally are impacted.31 It is well established that arsenic concentrations in vegetables can pose a risk for chronic arsenic poisoning.9 Thus, low levels of these metals in Hawke’s Bay vegetables, particularly mercury and arsenic are reassuring.
Thallium is significantly more toxic than most other heavy metals, a growing global environmental problem, and vegetables are the primary pathway for human exposure (reviewed in Ref. 33). Previously, a New Zealand study found approximately a sixth of sampled foods returned detectable thallium concentrations.15 That study noted New Zealand potatoes samples had greater thallium concentrations than the United Kingdom. However, we did not detect thallium in Hawke’s Bay potatoes, but only in Brassica and Lactuca. While the concentrations are low, because thallium is more toxic compared to other elements, we suggest further research examining thallium in vegetables is warranted. This is compounded by a lack of certainty regarding health-based guidance values (briefly reviewed in Ref. 15), though our highest values are lower than thresholds recently suggested.33
Organic growing practices have a small effect (η2p = 0.058, 95% CI 0.007-0.145) for lower (p = 0.003) cadmium levels and a moderate effect (η2p = 0.124, 95% CI 0.042-0.227) for lower (p < 0.001) nickel levels. Previous research has been controversial in regard to cadmium. Some studies have reported higher cadmium18,19,21 in some organic vegetable species when compared with non-organic. Other studies report no difference for cadmium20 or lower levels17 for organically grow vegetables. Previous research is also inconclusive on nickel for organic and non-organic practices.18,20 The current study suggests lower concentrations for both cadmium and nickel with organic growing. Consumers wishing to minimise heavy metal exposure in Hawke’s Bay can be offered some assurance that buying organic vegetables does carry lower risk.
Severe Tropical Cyclone Gabrielle impacted Hawke’s Bay with widespread water infrastructure failures in February 2023.22 This included widespread inundation of the region’s floodplains on which many vegetable crops are grown. While flooding events are known to increase the transport of heavy metals to floodplains,34,35 the current study suggests that one year after the flooding there is no increased risk from Hawke’s Bay vegetables which were grown on flooded land. Indeed, the flooding had a small effect (η2p = 0.031, 95% CI 0.000-0.104) for lower (p = 0.030) cadmium levels and a small effect (η2p = 0.033, 95% CI 0.000-0.108) for lower (p = 0.024) nickel levels. This leads us to speculate that the recent flooding may have decreased both cadmium and nickel levels. Cadmium has accumulated in New Zealand predominantly from the application of phosphate fertilizer to soils.10,11 Thus, we propose that recent flooding may have transported new sediments less exposed to repeated application of fertiliser than the existing soils, which has reduced heavy metal bioaccumulation in vegetables. This remains a hypothesis and further empirical research would be required to verify this. Nevertheless, consumers can be offered some assurance that the recent cyclone flooding does not appear to have increased the risk of heavy metals in Hawke’s Bay vegetables.
Our study has several limitations. While growing locations and flooding were verified by our use of digital maps we did not collect the vegetable samples from the fields ourselves. Therefore, we cannot provide absolute certainly all our samples were grown where indicated. However, as all vegetable samples were collected from 14 Hawke’s Bay market gardens, a strength of this study is that our data provides robust data on heavy metal concentrations from the region’s markets. One limitation is that our use of representative samples means our heavy metal concentration ranges do not reflect the extremes that a single vegetable might exhibit. This approach masks within-group variability and prevents detection of outliers, potentially underestimating contamination risk. However, this also allowed us to sample a great number of vegetables which is a strength as this approach is more likely to reflect the characteristics of the overall population. Indeed, that representative samples still exceeded limits gives great assurance that Hawke’s Bay vegetables can exceed such limits. A limitation is that we were unable to include genus or individual species as a factor. Cadmium concentration has previously been demonstrated to vary by vegetable species. However, a subsequent sensitivity sub-analysis including species as a factor did show similar results which somewhat alleviates this limitation. Our findings are likely generalisable to commercially grown vegetables in Hawke’s Bay, as sampling included all available market gardens and both organic and non-organic practices. However, caution is needed when extrapolating to other regions or seasons, as soil composition, farming practices, and environmental conditions differ. Composite sampling also limits inference about individual vegetable variability.
In conclusion, Hawke’s Bay commercially grown vegetables are low in mercury, arsenic, cadmium, chromium, nickel and thallium when compared to other global locations. However, cadmium and lead levels in Hawke’s Bay vegetables may occasionally exceed permissible limits. Lead in particular may warrant further investigation as two composite samples exceeded these limits. Organically grown vegetables are lower in cadmium and nickel concentrations when compared to non-organic grown vegetables in this region. The recent extreme flooding is unlikely to have increased risk of heavy mental exposures for eating local vegetables grown on flooded land. We propose that vegetables grown on cyclone flooded land have decreased risk for cadmium and nickel exposures compared with vegetables grown on non-flooded land, though further research is required to confirm this.
This study was reviewed and deemed exempt from ethics approval by the Eastern Institute of Technology ethics committee with the reference number: [ENQ141223], dated [15 December 2023].
All underlying data are available on Zenodo under a Creative Commons Attribution 4.0 International (CC BY 4.0) licence. The main database is deposited at https://doi.org/10.5281/zenodo.15540807.36 The excel file contains grown location, organic growing status, cyclone flooded status, Genus and vegetable type, heavy metal concentrations (Cd, Pb, Hg, As, Ni, Cr and Tl) and log transformed concentrations for CD and N.
We conducted a cross-sectional analysis using the STROBE cross sectional reporting guidelines. This is available on Zenodo under a Creative Commons Attribution 4.0 International (CC BY 4.0) licence. The STROBE checklist is deposited at https://doi.org/10.5281/zenodo.17970356.37
| Views | Downloads | |
|---|---|---|
| F1000Research | - | - |
|
PubMed Central
Data from PMC are received and updated monthly.
|
- | - |
Provide sufficient details of any financial or non-financial competing interests to enable users to assess whether your comments might lead a reasonable person to question your impartiality. Consider the following examples, but note that this is not an exhaustive list:
Sign up for content alerts and receive a weekly or monthly email with all newly published articles
Already registered? Sign in
The email address should be the one you originally registered with F1000.
You registered with F1000 via Google, so we cannot reset your password.
To sign in, please click here.
If you still need help with your Google account password, please click here.
You registered with F1000 via Facebook, so we cannot reset your password.
To sign in, please click here.
If you still need help with your Facebook account password, please click here.
If your email address is registered with us, we will email you instructions to reset your password.
If you think you should have received this email but it has not arrived, please check your spam filters and/or contact for further assistance.
Comments on this article Comments (0)