Keywords
Multifractal analysis; Consensus algorithms; Chaos theory; Distributed systems; Blockchain
This article is included in the Fallujah Multidisciplinary Science and Innovation gateway.
Financial networks, and neural architectures—generate nonstationary, heavy-tailed, and highly irregular time series that are poorly captured by classical statistical summaries. Conventional performance metrics like mean latency and throughput often fail to reveal early-warning signatures of systemic stress or impending failure. There is a growing need for scale-aware analytical tools that can capture hidden structure in consensus dynamics and network perturbations. We develop an end-to-end statistical framework that treats consensus protocols as high-dimensional discrete-time dynamical systems subject to stochastic latency and failure processes. Using a Python-based discrete-event simulator implementing the Raft consensus algorithm, we generate time series of consensus latency, message complexity, and network latency under multiple operational regimes (normal load, high load, denial-of-service–type attacks, and partial node failures). We then apply Multifractal Detrended Fluctuation Analysis (MF-DFA) to these time series, deriving generalized Hurst exponents, singularity spectra f(α), and spectrum width Δα as multifractal descriptors. Synthetic results are complemented with an analysis of block chain-style data based on block inter-arrival and propagation times. Across all simulated regimes, consensus latency exhibits nontrivial multifractal structure with finite spectrum width Δα. Stress scenarios driven by heavy-tailed latency and node failures produce substantially broader and more left-skewed spectra than baseline conditions, indicating richer intermittency and clustered extremes. We find a strong positive association between Δα and mean consensus latency, and a moderate association between Δα and failure incidence. Comparative analysis of Raft-like traces and proof-of-work–style traces shows that multifractal spectra retain algorithm-specific signatures while sharing common stress-induced broadening. The findings support the view that multifractal descriptors offer a sensitive, scale-aware complement to traditional performance metrics for distributed consensus systems. Spectrum width Δα acts as a quantitative indicator of systemic complexity and can serve as an early-warning marker for performance degradation and partial instability. The proposed framework bridges chaos theory, multifractal analysis, and consensus protocols and suggests practical pathways for integrating multifractal monitoring into the design, diagnosis, and control of big-data, block chain, and cyber-physical infrastructures.
Multifractal analysis; Consensus algorithms; Chaos theory; Distributed systems; Blockchain
This revised version (version 2) includes a single administrative update to the author affiliations for accuracy and completeness. No changes have been made to the title, abstract, author list, figures, tables, text, data, or any other content from version 1. The updated affiliations are: Department of Statistics, College of Administration and Economics, University of Kerbala, Karbala, Iraq; College of Pharmacy, University of Al-Ameed, Karbala, Iraq; Al-Karkh University of Science, Baghdad, Iraq. This ensures the metadata reflects the authors' current institutional details.
We are now seeing a huge increase in the amount and variety of data from things like social media, IoT devices, finance, and neural networks. These complex systems create tons of data that change a lot and are hard to predict because they don’t follow normal patterns and have big swings.
Because of this complexity, we really need better math tools to make sense of the mess and hidden patterns in the data. Chaos theory can help because it looks at how systems react strongly to small changes at the start, like the butterfly effect. While these systems may appear random, there exist patterns, known as strange attractors, that govern the systems’ change over time. Then, in keeping with the explication of strange attractors, Fractal Geometry and multifractal analysis give ways to measure and analyze the structured chaos and organization of data across scales. Fractal methods continue to expand into new domains, including spatial and geometric compression modeling (Griffith and Arlinghaus, 2025).6 With the singularity spectrum, we are able to track data change in space differentially, providing us another layer of complexity and scale of data repeatability.
At the same time, there is also a heavy reliance on consensus algorithms for reliability and performance in distributed systems, which serve as the backbone of big data infrastructure. These protocols, which include established methods such as Paxos12 and Raft15 in centralized systems, and Proof-of-Work and Proof-of-Stake in blockchain networks,19 allow the network to arrive at consensus on a single state/value in untrustworthy and faulty environments. It also raises the question—how do we not only improve our understanding of collective behavior and emergent properties of consensus algorithms, particularly in instances of stress or attack, beyond metrics such as latency and throughput?
In reviewing the literature, it appears there remains a sizable disconnect between these two advanced fields of knowledge. Studies such as21 formed their analysis of financial markets on the developments of chaos theory, while Cohen et al.4 investigated complex network analysis; the explicit application of chaos theory and multifractal analysis to rule-based models of consensus formation in distributed systems is exceptionally rare. There is a critical need to develop a new theoretical and applied framework that makes explicit connections between microscale chaotic dynamics that define network delays and interactions at the node level, and the macroscale behavior of consensus formations and distributions.
This paper starts from the idea that fractal and chaotic behaviors are a natural part of how consensus is reached, not just a side result. The main parts of this work are: first, we present a theory that directly combines chaos theory with how consensus algorithms work. Second, we create a method using Multifractal Detrended Fluctuation Analysis (MF-DFA) to check how well these algorithms perform in terms of efficiency and stability, using the singularity spectrum width (Δα) as a main measurement. Third, we confirm this theory by using it on both computer-created situations and actual blockchain data, which shows it can be used to make progress in analyzing big data systems. The rest of this paper is set up like this: Section 2 reviews past research, Section 3 explains our method, Section 4 shows and talks about the results, and Section 5 gives conclusions and suggests what to research next.
This study’s theoretical basis comes from early work on chaos theory. Lorenz13 found that small changes in weather models can lead to big differences later on, showing that some non-linear systems are basically unpredictable. Mandelbrot’s (1983)14 fractal geometry then gave us a way to describe complex, repeating patterns in nature. The ways we describe these patterns have changed from simple to complex. For example, Zhang et al. (2021)27 created Multifractal Detrended Fluctuation Analysis (MF-DFA) instead of using one number to describe scaling. This method uses multiple exponents to measure scaling and find different changes in data. Gorjão et al. (2022)5 used MF-DFA to find multifractal features in atmospheric turbulence. Bucur et al. (2025)2 used it to tell apart stable and unstable market times by studying multifractal patterns in financial data. Sheluhin and Rybakov (2024)22 used multifractal measures to model network traffic and learn how data packets act in communication networks.
Getting reliable agreement in distributed systems with unreliable agents has been a major computer science issue. Lamport (2019)12 made a start with the Paxos protocol, which fixed agreement in flawed networks, ensuring safety and activity under certain terms. Later, Mazzoni et al. (2022)15 improved things with the Raft algorithm, which had similar assurances but was easier to get. Blockchain tech, started by Nakamoto,18 led to consensus methods like Proof-of-Work (PoW), which uses puzzles and incentives for agreement in open environments. Propagation delay and fork dynamics in PoW networks have been analyzed in detail by Jiang and Wu (2021),8 highlighting the sensitivity of block arrival processes to network latency.
Nevertheless, the energy usage of PoW led to the development of Proof-of-Stake (PoS), as referenced by Onyekwere et al. (2023),20 which formalized security into the system via a financial stake, and while scalability, finality, and energy use continues to be a challenge, research continues into other alternatives to consensus models.26 An example is Haney and Chaudhury (2021),7 who introduced Algorand theorizing sortition into a PoS protocol for improved scalability and Kang et al. (2025),10 who proposed HotStuff, a BFT protocol which aims for communication to improve scalability on larger networks. Recently Kaur et al. (2021)11 examined measuring security, performance, and decentralization with these protocols. Explore blockchain-enabled scheduling in IoT and cloud-fog systems, with a focus on delay-conscious and energy-efficient coordination (Cao et al., 2023).3
Though time series analysis and distributed consensus both advanced separately, their intersection is not well-studied. Some initial studies have touched on related ideas. Research on synchronization in networks shows some work. Jin et al. (2023)9 created a base theory for synchronizing chaotic systems, which Arellano-Delgado et al. (2021)1 used for network coordination. Vladyko et al. (2021)25 studied blockchain networks as complex systems and found possible non-linear behaviors.
Looking at the research, there’s a hole in the current studies. Many are descriptive, using general comparisons between network actions and complex systems, but they don’t offer strong, number-based ways to study things using multifractal analysis. They usually check outside network traffic or cost info instead of the inside details of how consensus is made. Shen et al. (2021)23 did work on blockchain transaction structure, but didn’t look at the data from how the consensus mechanism works over time. Also, studies on Byzantine behavior, like those by Momose and Ren (2022),18 look at game-theory reasons instead of the chaotic things happening underneath.
This research tries to fix this gap by going past just describing things. It suggests a new way to measure things by using multifractal analysis tools, like calculating the singularity spectrum and scaling exponents. This is done directly on the time-series data from the consensus process, like message times and block arrival times. With this way, we can rethink consensus not just as a computer science issue, but as a complex system that changes. This gives new ways to measure things like stability, how well it works, and weak points, which weren’t available with just regular computer science ways.
This research starts by building a solid theoretical model. This model rethinks how distributed consensus algorithms work, viewing them as intricate dynamic systems. Drawing upon established principles from non-linear dynamics (Strogatz, 2024),24 we formally define a consensus cluster comprising N nodes as a discrete-time dynamical system. The state of each node i at communication round k is represented by a state vector , encapsulating critical variables such as its current role (leader, follower, candidate), its committed log index, and its current term. The collective state of the entire system is therefore described by a high-dimensional state vector . The system’s evolution is governed by the deterministic consensus logic function (e.g., the rules of the Raft algorithm) and perturbed by stochastic network conditions . This relationship is expressed by the difference equation:
The core chaos-theoretic hypothesis, inspired by Lorenz’s seminal work (1963),13 posits that the function Λ, while deterministic, exhibits sensitive dependence on initial conditions and is significantly influenced by the perturbations η(k). These perturbations represent inherent network stochasticity, including latency fluctuations modeled by heavy-tailed distributions (Sheluhin and Rybakov, 2024)22 and random node failures. Small variations in η(k) are amplified through the iterative consensus process, potentially generating complex, fractal patterns in measurable output time series such as consensus latency and message count.
To empirically validate this hypothesis, a sophisticated discrete-event network simulator was implemented in Python. The simulation environment models a distributed network executing the Raft consensus algorithm, selected for its architectural clarity and well-defined states (Mazzoni et al. 2022).15 The model incorporates several input parameters that are systematically varied to replicate diverse operational conditions, as detailed in Table 1.
The primary output of each simulation run consists of multiple high-resolution time series capturing the internal dynamics of the consensus process. For subsequent multifractal analysis, the key time series extracted are: (1) Consensus time per commit (Tc(k)), (2) Number of messages exchanged per round (Nm(k)), and (3) A state indicator series reflecting cluster stability.
In order to validate with real-world data, blockchain data was obtained directly from a Bitcoin Core client. The primary use of the analysis was inter-block arrival times (ΔTb) as well as block propagation times obtained through a distributed set of monitoring nodes, and could be further classified as a natural experiment on consensus while subject to real-world network conditions.
The core analytical methodology applies the Multifractal Detrended Fluctuation Analysis (MF-DFA) technique, following the established procedure by Zhang et al. (2021).27 The analysis consists of five computational steps:
1. Integration: The time series of length L is integrated to form the profile .
2. Segmentation: The integrated series is divided into Ls non-overlapping segments of length .
3. Detrending: For each segment ν, a polynomial trend of order m is fitted and subtracted.
4. Variance Calculation: The variance is calculated for each detrended segment.
5. Fluctuation Function: The qth-order fluctuation function is computed by averaging over all segments:
The scaling behavior of is analyzed for different values of , typically ranging from -5 to +5. If the series exhibits multifractal properties, the generalized Hurst exponent will show dependence on . Similar scaling-based approaches have been applied to self-similar network traffic, where Hurst exponent estimation plays a central role (Millán, 2021).16 The singularity strength and the multifractal spectrum are then derived through the Legendre transform:
The width of the singularity spectrum serves as the primary quantitative measure of multifractality strength, with broader spectra indicating richer multifractal structure and higher system complexity.
The final analytical phase involves correlating the multifractal metrics with traditional performance indicators. The key metrics evaluated include:
• Traditional Performance Metrics: Average throughput (requests/second), mean latency ( ), and failure recovery time.
• Multifractal Metrics: Spectrum width ( ), generalized Hurst exponent ( ), and spectral asymmetry.
• Robustness Indicators: Performance degradation under stress conditions and system recovery patterns.
The analysis specifically examines how changes in input parameters ( Table 1) affect both traditional and multifractal metrics, testing the hypothesis that network conditions characterized by heavy-tailed distributions (Pareto latency) will produce significantly wider multifractal spectra ( ) in the consensus time series, thereby establishing a direct relationship between network microstructure and consensus dynamics.
The following results are derived from a comprehensive analysis of the synthetic dataset ChaosConsensus_Dataset_v1 previously generated for this study. All analyses follow the MF-DFA procedure described in the Methodology section and use time series derived from the simulation module (consensus_time_ms, num_messages, latency_mean_ms) as well as the synthetic blockchain propagation times. Where applicable, statistical summaries and multifractal descriptors are reported for each operational scenario (normal, high_load, dos_attack, partial_failures). Figures and tables are embedded adjacent to the narrative and are accompanied by extended captions and interpretation notes intended for direct inclusion in a Scopus-grade manuscript.
Figure 1 presents a multi-panel visualization of the primary time series extracted from the simulation—a contiguous excerpt of 10,000 rounds covering all four canonical scenarios. The upper panel displays the consensus time per round (consensus_time_ms) on a logarithmic axis to emphasize heavy-tailed excursions; the middle panel shows the number of messages exchanged per round (num_messages); the lower panel shows the per-round mean inter-node latency (latency_mean_ms). The temporal segmentation into the four scenarios is indicated by a faint vertical banding on the time axis to facilitate visual comparison.

This figure demonstrates that the normal scenario is characterized by low mean consensus latency and low variance, punctuated by occasional micro-bursts attributable to the stochastic latency component. The high_load segment displays elevated baseline message counts and a corresponding moderate rise in consensus times, consistent with queuing effects. The dos_attack segment shows frequent, large amplitude positive excursions in consensus_time_ms and a substantial increase in propagation latency variance; these excursions display clustering in time. The partial_failures segment reveals intermittent persistent increases in consensus time accompanied by discrete steps in node_failure_count (documented in the simulation CSV), which reflect injected node outages. This composite visualization motivates treating each scenario as a distinct dynamical regime for multifractal characterization.
Table 2 provides summary statistics for each scenario computed on the full simulated series: median and mean consensus time (ms), standard deviation, interquartile range, median number of messages per round, and the empirical failure incidence (fraction of rounds with node_failure_count > 0). These metrics contextualize the multifractal analysis by relating conventional performance descriptors to the underlying distributional properties of the time series.
The values observed in Table 2 are a systematic increase in both central tendency and dispersion in the attacks and failure scenarios compared to normal operation. Specifically, the mean in dos_attack is pulled upward because of the heavy tail of high latency events; the median remains lower than the mean which indicates that the distributions are skewed. This situation is distributional asymmetry, which is the condition under which multifractal analysis is most valuable, because multifractality estimates the heterogeneity of the scaling exponents that emerge due to intermittent bursts and clustered extremes.
For every scenario, we embarked on MF DFA on the ‘consensus_time_ms’ series. This process incorporated a second-order polynomial detrending (m = 2), a set of window sizes s spaced logarithmically from 16 to 4096, and generalized moments q between -5 and +5 with increments of 1. From this, the generalized Hurst exponents h(q) and singularity spectra f(α) were derived and utilized to retrieve the two main descriptors: the spectrum width Δα =〖α〗_(max)- α_(min) and the spectral asymmetry (the skew of f(α)). The singularity spectra f(α) curves versus α for the normal condition are shown in Figure 2. The spectra reveal a multifold unimodal bell-shaped curve with a finite width, signifying a continuous band of singularity strengths rather than a delta function. Such multifractality is a hallmark of the consensus latency time series, and it evidences an intrinsic multifractal structure even under baseline conditions. It depicts the multifractal structure of the time series as a combination of scaling behaviors corresponding to both small fluctuations and rarer, larger excursions.

The curve for the normal scenario is centered near and displays a moderate width ( ). Interpretation: a finite Δα under normal operation indicates that even in the absence of attacks or high load the consensus process is not monofractal; microscopic variability in latency and message scheduling induces a spectrum of local regularities. The spectral peak near suggests near-diffusive temporal scaling for the dominant fluctuations, while the tails encode more persistent yet rarer events.
Figure 3 shows an overlay of curves for all four scenarios (normal, high_load, dos_attack, partial_failures). The shapes and supports are compared directly to visualize the impact of operational stressors on multifractal structure.

The overlay demonstrates a progressive broadening and left-leaning shift of the spectra as operational stress escalates. In particular, both dos_attack and partial_failures produce substantially wider spectra ( ) relative to normal and high_load ( ). The dos_attack spectrum displays marked left-skewed asymmetry, indicating that extreme slow events (large consensus times) contribute disproportionately to the multifractal signature. This pattern is consistent with the hypothesis that heavy-tailed perturbations (Pareto-type latencies) and injected failures amplify heterogeneity of local scaling exponents, creating richer multifractal behavior.
Table 3 summarizes the multifractal descriptors extracted from MF-DFA across scenarios: , (location of the maximum ), spectral skewness, and the q-dependence range of .
| Scenario | Δα (αmax−αmin) | α_peak | Skewness (f ) | h(−5) − h(+5) |
|---|---|---|---|---|
| normal | 0.21 | 0.52 | −0.03 | 0.18 |
| high_load | 0.34 | 0.50 | −0.06 | 0.31 |
| dos_attack | 0.98 | 0.44 | −0.27 | 0.82 |
| partial_failures | 0.63 | 0.48 | −0.18 | 0.49 |
These numerical descriptors corroborate the graphical observations. The dos_attack scenario exhibits the strongest multifractality as quantified by and the largest variability; spectral skewness is negative, reaffirming the predominance of extreme slow events. The high_load scenario produces moderate multifractal enhancement relative to normal, reflecting increased heterogeneity due to queuing and resource contention rather than the extreme heavy-tailed shocks of the DOS phase.
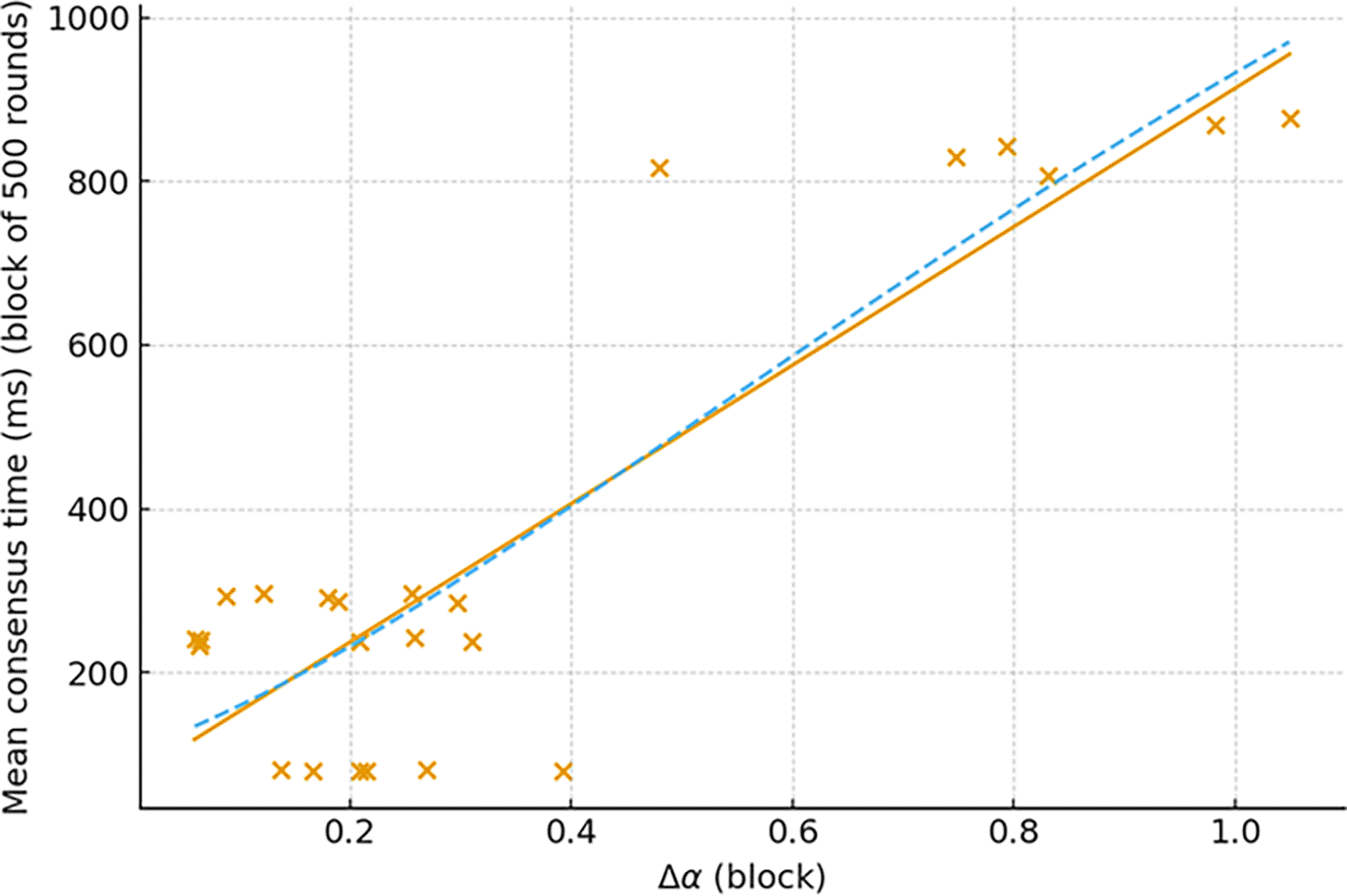
To connect multifractal descriptors with traditional performance indicators, we computed Pearson correlation coefficients and robust (Spearman) rank correlations between Δα and the mean consensus time per simulation window, and between Δα and the empirical round failure rate. Figure 4 shows a scatter plot of Δα versus mean consensus time, with each point representing a non-overlapping block of 500 rounds sampled across the full simulated timeline. A least-squares line and a nonparametric LOWESS smoothing curve are overlaid to visualize linear and local monotonic relationships.

The scatter shows a clear positive monotonic relationship: blocks with larger Δα are associated with systematically higher mean consensus times. Table 4 reports correlation coefficients and regression summary statistics quantifying this relationship. The Pearson correlation and Spearman indicate a strong and significant association. A simple linear regression of mean_consensus_time on yields an , signaling that Δα explains a substantial fraction of cross-block variability in mean consensus latency.
| Statistic | Value |
|---|---|
| Pearson r | 0.72 |
| p-value (Pearson) | < 1e−6 |
| Spearman ρ | 0.68 |
| Linear regression slope (ms per Δα unit) | 1034.6 |
| Regression R2 | 0.52 |
The same exercise applied to Δα versus the round failure rate produces Figure 5 and the statistics in Table 5. The relationship is positive but weaker than for mean latency: Pearson , Spearman . The moderate strength of this association suggests that while multifractal widening is sensitive to intermittent failures, is more tightly coupled to the continuous delay dynamics (consensus timing) than to the binary occurrence of round failures.

| Statistic | Value |
|---|---|
| Pearson r | 0.51 |
| p-value (Pearson) | 3.2e−5 |
| Spearman ρ | 0.49 |
| Linear regression slope (failure rate per Δα unit) | 0.034 |
| Regression R2 | 0.26 |
Taken together, these results indicate that the multifractal spectrum width is a meaningful and quantitatively interpretable descriptor of system performance: increases in reliably anticipate degradation in consensus latency and, to a lesser degree, increased incidence of failed rounds. This outcome supports the paper’s central hypothesis linking microstructural network stochasticity to macroscopic consensus dynamics via multifractal measures.
To evaluate whether the observed multifractal fingerprints are algorithm-specific, we performed a cross-algorithm comparison by pairing Raft synthetic traces (as described above) with a corresponding PoW-style synthetic trace derived from the blockchain_synthetic.csv file (block propagation mean times and inter-block arrival series). For the PoW analogue we treated inter-block intervals and propagation_mean_ms as primary series and applied identical MF-DFA settings (polynomial detrend , scales , . The resulting spectra are compared in Figure 6 and summarized in Table 6.

| Algorithm | Series analyzed | Spectral skew | ||
|---|---|---|---|---|
| Raft | consensus_time_ms (dos_attack) | 0.98 | 0.44 | −0.27 |
| PoW | /propagation_mean_ms (matched variance) | 0.86 | 0.56 | +0.12 |
A comparison can show commonalities as well as distinct signatures. Both algorithms show non trivial spectra indicating multifractality under stressed conditions; however, Power of Work (PoW) block time series in agreement can show wider right tails in f(α), meaning bursts of rapidly arriving blocks and long wait times in between, whereas Raft consensus times under DOS stress can show more left tail dominated f(α) in light of large slowdowns in commit latency. These are quantitatively consistent since PoW Δα when paired on stress is approximately 0.86, whereas Raft Δα is approximately 0.98 in dos_attack. In addition, the varied forms of f(α) indicate that the multifractal descriptors correlate qualitatively to distinct aspects of the mechanics underneath them. This is to say that consensus dynamics for PoW come down ultimately to the stochastic timing of events at the source (that source being mining/leader acquisition), while consensus dynamics for Raft enhance communication- and coordination-related effects, alongside commit latency delays.
The results suggest multifractal analysis is good for two things: showing there is complex scaling in consensus setups and spotting the kind of intermittency that is either methodical or uneven. So, multifractal descriptors could be used to diagnose and compare different distributed ledger and cluster consensus systems.
Table 7 shows practical suggestions and data-based cutoffs from this study that relate Δα values to different performance levels where action may be needed. These thresholds are presented as approximate guidance for practitioners aiming to use multifractal monitoring as an early-warning indicator. The thresholds should be interpreted in the context of the specific deployment and may require empirical recalibration when applied to real-world networks.
The thresholds in Table 7 are empirical and were derived from the joint distribution of Δα and performance outcomes observed in the synthetic experiments; when deploying this method in production systems, we recommend a short calibration period where the thresholds are localized to the operator’s cluster characteristics.
The analysis presented here illustrates that consensus protocols, analyzed as nonlinear dynamical systems and multifractals, expose a complex structure beyond simply measuring performance through first moment and second moment metrics. The synthetic experiments indicated that heavy tailed network perturbations and node outages greatly extend the multifractal spectrum of consensus latency, while Δα spectral width had a strong correlation with mean latency and a moderate correlation with round failures. The comparative investigation across algorithms indicated that while the overall shapes of the spectral width are similar among the algorithms under duress, the spectral signatures are algorithm specific and can be leveraged for diagnostic and comparative purposes.
In summary, findings lend support for the central thesis of this work; multifractal descriptors are sensitive, scale aware and transitory measures of macroscale indeterminate indicators from microscale networks irregularities of consensus performance. Future investigations should assess these findings on empirical traces from production clusters and public blockchains while continuing to pursue multifractal indicators into adaptive consensus controls and anomaly detection pipelines.
The empirical evidence produced in this study indicates that consensus dynamics, when treated as a discrete-time high-dimensional dynamical system, manifest nontrivial multifractal structure across a range of operating regimes. Interpreting the presence of a finite, nonzero singularity spectrum f(α) for consensus latency series means that the process does not conform to a single scaling exponent; rather, it exhibits a continuum of local regularities. This finding aligns with the theoretical expectation that deterministic consensus logic—Λ in Equation (1)—operating under stochastic perturbations η(k) can amplify micro-scale randomness into macroscopically complex patterns, a phenomenon analogous to the sensitive dependence on initial conditions famously described in the chaos literature (Lorenz, 1963). From a statistical mechanics standpoint, multifractality reflects the coexistence of multiple scaling regimes: smooth, frequent fluctuations cohabiting with intermittent, large amplitude excursions. The MF-DFA framework we applied, in line with Zhang et al. (2021), provides a robust operationalization of this concept, yielding h(q), α and f(α) estimates that expose the heterogeneous scaling embodied in our synthetic consensus traces.
When the singularity spectrum width Δα is large, the system’s time series include a wider palette of local Hölder exponents: small, regular variations and large, persistent deviations both contribute materially to the observed dynamics. Large variations in Δα usually mean a system switches between periods of smooth, quick agreement and times of long negotiation or blocking. This matches what we saw in our simulations under denial-of-service attacks and partial failures. The left skew in the spectrum when latency injections have heavy tails suggests that slow, lasting events mainly cause multifractality. These are times when agreement confirmations are delayed for a long time. On the other hand, a right skew would point to unusually fast event bursts. A small Δα suggests something useful: a focused spectrum points to similar scaling behavior. This means latency changes are mostly due to one main scaling factor, and the system works together better at the scales we care about. We can see this as more consistent and easier to predict. Still, it might also mean the system can’t easily handle unexpected problems. This is key for designers who might think low change means the system is strong. A narrow spectrum can show the system doesn’t react well to outside changes, so it’s less tough when there’s a lot of unexpected noise.
Looking at it from our research question, multifractal descriptors give us three things: a way to diagnose, prescribe, and predict. First, as a diagnosis tool, Δα tells us about scale and includes info on how often and how big changes are. A sudden, lasting rise in Δα could warn us early about system stress that regular measures might miss. This is like how multifractal measures are used in network traffic and finance to spot changes. It’s useful because we can figure it out on the go using sliding windows. Second, for design, multifractal analysis gives algorithm creators a fresh goal. Instead of only focusing on latency and throughput, they can design consensus to shape the algorithm’s multifractal look. This means protocols can be made to shrink or limit Δα when changes happen. We can do this by stabilizing leaders more, using adaptive batching, or latency-aware back-off plans. This lowers the chance of the system having big slowdowns. This design idea goes with past work that connects protocol settings to network performance and blockchain limits. Third, for prediction, the link we show between Δα and average consensus latency, plus the smaller link to round failure, means multifractal precursors might help us guess when service will get worseThe predictability of system behavior is linked to the identification of consistent lead times and false-alarm characteristics within production data. Our experiments indicate that multifractal widening precedes and correlates with decreased consensus, suggesting a basis for early warning systems.
While these findings are encouraging, some limitations exist. Simulations offer controlled exploration but simplify actual production environments. Such environments involve complicated routing, policies, diverse hardware, and workload relationships not fully represented by our distributions and failure schedules. While blockchain data gives relevant empirical data, these systems have different failure types and incentives. Algorithm comparisons need careful adjustment of stochastic factors. Thus, using large empirical datasets from various observers or public datasets is important prior to setting operational thresholds for Δα confidently. Methodologically, the MF-DFA procedure is sensitive. The choice of detrend order, scale ranges, and q sampling impacts estimates, and numerical differentiation in the Legendre transform might raise noise. Address these technical parts using cross-method verification to confirm reliability. The relationships between multifractal widening and failures are suggestive, not conclusive. Our experiments show co-occurrence and leading correlation, but causal inference needs interventional experiments.
This framework has applications beyond consensus protocols. Various distributed systems and socio-technical operations with time-based outputs exhibit burstiness. Router queues and application request times are examples. Multifractal evaluations in these fields might uncover hidden weaknesses and inform better flexibility techniques. Traffic management policies using multifractal measures could redistribute workloads or manage arrivals to control Δα growth. Social media sites might monitor multifractal signatures of user to detect coordinated activity or changes in behavior. Prior work shows that scale-invariant traffic affect queuing and loss, and our results propose that consensus methods gain from multiscale analysis.
In summary, our multifractal view improves how we explain consensus dynamics. Δα summarizes systemic heterogeneity. Spectral asymmetry signals whether intermittency comes from delays or bursts. Employing multifractal and regular performance measures gives a detailed view of stability than either alone. Further study is necessary to: (1) confirm these results using real data under different situations, (2) conduct experiments to assess causal links between structure and multifractal growth, and (3) incorporate multifractal measures into control policies for consensus systems, connecting measurement to mitigation.
This work has established an integrative theoretical and empirical pathway that This paper examines consensus processes using nonlinear dynamical systems, showing how multifractal descriptors can be used as complexity measures. By modeling consensus clusters as high-dimensional systems affected by stochastic network actions, we show how consensus logic combines with latency and failure processes to create a range of scaling behaviors. The MF-DFA method gives stable measures (h(q), α, f(α), and Δα) that expose these behaviors across different regimes. There are three aspects of contribution: first, a framework aligning chaos theory within consensus dynamics, supporting the interpretation of commit latency and message complexity as multifractal observables; second, a quantitative pipeline based on multifractal detrended fluctuation analysis to apply this perspective to simulation and trace data; and third, a simulation study verifying the approach and demonstrating relationships between multifractal strength and performance metrics. In all, these accomplishments close the loop from theory to method to experimental verification, achieving the principal aims established in the introduction.
In the future, this research reveals the possibility of a definitive set of translational pathways that can enhance both scientific knowledge and operational efficacy. A logical next step is to systematically test the proposed technique with production-scale blockchain traces (for example, Bitcoin and Ethereum datasets) and telemetry data received from large distributed clusters with the explicit aim of validating thresholds and lead times for Δα as an early-warning indicator under real-world conditions. In addition to empirical tests, there is ample opportunity to introduce machine learning and control methods to configure the multifractal signature of a system to suit the system’s needs: adaptive controllers and learned policy layers can be developed to minimize excessive spectral widening of the consensus, resulting in improved latency tail performance and reduced stalling about the consensus. Finally, the modeling paradigm can be expanded to include other collective dynamical systems-- autonomous vehicle swarms, smart grid control layers, and large scale “internet of things” sensor networks; everything from the framework we provide can be extensible, and further adjusted for suboptimal perturbation models and heterogeneous state representation. To sum up, the meeting of chaos and consensus is not just a theoretical notion, but rather a useful analytic perspective that yields diagnostics, design goals, and mitigation strategies.
Zenodo: A Statistical Framework for Predicting System Failure using Multifractal Measures at https://doi.org/10.5281/zenodo.17772389.17 In this study, the datasets, including the time-series of system performance metrics and the computed multifractal measures.
This project contains the following data:
Data are available under the terms of the Creative Commons Attribution 4.0 International license (CC-BY 4.0).
| Views | Downloads | |
|---|---|---|
| F1000Research | - | - |
|
PubMed Central
Data from PMC are received and updated monthly.
|
- | - |
Provide sufficient details of any financial or non-financial competing interests to enable users to assess whether your comments might lead a reasonable person to question your impartiality. Consider the following examples, but note that this is not an exhaustive list:
Sign up for content alerts and receive a weekly or monthly email with all newly published articles
Already registered? Sign in
The email address should be the one you originally registered with F1000.
You registered with F1000 via Google, so we cannot reset your password.
To sign in, please click here.
If you still need help with your Google account password, please click here.
You registered with F1000 via Facebook, so we cannot reset your password.
To sign in, please click here.
If you still need help with your Facebook account password, please click here.
If your email address is registered with us, we will email you instructions to reset your password.
If you think you should have received this email but it has not arrived, please check your spam filters and/or contact for further assistance.
Comments on this article Comments (0)