Keywords
Polyominoes, Class, Enumeration, Succession-rule, Abacus diagram
This article is included in the Fallujah Multidisciplinary Science and Innovation gateway.
This paper studies a new family of polyominoes. The family is defined through a graphic representation called James diagram, also known as the nested chain abacus. This form is referred to as the Ω-nested Abacus. The proposed class is defined by geometric constraints satisfied by sets of rows, columns, and chains. Through the application of combinatorial approaches and variable generating function, we enumeration of this new class of polyominoes. During the new construction process transformation is formulates which plays a crucial role in the enumerate of a family of classes. To further extend this study generating function for theses class are formulated using an enumeration method known as the Enumeration Combinatorial Object (ECO) technique. ECO method, derived from a smaller one though a series of local expansion. Theses expansion are systematically defined by succession rule which can subsequently be expressed as a functional equation for the generating function.
Polyominoes, Class, Enumeration, Succession-rule, Abacus diagram
Polyominoes are finite configurations composed of unit squares, known as ominoes, that are joined edge to edge to form a connected interior, as illustrated in Figure 1.
An -polyomino (a polyomino consisting of ominoes) is defined up to translation, and the concept is commonly attributed to Golomb.1 In contemporary research, n-polyominoes have attracted significant attention from computer scientists, physicists, mathematicians, and biologists. Despite extensive studies, enumerating n-polyominoes remains a challenging and unresolved problem in combinatorial geometry, representing one of its most fundamental open questions.2–5 There is no closed-form equation for n-polyominoes, and the problem has been solved up to n < 56.3 No closed-form expression for the enumeration of -polyominoes is currently known. Due to the complexity of this problem, several simpler subclasses of -polyominoes have been formulated and extensively examined in the literature.6–8 E.F. provide a new representation of n-polyominoes (Plyominoes with n ominoe) using one of the graphical representations of partition (James-diagram) called nested chain abacus (N.C.A.) with -columns and -rows.9 The Nested Chain Abacus (N.C.A.) offers a novel framework for representing any connected omino, including empty ones (holes), through the use of a beta number. In this new representation, -polyominoes are organised into a series of nested chains.10 A Nested Chain Abacus (N.C.A.) is an -polyomino inscribed within a James diagram, consisting of both outer and inner chains. The inner chains are numbered from 1 to , where is a positive integer, and chain 1 is the innermost chain. No intersections occur among any of the chains. Through this new representation, and for the first time, each n-polyomino has been systematically associated with a unique code. Next Figure 2 illustrates an example of an N.C.A. with six columns, five rows, and three chains.
This section introduced some importuned definitions:
A partition of any integer, , is a sequence of integers such that and .
is a partition of 19
A sequence of positive numbers { called beta number such that and .
James Abacus is a graphical representation of a partition of any integer number using beta numbers.
Consider Example 1, the James Abacus with 1,2,3,4,6,7,10,11 beta position as show in next Figure 3.
Next Figure 4 gives an example of N.C.A. with 3 chains represented of 94, where the beta number sequence is 0,5,6,7,8,9,10,11,14,15,16,19,20,21,24}.

A connected chain is a chain with only beta positions.
Next Figure 5 gives an example of N.C.A. represented by a beta sequence with one connected chain (chain 1).
Let be two beta numbers in N.C.A then are connected iff4
Consider Figure 4; the set of beta {0,5,6,7,8,9,10,11,14,15,16,19,20,21,24} is a connected beta set.
Each nested chain abacus (N.C.A) with columns is called a polyamines if every two beta numbers are connected.
- nested Abacus is a N.C.A with columns and rows satisfy the following condition.
1- chain 1 with only one position
2- Chain number are connected chain where is an odd number.
3- Chain number contains beta position as well as empty beta where is an odd number.
Figure 6 gives an example of - nested Abacus with four chains, where
Not Every polyamines inscribed in a nested chain-abacus is - nested Abacus.
Figure 4 given an example of N.C.A. but not - nested Abacus, while Figure 6 given an example of - nested Abacus.
Single – beta transformation (SPT) is a beta movement in chain is
With rows, columns where is the beta number in column number and row number .
The maximal number of transformations in chain is equal to the number of positions in the chain, where .
Figure 7 illustrates Single – beta transformation (SPT)
Not.
Next, the enumeration of Ω-nested Abacus with b columns and d rows is presented.
Let of Ω-nested Abacus be Abacus with rows and columns, then the number of positions in chain is ( where and is an odd number.
Based on,8 chain 1 consists of one position. To build the second chain, we add a position above, below, to the right, and to the left of chain number 1(consisting of one position), as well as the far right and far left from the top and the far right and left from the bottom of chain number 1. Then the number of positions in chain 2 is equal to . Based on theorem 2.5.11,13 the difference between chain and chain . Thus, the number of positions in chain is ( where .
The number of chains in the Ω-nested Abacus is where b is the number of columns in Ω-nested Abacus.
See Theorem 2.5.21.13
Let be the number of even chains, then the number of Ω-nested Abacus generating by employ MSPT- Transformation is:
Based on Lemma 10, the number of positions in chain n is by Lemma 11 and Definition 8, there are chain with beta and empty beta position in Ω-nested Abacus. The maximal number of transformations in chain is equal to . Since each move generates a new Abacus (polyominoes), thus there are of Ω-nested Abacus generated by employing MSpt transformation. As a result of this, there are Ω--nested Abacus in chain .
Based on theorem 2.5.913 Chain have position then the each beta can be move
so shapes can be construct after application MSPT.
In this section, the method described in11,12 is employed to enumerate the Ω-nested Abacus class, representing polyominoes inscribed within a James diagram. The ECO (Enumerating Combinatorial Objects) method has previously been applied to the enumeration of various polyomino classes.9,10 This approach is based on a succession rule.
It relies on a well-defined notion of size, such that the number of objects of size n is finite for any positive integer n. There exists exactly one object of size 1. A generating tree for any class is an infinite rooted tree whose vertices are the objects of the class, each appearing exactly once in the tree, and such that objects of size are at level . If we give a class of discrete objects and a parameter on , where . Let be an operator which constructs every object from another such that get from exactly one . then, we have a recursive construction of all the elements of ; from this, in turn, we will some of the time deduce a functional equation verified by the creating work of . The development can be represented through a growth tree, where vertices corresponding to objects that share the same measurement with respect to the parameter p are positioned at the same level. The children of a given vertex correspond to the objects derived from it, and each vertex is labeled according to the number of its offspring. This values the richness of the nodes (and of the comparing object). If the names of the children of a hub named (k), as it were, depend on the k, able to speak to the developing stage of the tree by implies of the following (called succession-rule).
Where is the tag of the root and is the tag of the k-th son of a node tagged , a succession-rule can be represented by a generating tree.
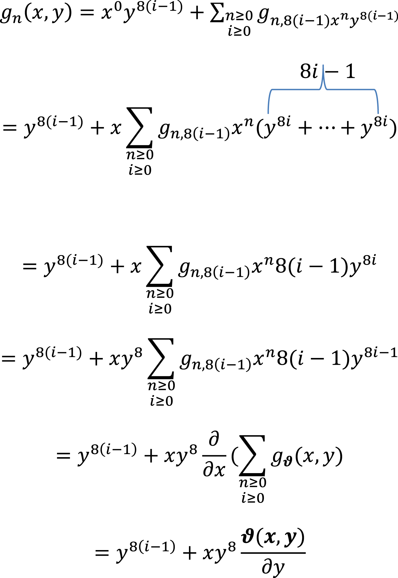
The purpose of this section is to demonstrate how variations in succession rules can influence the structure of the corresponding generating function. Moreover, describe the class of Ω-nested Abacus polyominoes, which are enumerated by factorial numbers with respect to their coordinated height. Furthermore, examine the succession rule that represents the growth pattern of this class as derived using the ECO method. From the succession rule, it produces a sequence, , of positive integers, such that is the number of nodes in level n of the generating tree, and the generating function of the generating tree is denoted by (Bacchelliet al., 2010). In this work, our succession rule will be constructed starting from a single chain (chain with a beta), which will grow step by step by adding Ci beads, where Ci is the number of positions in chain i, as shown in Figure 4.10, which illustrates the number of nested chain abacuses in levels 1 and 2. A label is assigned containing all the essential information necessary to describe how the Ω-nested Abacus class evolves within the generating tree.
Let - nested Abacus be a polyominoes class with columns and rows, where be a number of chains. The initial set began with two chains and a singleton beta ( . The - nested Abacus class can be described, depending on the generating tree, by the overview rule:
Let
In order to define G.F., first we have to find a succession rule, . Which is
Then we must find the function. and when to find the generating function. We can define a sequence of positive integers. , where The number of nodes at the general level (level n). In the succession-rule, (*), all nodes are changed to (8i-8). Then:
This study examines a class of polyominoes known as the Ω-nested Abacus. Initially, we study the characterised of a new class by specific geometric constraints defined by sets of rows, columns, and chains. A series of operations on polyominoes is then introduced using a partition-theoretic construct known as the beta number. Furthermore, a set of operations on polyominoes is developed using a partition-theoretic construct known as the beta number, enabling localised transformations of the objects. Furthermore, A succession rule is formulated based on tree structures that illustrate the developmental patterns of these trees. A recursive method is established for the systematic generation of these objects of a given size through the use of generating trees.
No data availability with this atrial as the study is purely theoretical and does not involve the generating analysis or use of any datasets.
| Views | Downloads | |
|---|---|---|
| F1000Research | - | - |
|
PubMed Central
Data from PMC are received and updated monthly.
|
- | - |
Is the work clearly and accurately presented and does it cite the current literature?
Partly
Is the study design appropriate and is the work technically sound?
Partly
Are sufficient details of methods and analysis provided to allow replication by others?
No
If applicable, is the statistical analysis and its interpretation appropriate?
Not applicable
Are all the source data underlying the results available to ensure full reproducibility?
No source data required
Are the conclusions drawn adequately supported by the results?
No
Competing Interests: No competing interests were disclosed.
Reviewer Expertise: Algebra
Alongside their report, reviewers assign a status to the article:
| Invited Reviewers | |
|---|---|
| 1 | |
|
Version 1 06 Jan 26 |
read |
Provide sufficient details of any financial or non-financial competing interests to enable users to assess whether your comments might lead a reasonable person to question your impartiality. Consider the following examples, but note that this is not an exhaustive list:
Sign up for content alerts and receive a weekly or monthly email with all newly published articles
Already registered? Sign in
The email address should be the one you originally registered with F1000.
You registered with F1000 via Google, so we cannot reset your password.
To sign in, please click here.
If you still need help with your Google account password, please click here.
You registered with F1000 via Facebook, so we cannot reset your password.
To sign in, please click here.
If you still need help with your Facebook account password, please click here.
If your email address is registered with us, we will email you instructions to reset your password.
If you think you should have received this email but it has not arrived, please check your spam filters and/or contact for further assistance.
Comments on this article Comments (0)