ALL Metrics
-
Views
-
Downloads
Get PDF
Get XML
Cite
Export
Track
Research Article

Analysis of the peristaltic flow of a variable viscosity Carreau fluid affected by temperature and concentration through an endoscope hollow flexible channel

[version 1; peer review: 2 approved with reservations, 2 not approved]
PUBLISHED 07 Jan 2026
Author details Author details
OPEN PEER REVIEW
REVIEWER STATUS

This article is included in the Fallujah Multidisciplinary Science and Innovation gateway.

Abstract

Background

Peristaltic or undulating flow plays a significant role in various biomedical and industrial processes, where it provides an efficient mechanism for transporting fluids through flexible conduits such as catheters and endoscopic channels. Understanding such flow behavior is essential for improving medical devices and industrial applications involving non-Newtonian fluids.

Methods

This study investigates the peristaltic motion of a Carreau fluid whose viscosity varies with both temperature and concentration within a flexible, axisymmetric channel composed of two overlapping cylindrical tubes. The outer wall of the channel exhibits a sinusoidal wave pattern, simulating a realistic endoscopic configuration. The governing nonlinear, nonhomogeneous partial differential equations were formulated in cylindrical coordinates under the assumption of a long wavelength and low Reynolds number. The equations were transformed into a dimensionless form and solved using the uniform perturbation method. Graphical analyses were performed using Mathematica software.

Results

The results illustrate the combined effects of temperature-dependent and concentration-dependent viscosity on the velocity distribution and pressure gradient within the channel. Increasing temperature and solute concentration were found to enhance fluid velocity and reduce flow resistance.

Conclusions

The study provides a comprehensive understanding of peristaltic transport in variable-viscosity Carreau fluids under realistic physiological conditions. These findings may contribute to optimizing the design and performance of endoscopic and biomedical fluid transport systems.

Keywords

Viscous Carreau fluid, peristaltic flow, endoscopic hollow flexible channel.

1. Introduction

An unique and crucial mechanism for carrying fluids via flexible tubes, undulating flow has several medicinal and industrial uses. The non-Newtonian fluid model that describes the behavior of increasing viscosity, the Carreau model, is the main focus of this work. Ali and Hayat compared the results for Newtonian and Carreau fluids, and they looked at the pumping characteristics, axial pressure gradient, and trapping mechanisms.7 Using the long wavelength and low Reynolds number assumption, Nadeem and colleagues studied the propagation of peristaltic waves in Carreau fluid down the horizontal side walls of a rectangular duct.10 Ullah et al.12 investigated Carreau fluid peristaltic flow in an elastic tube. Peristaltic flow of Jeffrey fluid inside a flexible tube was studied by Al-Khalidi and Al-Khafajy.6

The most important and consequential property of fluid motion is viscosity. The medical and food industries rely heavily on viscosity, and a number of mathematical models explain how temperature and fluid concentration affect its flow via different channels. Although fluid velocity shows minimal modification with changes in concentration and position within the channel, most research agrees that raising the temperature boosts it.1,11,5,9 Nadeem et al.8 investigated the peristaltic flow of a reactive viscous fluid with viscosity that depends on temperature, while Akram and Akbar2 performed a biological study of Careau nanofluid within an endoscope with changing viscosity. The impact of concentration and temperature on oscillatory flow in an inclined porous channel was investigated by Al-Khafajy and Labban,4 while the impact of concentration and temperature on the peristaltic flow of a Williamson fluid through an endoscopic hollow flexible channel was studied by Al-Delfi and Al-Khafajy.3

Previous studies inspired us to study a mathematical model of the flow of a non-Newtonian, incompressible, and variable-viscosity fluid, which is the Carreau fluid (similar to human blood), through a flexible wave channel with a catheter tube in the middle. This fluid is influenced by changes in temperature and concentration at the channel wall.

2. Mathematical formulation

We study the peristaltic flow of an incompressible Carreau fluid between two cylinders that are in a central location, with an endoscope in the middle of the main channel that has a flexible wall structured like a sine wave. A cylinder's coordinates are specified by the radius of the channel (R) and the tube's axis (Z).

The geometry wall of the flow channel form is

r¯=r1¯(z¯,t¯)=a1r¯=r2¯(z¯,t¯)=a2+bsin(2πγ(z¯ct¯))

Here “the unobstructed radius of the pipe” is represented by a1 , the radius of the disturbed tube is represented by a2 , b is “amplitude of the peristaltic wave”, γ is “a wave length”, c is “a wave propagation speed”, and t¯ is “a time”.

The basic governing equations of the problem system

(1)
.U¯=0(continuity equation)
(2)
ρ(U.¯)U¯=σ´+ρgβ1(TT0)+ρgβ2(0)(momentum equation)
(3)
Tp.ρ(U.¯)T=K.2T.QrQ(TT0)(temperature equation)
(4)
(U.¯¯)=Dn2+DnKTTn2T(concentration equation)

Where 2=1rr(rr) “Laplace operator”, U¯=(U¯1,0,U¯3) is “the velocity field”, ρ is a “density”, σ´ is “the Cauchy stress tensor”, T is “the temperature”, is a concentration of the fluid, Tp is “the specific heat capacity at constant pressure”, Qr is “the radiation heat flux”, Dn is “the coefficient of mass diffusivity”, Tn is “the mean fluid temperature”, KT is “the thermal diffusion ratio”.

The equation of incompressible Carreau fluid with variable viscosity as the distance travelled is given by7

(5)
σ´=P¯I¯+S¯
(6)
S¯=μ(T)[1+(n12)Γ2α̇¯2]α̇¯

Where S¯ is “extra stress tensor”, P¯ "pressure", I¯ “identity tensor”, μ “dynamic viscosity”, Γ “time constant”, n “dimensionless power law index” and α̇ is defined as;

(7)
α̇=12i=13j=13α̇ijα̇ji

The model can be reduced to a Newtonian model n=1orΓ=0 , so we investigate the case for Γ0 . To understand how an elastic wall behaves, the equation L=P¯p¯0 , where L is “an operator”, which is used to represent the motion of stretched membrane with viscosity damping forces such that, see3

L=B4Z¯42Z¯2+m2t¯2+Dt¯+AL

Wall flexural rigidity is denoted by B, longitudinal tension per unit width by , mass per unit area by m, coefficient of viscous damping by D, and spring stiffness by AL .

This is the equation that controls the properties of a flexible wall canal at r¯=r2¯ , is obtained as;

(8)
P¯Z¯=Z¯(B4Z¯42Z¯2+m2t¯2+Dt¯+AL)(r2¯)

3. Solution method

For the sake of accuracy in writing the continuity equation and the momentum equations, in addition to the temperature and concentration equations, we use the velocity components U1¯(R¯,Z¯,t¯) and U3¯(R¯,Z¯,t¯) , which represent the radial and axial velocity components, respectively, in an unsteady two-dimensional flow. The fluid temperature and concentration functions are expressed in terms of T=T(R¯,Z¯,t¯) and =(R¯,Z¯,t¯) , respectively. Now, by substituting the governing equations for the problem (1) - (4), we obtain the following system of nonlinear, nonhomogeneous partial differential equations;

(9)
U1¯R¯+U1¯R¯+U3¯Z¯=0
(10)
ρ(U1¯t¯+U1¯U1¯R¯+U3¯U1¯Z¯)=p¯R¯+1R¯R¯(R¯S¯R¯R¯)+S¯R¯Z¯Z¯
(11)
ρ(U3¯t¯+U1¯U3¯R¯+U3¯U3¯Z¯)=p¯Z¯+1R¯R¯(R¯S¯Z¯R¯)+S¯Z¯Z¯Z¯+ρgβ1(TT0)+ρgβ2(0)
(12)
Tt¯+U1¯TR¯+U3¯TZ¯=TnTpρ(1R¯TR¯+2TR¯2+2TZ¯2)+16σ0T2E3k0Tpρ(1R¯TR¯+2TR¯2)qTpρ(TT0)
(13)
t¯+U1¯R¯+U3¯Z¯=Dn(1R¯R¯+2R¯2+2Z¯2)+DnKTTn(1R¯TR¯+2TR¯2+2TZ¯2)

The component S¯R¯Z¯ of the shear stress is

S¯R¯Z¯=μ(T){1+(n12)Γ2(2[(U1¯R¯)2+(U1¯R¯)2+(U3¯Z¯)2]+[(U1¯Z¯+U3¯R¯)2])}(U1¯Z¯+U3¯R¯)

We use generic and specific frame coordinate transformations as shown below. U1¯=u1¯ , U3¯=u3¯+c , R¯=r¯ , and Z¯=z¯ . Substituting these transformations into a system (9) - (13), we get:

(14)
u1¯r¯+u1¯r¯+(u3¯+c)z¯=0
(15)
ρ(u1¯t¯+u1¯u1¯r¯+(u3¯+c)u1¯z¯)=p¯r¯+1r¯r¯(r¯S¯r¯r¯)+S¯r¯z¯z¯
(16)
ρ((u3¯+c)t¯+u1¯(u3¯+c)r¯+(u3¯+c)(u3¯+c)z¯)=p¯z¯+1r¯r¯(r¯S¯r¯z¯)+S¯z¯z¯z¯+ρgβ1(TT0)+ρgβ2(0)
(17)
Tt¯+u1¯Tr¯+(u3¯+c)Tz¯=TnTpρ(1r¯Tr¯+2Tr¯2+2Tz¯2)+16σ0T2E3k0Tpρ(1r¯Tr¯+2Tr¯2)qTpρ(TT0)
(18)
t¯+u1¯r¯+(u3¯+c)z¯=Dn(1r¯r¯+2r¯2+2z¯2)+DnKTTn(1r¯Tr¯+2Tr¯2+2Tz¯2)

The corresponding boundary conditions of the problem are:

(19)
u1¯=0,u3¯+c=0,T=T0,=1atr¯=r1¯=a1u1¯=0,u3¯+c=0,T=T1,=0atr¯=r2¯=a2+bsin(2πγ(z¯ct¯))}

Where the motion equation with condition of the elastic wall as follows:

(20)
z¯(B4Z¯4C2Z¯2+m2t¯2+Dt¯+AL)(r2¯)=p¯z¯=ρ((u3¯+c)t¯+u1¯(u3¯+c)r¯+(u3¯+c)(u3¯+c)z¯)+1r¯r¯(r¯S¯r¯z¯)+S¯z¯z¯z¯+ρgβ1(TT0)+ρgβ2(0)

To simplify the governing equations of the problem and to show the important parameters that affect the fluid flow, we introduce the following dimensionless transformations:

(21)
u1=u1¯γa2c,u3=u3¯c,r=r¯a2,z=z¯γ,S=a2S¯μvc,p=a22p¯μv,φ=ba2,t=ct¯γ,r2=r2¯a2,r1=r1¯a2,a1a2=ε<1,Ω=qa22μvTp,δ=a2γ,Re=ρca2μv,Pr=μvTpTn,M(H)=μ(T)μv,We=Γca2,α̇=a2α̇¯c,Rn=K0μTp4T2Eσ0,H=TT0T1T0,ξ=010,G1=ρgβ1a22(T0T1)μvs,G2=ρgβ2a22(C1C0)μvs,S1=ρDnKT(T1T0)μvTn(C1C0),S2=μvρDn}

where φ “amplitude ratio”, Re “Reynolds number”, Pr “Prandtl number”, Rn “thermal radiation parameter”, S2 “Schmidt number”, S1 “Soret number”, G1 “thermal Grashof number”, G2 “Solutal Grashof number”, δ “dimensionless wave number”, Ω “heat source/sink parameter”, and We is the Weissenberg number, μv “viscosity constant”.

Substituting Equations (21) into Eqs. (14) - (20), we reformulate the governing equations and accompanying boundary conditions as follows:

(22)
(cγ)(u1r+u1r+u3z)=0
(23)
Reδ3(u1t+u1u1r+(u3+1)u1z)=pr+δ1rr(rSrr)+δ2Srzz
(24)
Reδ(u3t+u1u3r+(u3+1)u3z)=pz+1rr(rSrr)+δSzzz+G2ξ+G1H
(25)
Reδ(Ht+u1Hr+(u3+1)Hz)=1Pr(1rHr+2Hr2+δ22Hz2)+43Rn(1rHr+2Hr2)ΩH
(26)
Reδ(ξt+u1ξr+(u3+1)ξz)=1S2(1rξr+2ξr2+δ22ξz2)+S1(1rHr+2Hr2+δ22Hz2)

The component Srz of the shear stress in dimensionless transformation form is

(27)
Srz=M(H){1+(n12)We2(2δ2[(u1r)2+(u1r)2+(u3z)2]+[(δ2u1z+u3r)2])}(δ2a2u1z+u3r)

The corresponding dimensionless boundary conditions of the problem are

(28)
u1=0,u3=1,H=0,ξ=1atr=r1=εu1=0,u3=1,H=1,ξ=0atr=r2=1+φsin(2π(zt))}
(29)
(e15z5e23z3+e33∂z∂t2+e42∂z∂t+e5∂z)r2=1rr(rSrz)+δSzzzReδ(u3t+u1u3r+(u3+1)u3z)+G2ξ+G1H
where e1=Ba23μvcγ5 is the flexural stiffness of the wall, e2=Ca23μvcγ3 is the longitudinal tension per unit width, e3=mca23μvγ3 is the mass per unit area, e4=Da23μvγ2 is the coefficient of viscid damping, and e4=ALa23μv is spring stiffness, respectively.

It is very difficult to solve the system of Equations (22) - (27) and (29), so we assume a very small wave number ( δ ≪ 1) concerning the width of the channel to its length. Thus, the system becomes in the following form after abbreviating its writing, taking into account the condition of the flexibility of the outer wall of the flow channel:

(30)
(e15z5e23z3+e33∂z∂t2+e42∂z∂t+e5∂z)r2=1rr(rSrz)+G2ξ+G1H
(31)
(1Pr+43Rn)(2Hr2+1rHr)ΩH=0
(32)
1S2(2ξr2+1rξr)+S1(2Hr2+1rHr)=0
with
(33)
Srz=M(μ){1+(n12)We2(u3r)2}(u3r)

4. Solve the problem

This section involves solving the heat and concentration equations, then substituting the result into the velocity equation to solve it.

4.1 Temperature and concentration function

The solution to the equations for heat fluid (31) and concentration fluid (32) based on the boundary condition Equation (28) are respectively:

H=J[0,iAr]B1+Y[0,iAr]B2,ξ=B4+B3log[r]+Σ(1+I[0,Ar2]B1)A+Σ(Y[0,iAr])B2A.

where =Ω(1Pr+43Rn) , Σ=S1S2A , and

B1=Y[0,iAε]/(J[0,iAε]Y[0,iAh]+J[0,iAh]Y[0,iAε]),B2=J[0,iAε]/(J[0,iAε]Y[0,iAh]J[0,iAh]Y[0,iAε]).B3=1A((Log[h]Log[ε])(A+ΣI[0,Ah2]B1ΣI[0,Aε2]B1+ΣY[0,iAh]B2ΣY[0,iAε]B2),B4=1A(Log[h]Log[ε])(ALog[h]ΣLog[h]B1+ΣI[0,Aε2]Log[h]B1+ΣLog[ε]B1ΣI[0,Ah2]Log[ε]B1+ΣY[0,iAε]Log[h]B2ΣY[0,iAh]Log[ε]B2).

4.3 Velocity function

The formula for the velocity equation under the influence of the elasticity of the outer wall of the flow channel, after substituting the shear stress equation in Equation (30), is

(34)
(e15z5e23z3+e33∂z∂t2+e42∂z∂t+e5∂z)r2=G2ξ+G1H+1rr(rM(H){1+(n12)We2(u3r)2}(u3r))

For the variable viscosity M(H) , we use Reynolds’ model of viscosity M(H)=eαH . By using the Maclaurin series, we have M(H)=1αH when α1 , where α is the coefficient of variable viscosity, the viscosity is fixed at α=0 . Thus, the final form of the velocity equation will be

(35)
(e15z5e23z3+e33∂z∂t2+e42∂z∂t+e5∂z)r2=G2ξ+G1H+1rr(r(1αH){1+(n12)We2(u3r)2}(u3r))

Equation (35) is a non-linear and non-homogeneous partial differential equation, which is difficult to find an exact solution for it, so the perturbation method (twice in terms of We parameter first, then in terms of the α parameter) will be used to find the solution to the problem, as follows: First let u3=u30+We2u32+O(We4) , and second u3i=u3i0+αu3i1+O(α2) , for i=0,2 . Therefore, the final form of the velocity function will be u3=(u300+αu301)+We2(u320+αu321) .

We will simplify the order of the equations by equating the similar powers of We and α , respectively.

4.3.1 Zero order system ( We0 )

(e15z5e23z3+e33zt2+e42zt+e5z)r2G2ξG1H=1ru30r1rαHu30r+2u30r2αH2u30r2αHr(u30r)
  • (i) Zero order system ( α0)

(e15z5e23z3+e33zt2+e42zt+e5z)r2G2ξG1H=1ru300r+2u300r2

The associated boundary conditions u300(r1)=u300(r2)=1 .

  • (ii) First order system ( α )

2u301r2+1ru301r=H(1ru300r+2u300r2)Hr(u300r)

The associated boundary conditions u301(r1)=u301(r2)=0 .

4.3.2 Second order system ( We2 )

Ο=1ru31r+1r(n12)(u30r)31rαH(n12)(u30r)31rαHu31r+2u31r2+3(n12)(u30r)2(2u30r2)αH2u31r23αH(n12)(u30r)2(2u30r2)αHr(u31r)αHr(n12)(u30r)3
  • (i) Zero order system ( α0)

2u310r2+1ru310r=1r(n12)(u300r)33(n12)(u300r)2(2u300r2)

The associated boundary conditions u320(r1)=u320(r2)=0 .

  • (ii) First order system ( α )

2u311r2+1ru311r=H(2u310r2+1ru310r)+3(1n2)(1r(u301r)+(2u301r2))(u300r)23(n1)(u300r)(u301r)(2u300r2)+(n12)H(3(2u300r2)(u300r)2+1r(u300r)3)Hr[(n12)(u300r)3+(u301r)]

The associated boundary conditions u321(r1)=u321(r2)=0 .

We obtain very long solutions for the velocity and stream function, known as u3=1rψr , that mean ψ=r((u300+αu301)+We2(u320+αu321))dr . The associated constants can be determined using the associated boundary conditions. Therefore, we will discuss these solutions graphically in the next section.

5. Solution analysis

Through the graphs of the fluid velocity function, we discussed and analysed the effect of changing temperature on the viscosity of a Carreau fluid and thus on its velocity through a hollow flexible channel. The program “MATHEMATICA 14” was used in this analysis. The following values were adopted to plot the fluid velocity function: e1=0.3 , e2=0.7 , e3=0.5 , e4=0.5 , e5=0.2 , Ω=0.5 , G1=2 , G2=1 , S1=0.7 , S2=0.3 , Rn=0.5 , Pr=1.7 , ε=0.2 , φ=0.15 , We=0.2 , α=0.1 , n=0.3 .

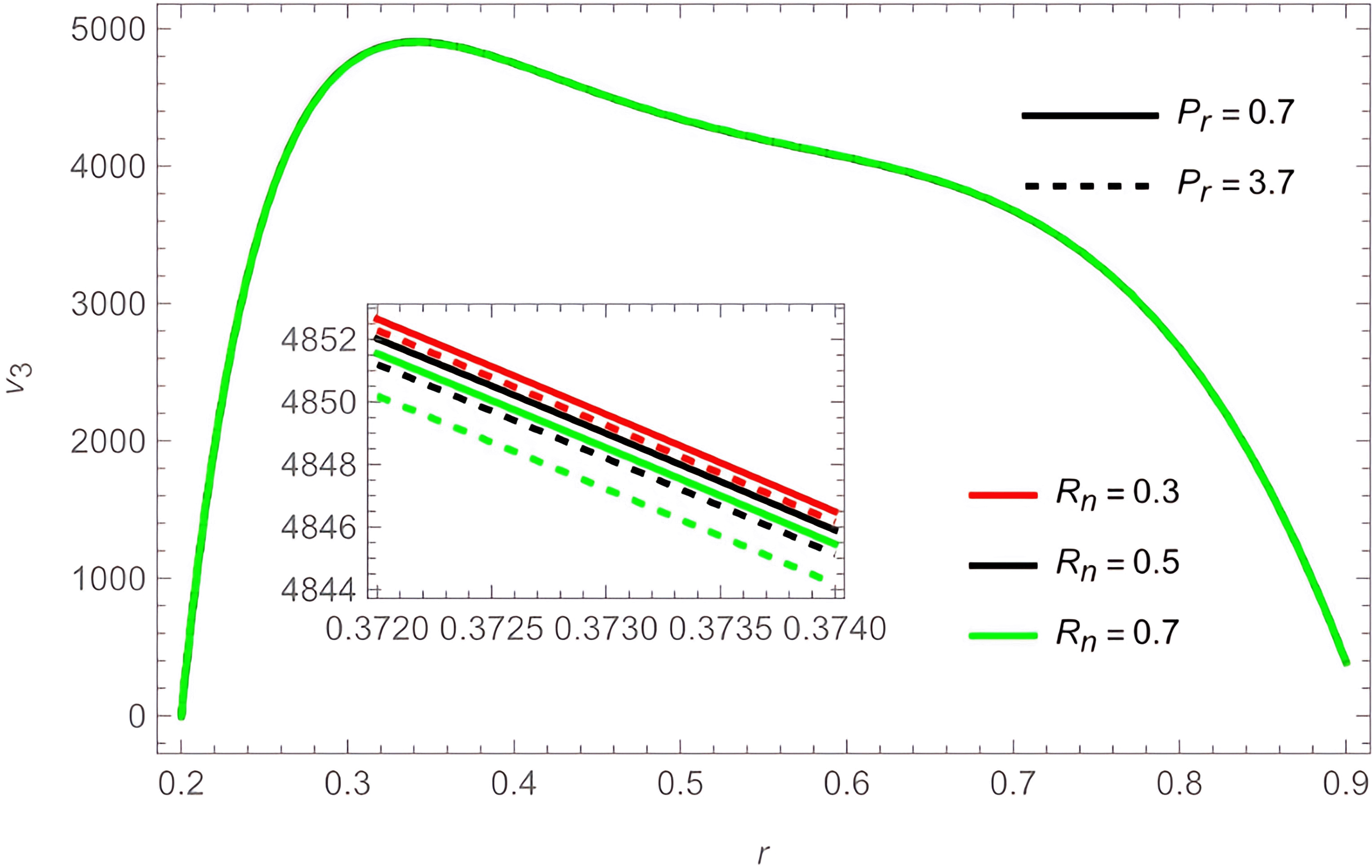
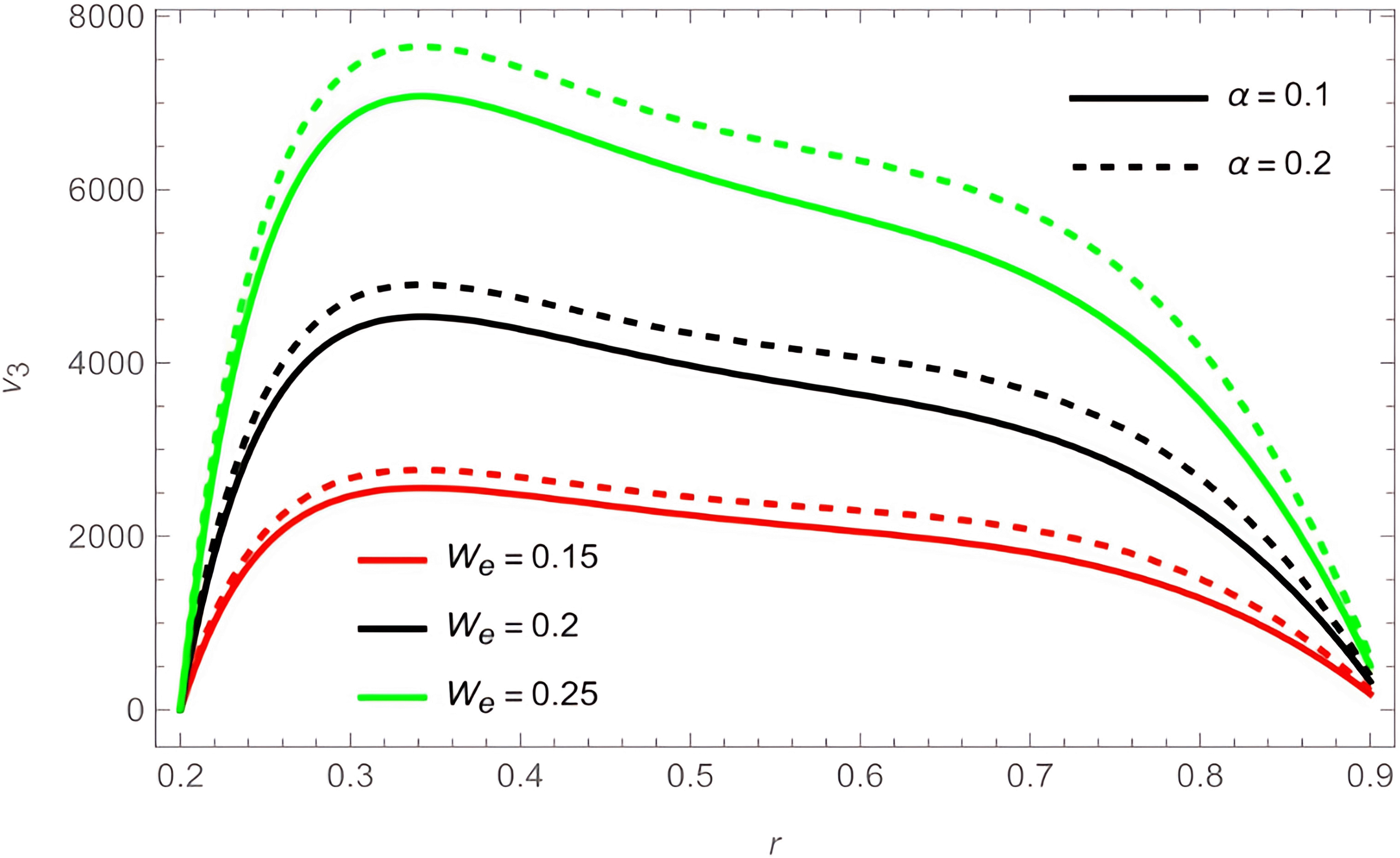
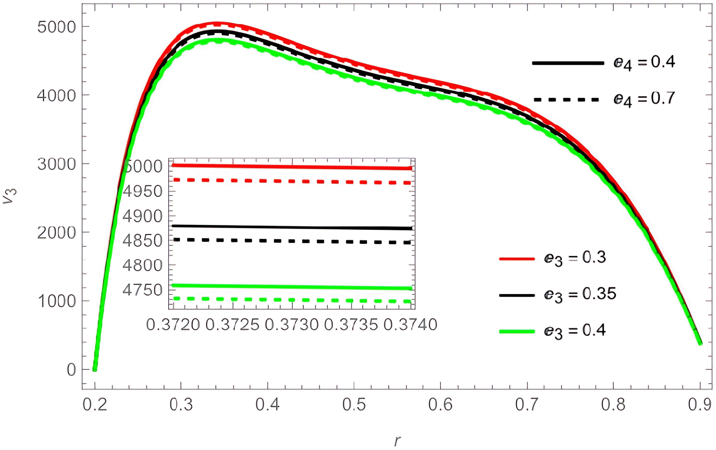
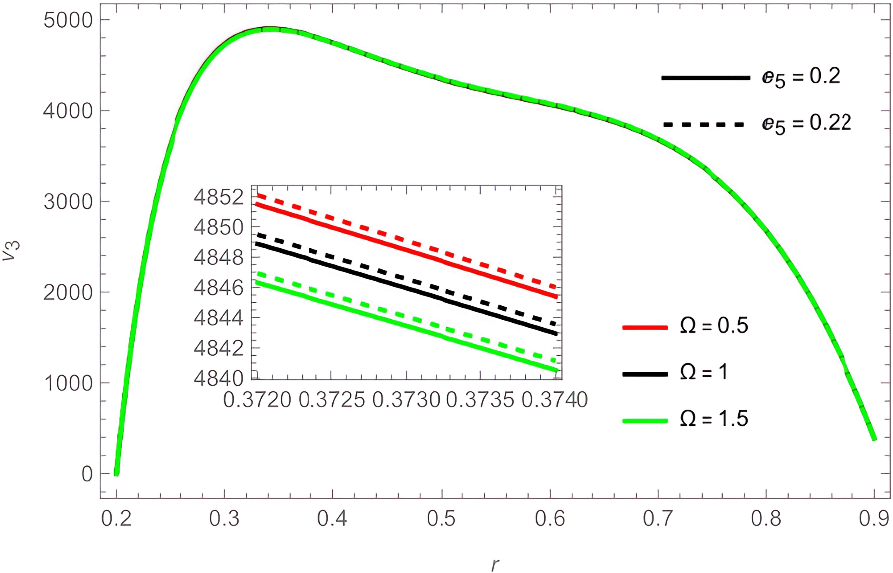
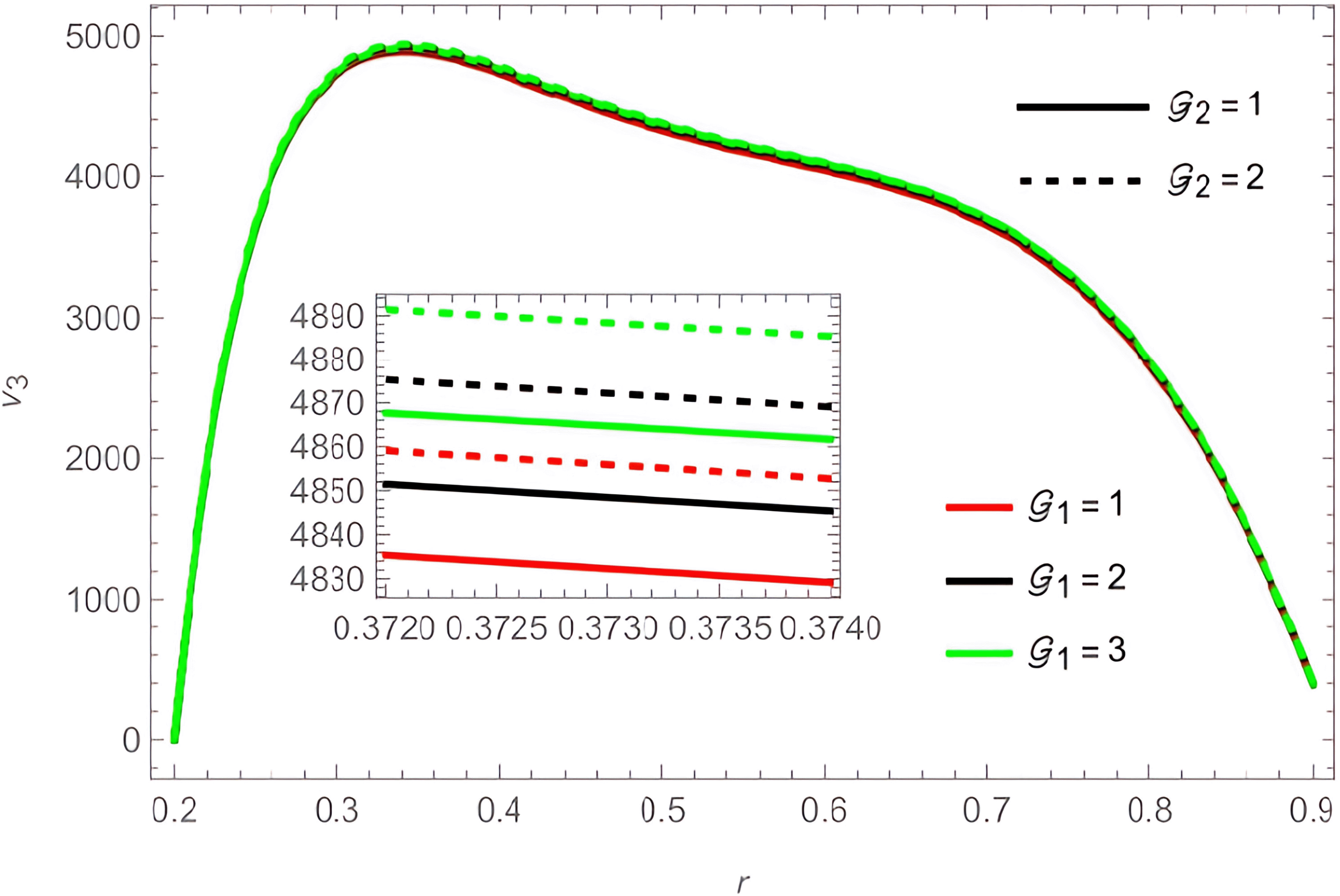
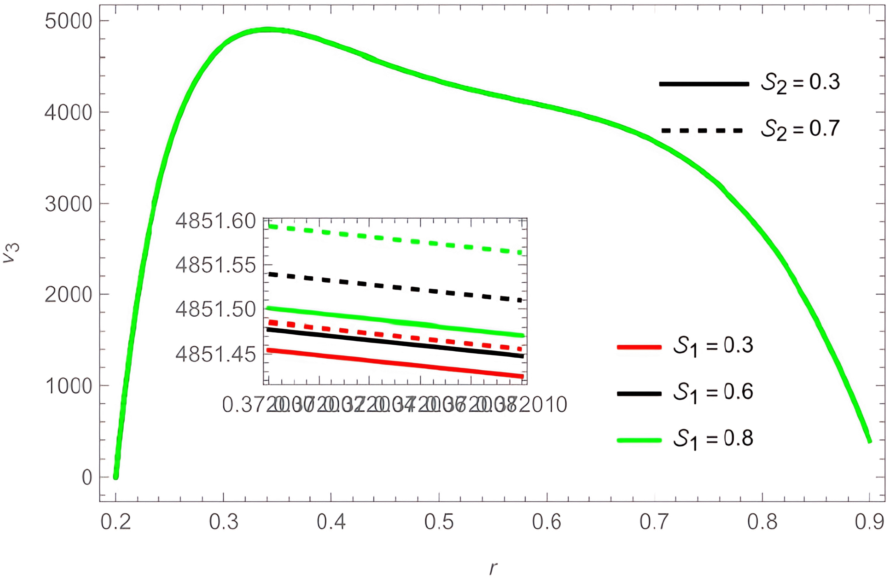
The general shape of the fluid velocity function is a downward-concave curve where the maximum value of the curve is close to the catheter tube around the value of r=0.3 , also the ends of the curve are close to zero at the walls of the channel (the rigid inner and the flexible outer), which matches the boundary condition of the problem. Through Figures 2-9, we discussed the effect of the important parameters affecting the fluid velocity. We began by examining the elasticity parameters of the outer wall of the flow channel, it was observed when increasing the parameters e1 , e2 , and e5 the velocity fluid increases, as indicated by Figure 2 and Figure 4. In contrast, the parameters e3 and e4 harmed the velocity fluid, as shown in Figure 3. The temperature and concentration parameters had a mixed effect on the fluid velocity, with increase in the parameters G1 , G2 , S1 , and S2 the fluid velocity increases, as shown in Figure 5 and Figure 6. In contrast, increasing parameters Ω , Rn , and Pr the fluid velocity decreases, as shown in Figure 4 and Figure 7. We also noticed that the effect of the outer wall wave parameter φ is positive on the fluid velocity, while the catheter tube radius ε hurts the fluid velocity, Figure 8. As for the two perturbation parameters We and α , their effect was clear and positive from Figure 9.

6cde6589-4830-4bf0-a781-19f5867dc904_figure1.gif

Figure 1. The problem ometry.

6cde6589-4830-4bf0-a781-19f5867dc904_figure2.gif

Figure 2. For different values of e1 and e2 .

6cde6589-4830-4bf0-a781-19f5867dc904_figure3.gif

Figure 3. For different values of e3 and e4 .

6cde6589-4830-4bf0-a781-19f5867dc904_figure4.gif

Figure 4. For different values of Ω and e5 .

6cde6589-4830-4bf0-a781-19f5867dc904_figure5.gif

Figure 5. For different values of G1 and G2 .

6cde6589-4830-4bf0-a781-19f5867dc904_figure6.gif

Figure 6. For different values of S1 and S2 .

6cde6589-4830-4bf0-a781-19f5867dc904_figure7.gif

Figure 7. For different values of Rn and Pr .

6cde6589-4830-4bf0-a781-19f5867dc904_figure8.gif

Figure 8. For different values of φ and ε .

6cde6589-4830-4bf0-a781-19f5867dc904_figure9.gif

Figure 9. For different values of We and α .

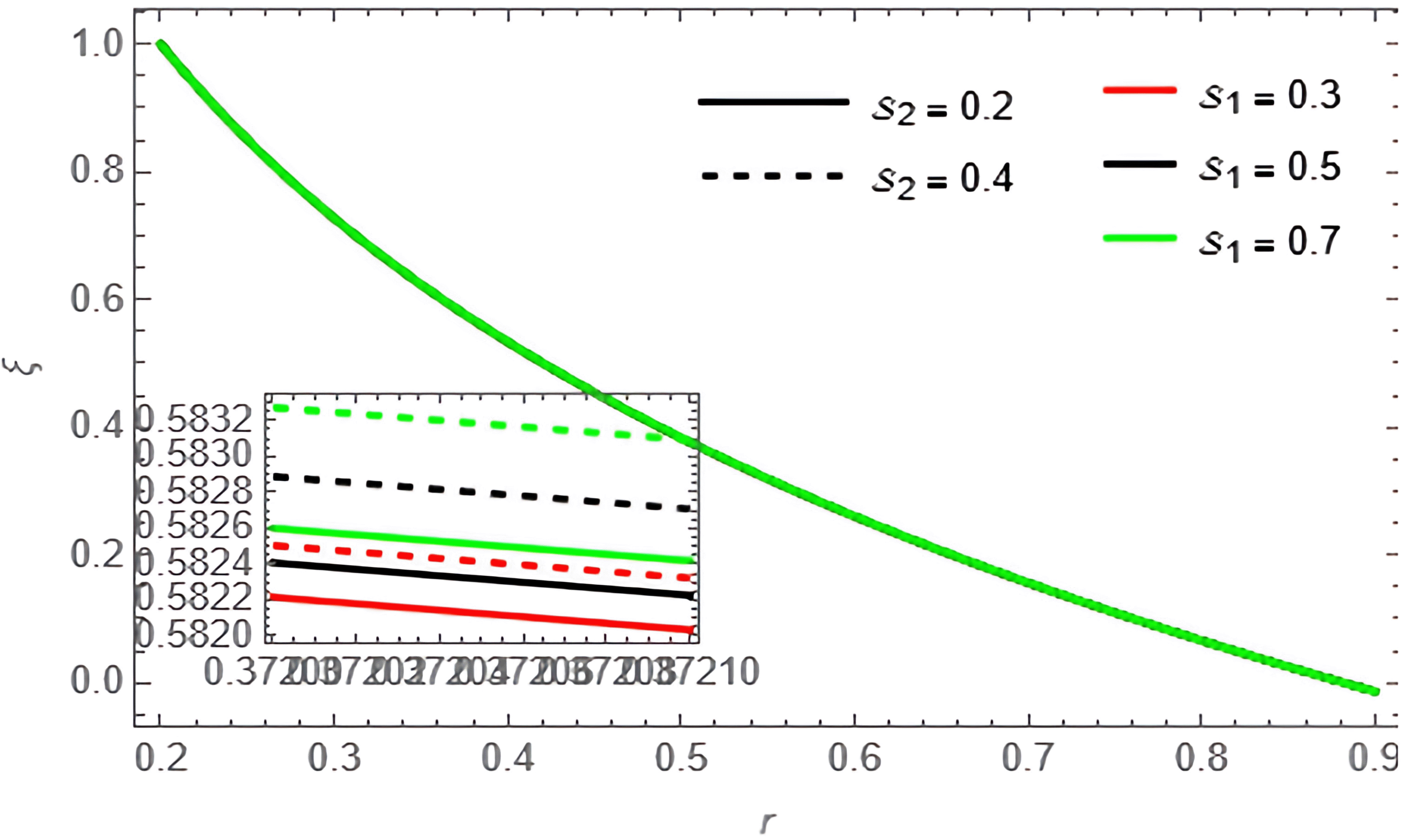
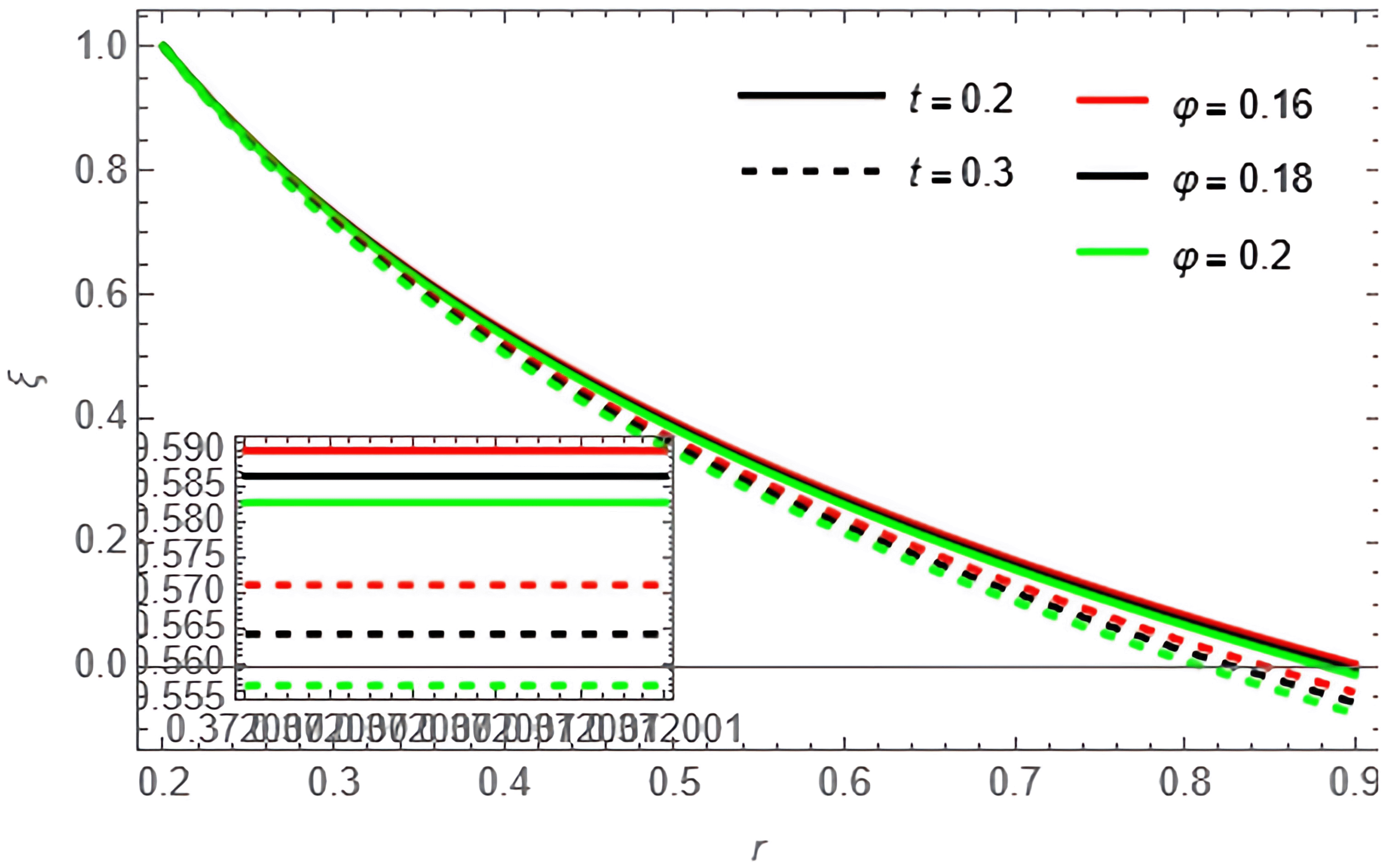
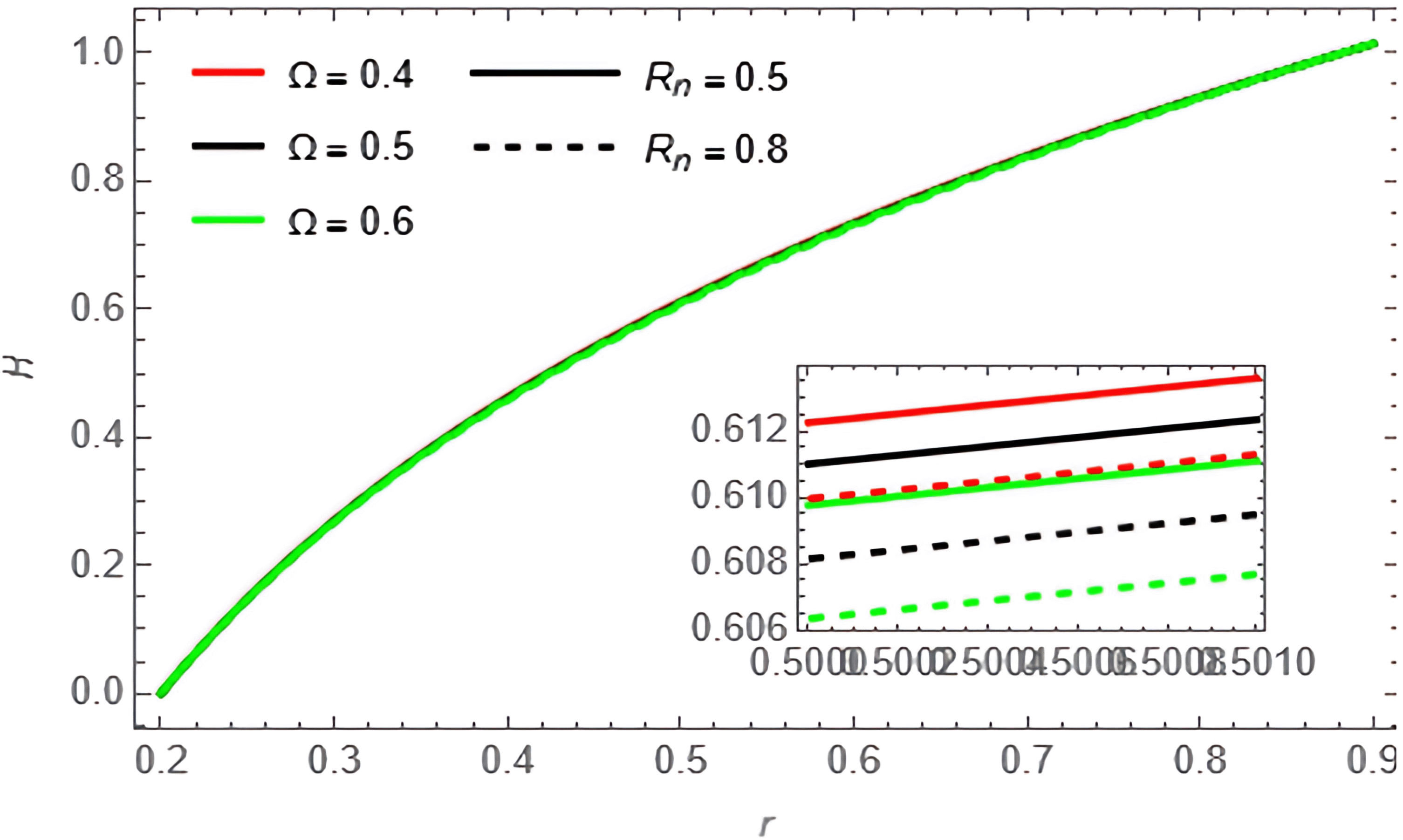
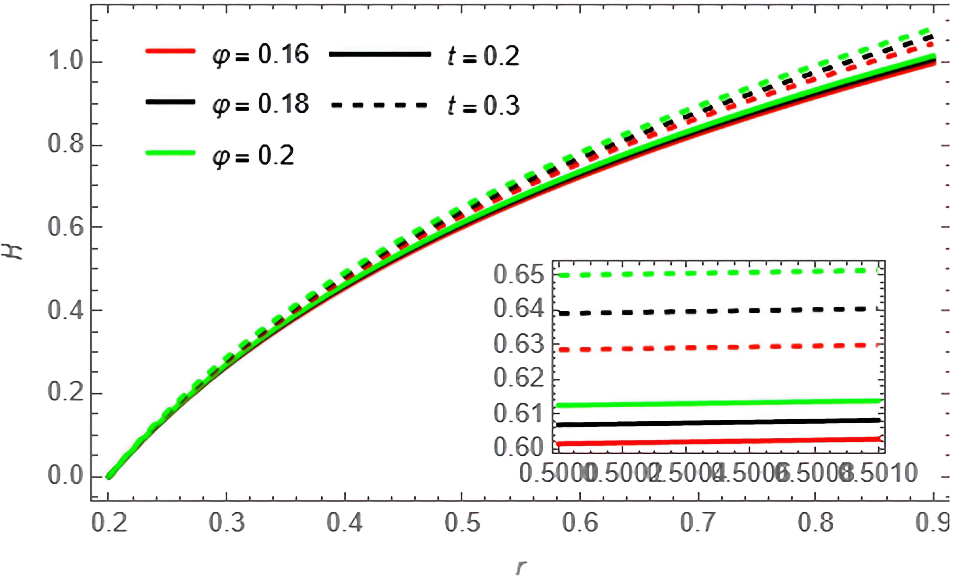
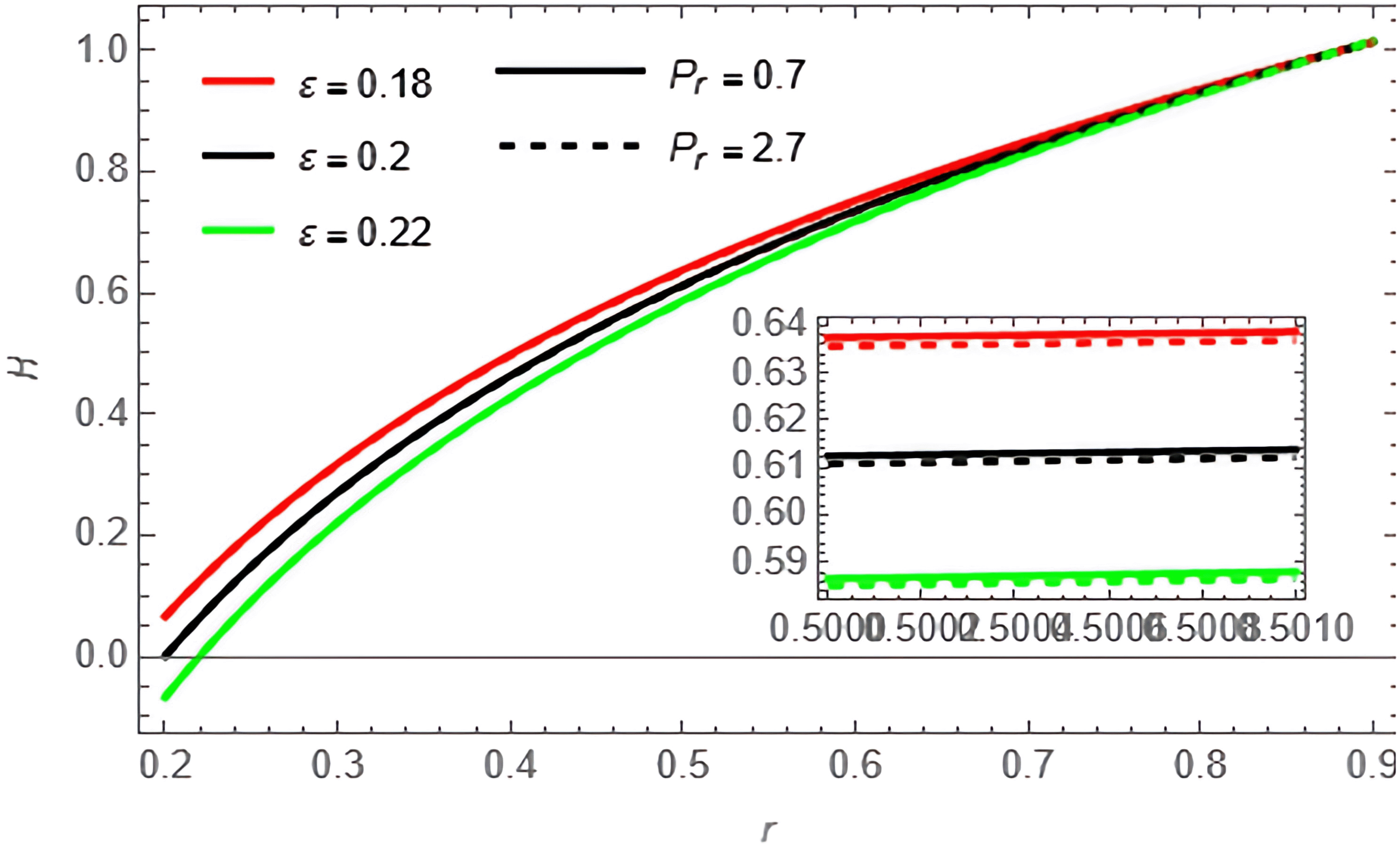
Through the Figures 10-15, we discuss the temperature and concentration degree function consists of upward-curving lines that are nearly concave, starting from a value close to zero at the left end and gradually increasing until approaching one at the right end. We notice in the two Figures 10 and 11 that the temperature of the fluid decreases with increase of the variables ε,Pr,Ω, and Rn , respectively, while the opposite is true in Figure 12, where the temperature of the fluid increases with increasing φ,t . In Figure 13, the concentration of the fluid decreases with the increase of the variables φ,t , respectively, while the opposite is true in Figures 14, and 15 where the concentration of the fluid with increasing, S1,S2,Rn , and Ω.

6cde6589-4830-4bf0-a781-19f5867dc904_figure10.gif

Figure 10. Temperature profile for different values of Pr and ε .

6cde6589-4830-4bf0-a781-19f5867dc904_figure11.gif

Figure 11. Temperature profile for different values of Rn and Ω .

6cde6589-4830-4bf0-a781-19f5867dc904_figure12.gif

Figure 12. Temperature profile for different values of φ and t .

6cde6589-4830-4bf0-a781-19f5867dc904_figure13.gif

Figure 13. Concentration profile for different values of φ and t .

6cde6589-4830-4bf0-a781-19f5867dc904_figure14.gif

Figure 14. Concentration profile for different values of S1 and S2 .

6cde6589-4830-4bf0-a781-19f5867dc904_figure15.gif

Figure 15. Concentration profile for different values of Rn and Ω .

Through the Figures 16-23, we discuss the trapped boluses that arise as a result of the movement of the fluid through the flow channel and thus take the form of bracelets that move in the direction of the fluid movement. We discussed the influence of some important parameters on the boluses and neglected the parameters that did not have a clear effect on them. We observed an increase in the bolus size by increasing the value of e1 and e2 , Figure 16 and Figure 17, respectively. We observed the opposite effect of the parameter e3 on the bolus size as they decreased in size, see Figure 18. While the size of the bolus size expanded with increasing parameters G2 , ε , φ , We , and α , see Figure 19 - Figure 23, respectively.

6cde6589-4830-4bf0-a781-19f5867dc904_figure16.gif

Figure 16. Wave frame streamlines for different values of.

6cde6589-4830-4bf0-a781-19f5867dc904_figure17.gif

Figure 17. Wave frame streamlines for different values of e2=0.6,0.7,0.8 .

6cde6589-4830-4bf0-a781-19f5867dc904_figure18.gif

Figure 18. Wave frame streamlines for different values of e3=0.2,0.3,0.4 .

6cde6589-4830-4bf0-a781-19f5867dc904_figure19.gif

Figure 19. Wave frame streamlines for different values of G2=1,3,5 .

6cde6589-4830-4bf0-a781-19f5867dc904_figure20.gif

Figure 20. Wave frame streamlines for different values of ε=0.125,0.15,0.2 .

6cde6589-4830-4bf0-a781-19f5867dc904_figure21.gif

Figure 21. Wave frame streamlines for different values of φ=0.12,0.14,0.16 .

6cde6589-4830-4bf0-a781-19f5867dc904_figure22.gif

Figure 22. Wave frame streamlines for different values of We=0.15,0.2,0.25 .

6cde6589-4830-4bf0-a781-19f5867dc904_figure23.gif

Figure 23. Wave frame streamlines for different values of α=0.125,0.15,0.2 .

Conclusions and Summary

Here we will go over the main points that affect the flow of an incompressible Carreau fluid via a flexible endoscopic hollow tube. Utilizing the perturbation method in conjunction with the MATHEMATICA-14 program, we ascertained the velocity function. We visually examined all the results that came from changing different relevant settings. The key points may be summarized as follows:

  • 1- There is a positive correlation between the growth of e1,e2,We,φ,e5,α , G1,G2,S1,andS2 while decreases the velocity is due to the increase in parameter e3,e4 , ε,Pr,Rn and Ω .

  • 2- The trapped bolus expands with an increase e1,e2,We,φ,andε, the trapped bolus shrinks increasing the values of α,e3.

  • 3- The following parameters S1 , S1 , Pr , Rn , Ω , G1 , e5 ,ande4 , have no effect on the stream function

Comments on this article Comments (0)

Version 1
VERSION 1 PUBLISHED 07 Jan 2026
Comment
Author details Author details
Competing interests
Grant information
Copyright
Download
 
Export To
metrics
Views Downloads
F1000Research - -
PubMed Central
Data from PMC are received and updated monthly.
- -
Citations
CITE
how to cite this article
Al-Tamimi Skk and Al-Khafajy DGS. Analysis of the peristaltic flow of a variable viscosity Carreau fluid affected by temperature and concentration through an endoscope hollow flexible channel [version 1; peer review: 2 approved with reservations, 2 not approved]. F1000Research 2026, 15:18 (https://doi.org/10.12688/f1000research.172584.1)
NOTE: If applicable, it is important to ensure the information in square brackets after the title is included in all citations of this article.
track
receive updates on this article
Track an article to receive email alerts on any updates to this article.

Open Peer Review

Current Reviewer Status: ?
Key to Reviewer Statuses VIEW
ApprovedThe paper is scientifically sound in its current form and only minor, if any, improvements are suggested
Approved with reservations A number of small changes, sometimes more significant revisions are required to address specific details and improve the papers academic merit.
Not approvedFundamental flaws in the paper seriously undermine the findings and conclusions
Version 1
VERSION 1
PUBLISHED 07 Jan 2026
Views
10
Cite
Reviewer Report 23 Jan 2026
Shekar Marudappa, B. M. S. College of Engineering, Bengaluru, Karnataka, India 
Not Approved
VIEWS 10
The research article titled "Analysis of the peristaltic flow of a variable viscosity Carreau fluid affected by temperature and concentration through an endoscope hollow flexible channel”. In its current form the paper is "not recommended for indexing".

... Continue reading
CITE
CITE
HOW TO CITE THIS REPORT
Marudappa S. Reviewer Report For: Analysis of the peristaltic flow of a variable viscosity Carreau fluid affected by temperature and concentration through an endoscope hollow flexible channel [version 1; peer review: 2 approved with reservations, 2 not approved]. F1000Research 2026, 15:18 (https://doi.org/10.5256/f1000research.190322.r448707)
NOTE: it is important to ensure the information in square brackets after the title is included in all citations of this article.
Views
12
Cite
Reviewer Report 23 Jan 2026
P. Lakshminarayana Lakshminarayana, Vellore Institute of Technology, Vellore, Tamil Nadu, India 
Approved with Reservations
VIEWS 12
This study investigates the peristaltic flow of a variable-viscosity Carreau fluid through a hollow, flexible endoscopic channel under the combined effects of temperature and concentration variations. The analysis highlights the influence of non-Newtonian behaviour on the channel's transport characteristics.
... Continue reading
CITE
CITE
HOW TO CITE THIS REPORT
Lakshminarayana PL. Reviewer Report For: Analysis of the peristaltic flow of a variable viscosity Carreau fluid affected by temperature and concentration through an endoscope hollow flexible channel [version 1; peer review: 2 approved with reservations, 2 not approved]. F1000Research 2026, 15:18 (https://doi.org/10.5256/f1000research.190322.r448710)
NOTE: it is important to ensure the information in square brackets after the title is included in all citations of this article.
Views
15
Cite
Reviewer Report 22 Jan 2026
Anum Tanveer, Mirpur University of Science and Technology (MUST), Mirpur, Pakistan 
Approved with Reservations
VIEWS 15
Review Report
The abstract presents a well-structured and coherent study on the peristaltic flow of a variable-viscosity Carreau fluid in a flexible, axisymmetric channel with biomedical relevance. The background clearly establishes the importance of peristaltic transport in medical ... Continue reading
CITE
CITE
HOW TO CITE THIS REPORT
Tanveer A. Reviewer Report For: Analysis of the peristaltic flow of a variable viscosity Carreau fluid affected by temperature and concentration through an endoscope hollow flexible channel [version 1; peer review: 2 approved with reservations, 2 not approved]. F1000Research 2026, 15:18 (https://doi.org/10.5256/f1000research.190322.r448711)
NOTE: it is important to ensure the information in square brackets after the title is included in all citations of this article.
Views
17
Cite
Reviewer Report 20 Jan 2026
Ahmed Gamal, Menoufia University, Shebin El-Kom, Egypt 
Not Approved
VIEWS 17
 Summary of the Article
The manuscript investigates peristaltic transport of a non-Newtonian fluid under various physical effects using analytical approximations. While the topic itself falls within an active research area, the present study does not demonstrate sufficient originality, methodological ... Continue reading
CITE
CITE
HOW TO CITE THIS REPORT
Gamal A. Reviewer Report For: Analysis of the peristaltic flow of a variable viscosity Carreau fluid affected by temperature and concentration through an endoscope hollow flexible channel [version 1; peer review: 2 approved with reservations, 2 not approved]. F1000Research 2026, 15:18 (https://doi.org/10.5256/f1000research.190322.r448712)
NOTE: it is important to ensure the information in square brackets after the title is included in all citations of this article.

Comments on this article Comments (0)

Version 1
VERSION 1 PUBLISHED 07 Jan 2026
Comment
Alongside their report, reviewers assign a status to the article:
Approved - the paper is scientifically sound in its current form and only minor, if any, improvements are suggested
Approved with reservations - A number of small changes, sometimes more significant revisions are required to address specific details and improve the papers academic merit.
Not approved - fundamental flaws in the paper seriously undermine the findings and conclusions
Sign In
If you've forgotten your password, please enter your email address below and we'll send you instructions on how to reset your password.

The email address should be the one you originally registered with F1000.

Email address not valid, please try again

You registered with F1000 via Google, so we cannot reset your password.

To sign in, please click here.

If you still need help with your Google account password, please click here.

You registered with F1000 via Facebook, so we cannot reset your password.

To sign in, please click here.

If you still need help with your Facebook account password, please click here.

Code not correct, please try again
Email us for further assistance.
Server error, please try again.