ALL Metrics
-
Views
Get PDF
Get XML
Cite
Export
Track
Research Article

The Role of Organizational Capital Agility in Enhancing Organizational Performance: Mediating Effects of Transformational Leadership, Organizational Culture, and HRM Practices

[version 1; peer review: awaiting peer review]
PUBLISHED 09 Feb 2026
Author details Author details
OPEN PEER REVIEW
REVIEWER STATUS AWAITING PEER REVIEW

Abstract

Background

In an increasingly dynamic and competitive business environment, organizations are required to continuously adapt their intangible resources to sustain performance. While prior studies have emphasized the roles of transformational leadership, organizational culture, and human resource management (HRM) practices in enhancing organizational performance, limited attention has been given to the mechanisms through which these resources are transformed into dynamic capabilities.

Methods

This study employed a quantitative research design using survey data collected from 263 managers and supervisors of regional banks in Indonesia. Structural Equation Modeling (SEM) with AMOS was applied to examine the direct and indirect relationships among transformational leadership, organizational culture, HRM practices, organizational capital agility, and organizational performance. Mediation effects were tested using bootstrapping procedures to assess the significance of indirect relationships.

Results

The findings reveal that transformational leadership and organizational culture have significant positive effects on both organizational capital agility and organizational performance. Organizational capital agility was found to strongly influence organizational performance and significantly mediate the relationships between transformational leadership and performance, as well as between organizational culture and performance. In contrast, while HRM practices directly enhance organizational performance, they do not have a significant effect on organizational capital agility, nor is their impact on performance mediated by OCA.

Conclusions

This study highlights Organizational Capital Agility as a key dynamic capability that translates leadership and cultural resources into improved organizational performance. The results extend the Resource-Based View and Dynamic Capability Theory by demonstrating the mediating role of agility in resource transformation processes. Practically, the findings suggest that banking institutions should prioritize the development of transformational leadership and adaptive organizational cultures to foster agility, while aligning HRM practices with broader agility-oriented strategies to sustain performance in turbulent environments.

Keywords

Transformational Leadership; Organizational Culture; Human Resource Management; Organizational Capital Agility; Organizational Performance

1. Introduction

In today’s fast-paced and competitive business environment, organizations are constantly challenged to evolve and adapt in order to remain relevant and thrive. The ability to respond to change, innovate, and enhance organizational performance has become crucial for long-term survival. The nature of competition has shifted from being primarily based on tangible assets, such as financial capital and technology, to one that is more focused on intangible resources—specifically leadership, organizational culture, and human capital. These elements play a vital role in helping organizations align their strategies, adapt to market shifts, and improve overall performance. In this context, the need for understanding how organizations can harness their intangible resources to achieve competitive advantages is critical.

The Resource-Based View (RBV) provides a robust theoretical framework for understanding how organizations build and sustain competitive advantages by developing resources that are valuable, rare, inimitable, and non-substitutable (VRIN) (Barney, 1991; Wernerfelt, 1984). According to RBV, the possession of resources alone does not guarantee success; instead, it is the ability to manage and strategically deploy these resources effectively that drives performance and creates value. Building on this foundation, the Dynamic Capability Theory emphasizes an organization’s ability to integrate, build, and reconfigure its internal capabilities in response to rapidly changing environments (Teece, Pisano, & Shuen, 1997). While RBV stresses the importance of owning valuable resources, dynamic capabilities underline the criticality of continually adapting and transforming these resources to address new challenges and capitalize on emerging opportunities. Together, these theories underscore that organizational success is not just about possessing valuable resources but also about having the ability to leverage and reconfigure them to maintain competitive advantage in dynamic market environments.

Within this theoretical framework, Transformational Leadership (TL) plays a central role in driving organizational change and enhancing performance. Transformational leaders inspire, motivate, and empower employees to transcend their individual self-interests and work towards collective organizational goals (Bass & Riggio, 2006). They do this through vision, trust, and intellectual stimulation, which foster an environment conducive to learning, innovation, and adaptability. Empirical studies consistently show that transformational leadership enhances organizational capabilities, including adaptability, learning, and innovation, all of which are key factors in improving organizational performance (Wang, 2022; McCartney et al., 2024). In organizations that face constant change, such as those in the banking sector, transformational leadership becomes particularly important for facilitating agility and ensuring that the organization can meet the demands of a dynamic business landscape.

Similarly, Organizational Culture (OC), which encompasses the shared values, beliefs, and norms that influence employee behavior (Schein, 2010), plays a significant role in organizational effectiveness. A strong, adaptive organizational culture fosters collaboration, openness, and responsiveness, enabling the organization to align its internal processes with its strategic objectives (Denison, 1996). However, the empirical relationship between OC and organizational performance has yielded inconsistent results (Hilman & Siam, 2014), suggesting that the impact of culture on performance may be contingent upon mediating factors such as organizational agility or leadership. These inconsistencies point to the need for further research to explore how culture contributes to performance and to identify the mechanisms that mediate this relationship.

Moreover, Human Resource Management (HRM) Practices serve as critical enablers of organizational success by aligning employee skills and capabilities with the strategic objectives of the organization. HRM practices such as recruitment, training, performance management, and rewards are designed to optimize human capital, fostering employee engagement, innovation, and collaboration (Armstrong & Taylor, 2014). Prior studies have shown that strategic HRM systems enhance productivity, engagement, and innovation, all of which contribute to organizational performance (Aboramadan et al., 2020; Gultom et al., 2024). In knowledge-driven organizations, particularly those in the service sector such as banking, HRM practices play an essential role in developing and retaining the talent necessary for the organization’s success. By focusing on creating an environment that supports continuous learning and adaptability, HRM practices can enable organizations to better respond to changing market conditions.

Despite the significant contributions of TL, OC, and HRM practices to organizational success, there is still limited understanding of the specific mechanisms that link these factors to performance, particularly in the context of knowledge-driven organizations. While previous studies have examined the individual effects of leadership, culture, and HRM practices on performance, the interaction between these factors and how they collectively contribute to organizational success through dynamic capabilities remains underexplored. To fill this gap, this study introduces Organizational Capital Agility (OCA) as a mediating construct that reflects an organization’s ability to manage and reconfigure its intellectual, social, and structural capital to respond effectively to changes in the business environment (Tallon & Pinsonneault, 2011; Zhang & Zhu, 2021). OCA enables organizations to transform their intangible assets—such as leadership, culture, and human capital—into adaptive capabilities that sustain performance even in the face of environmental uncertainty. By introducing OCA as a dynamic capability, this study provides a more nuanced understanding of how organizations leverage leadership, culture, and HRM practices to maintain competitiveness and enhance performance.

The practical motivation for this research stems from a real-world case study of a regional development bank in Indonesia. While the bank’s financial growth has remained stable, its productivity ratio (profit-to-labor cost) declined from 1.48 in 2022 to 1.05 in 2024. This decline reflects inefficiencies in human capital utilization, signaling a need for stronger transformational leadership, adaptive organizational culture, and more effective HRM systems. The bank’s struggle to maintain high productivity despite stable financial growth highlights the importance of not only having strong leadership and organizational culture but also being able to adapt and respond to changes in the external environment. This situation underscores the importance of Organizational Capital Agility in fostering the type of dynamic capabilities that can enable organizations to optimize their resources and enhance performance.

Given this context, this study aims to examine the effects of Transformational Leadership, Organizational Culture, and Human Resource Management Practices on Organizational Performance, mediated by Organizational Capital Agility (OCA). By doing so, the study extends the Resource-Based View (RBV) and Dynamic Capability Theory by introducing OCA as a dynamic mediator linking leadership, culture, and HRM practices with performance outcomes. Theoretically, this study contributes to the literature by providing a more comprehensive framework that explains how intangible organizational resources are transformed into dynamic capabilities that drive performance.

In terms of practical implications, the findings are expected to offer valuable insights for banking institutions, particularly regional banks in Indonesia, on how to foster agile leadership, adaptive culture, and human capital systems that can enhance organizational performance. The study suggests that organizations should invest in leadership development programs that foster transformational leadership behaviors, promote an organizational culture that supports innovation and adaptability, and implement HRM practices that align employee skills and capabilities with the strategic goals of the organization. By focusing on these key areas, organizations can enhance their Organizational Capital Agility and improve their ability to respond to changes in the business environment, ultimately driving superior performance.

In conclusion, this study contributes to the ongoing discourse on organizational agility by introducing Organizational Capital Agility as a vital mediator that links leadership, culture, and HRM practices to improved organizational performance. As organizations continue to face rapid technological advancements, market disruptions, and increased global competition, understanding how to develop and leverage organizational agility will be critical to sustaining competitive advantage and achieving long-term success. This research provides both theoretical and practical contributions, offering a foundation for future studies that further explore the complex relationships between leadership, culture, HRM practices, and organizational agility in various organizational contexts. Ultimately, the study underscores the need for organizations to cultivate dynamic capabilities that allow them to continuously adapt and thrive in an ever-changing world.

2. Literature review

2.1 Theoretical foundation

2.1.1 Resource-Based View (RBV)

The Resource-Based View (RBV) posits that the foundation of sustainable competitive advantage lies in the possession and strategic utilization of valuable, rare, inimitable, and non-substitutable (VRIN) resources (Barney, 1991; Wernerfelt, 1984). According to RBV, tangible assets such as financial capital and technology alone cannot ensure superior performance; instead, intangible resources such as leadership, culture, and human capital become the true sources of differentiation and sustained success. These resources contribute to value creation when they are properly aligned with organizational strategy and effectively integrated within internal processes (Peteraf, 1993).

RBV further emphasizes that human resources, organizational knowledge, and managerial skills form the basis of strategic advantage when they are unique and embedded within the firm’s routines. In the context of banking institutions, employees’ expertise, organizational culture, and management systems represent strategic resources that can enhance adaptability and efficiency. Thus, RBV provides the theoretical foundation for examining how leadership, culture, and HRM practices act as critical inputs that shape the organization’s capability to achieve high performance through Organizational Capital Agility (OCA).

2.1.2 Dynamic capability theory

Building upon RBV, the Dynamic Capability Theory focuses on an organization’s ability to integrate, build, and reconfigure resources in response to changing environments (Teece, Pisano, & Shuen, 1997). While RBV highlights the possession of valuable resources, dynamic capability underscores the process of renewal and adaptation. According to Teece (2007), dynamic capabilities comprise three core processes: sensing opportunities and threats, seizing them through strategic action, and transforming organizational resources to sustain competitiveness.

In banking contexts characterized by rapid digitalization and market uncertainty, dynamic capability manifests through organizational agility the ability to reconfigure structures, processes, and relationships. OCA thus represents a form of dynamic capability, where intellectual, social, and structural capital are continuously adapted to meet emerging challenges. This theoretical lens supports the mediating role of OCA in linking leadership, culture, and HRM practices to organizational performance.

2.2 Transformational leadership and organizational performance

Transformational Leadership (TL) refers to a leadership approach that inspires followers to transcend personal interests and align with organizational vision and values (Bass & Riggio, 2006). TL is characterized by four dimensions: idealized influence, inspirational motivation, intellectual stimulation, and individualized consideration. These dimensions collectively enhance employee engagement, creativity, and commitment key components of organizational adaptability (Northouse, 2018).

Empirical studies consistently show that transformational leadership positively affects Organizational Performance (OP) by promoting innovation, teamwork, and goal alignment (Wang, 2022; Alessa, 2020). Furthermore, transformational leaders are instrumental in building Organizational Capital Agility (OCA) because they foster trust-based relationships, encourage learning, and create flexible structures that facilitate rapid knowledge sharing (Xu et al., 2022; McCartney et al., 2024; Probojakti et al., 2025).

Thus, leadership becomes not only a behavioral factor but also a strategic resource that transforms human and structural capital into agile organizational capability.

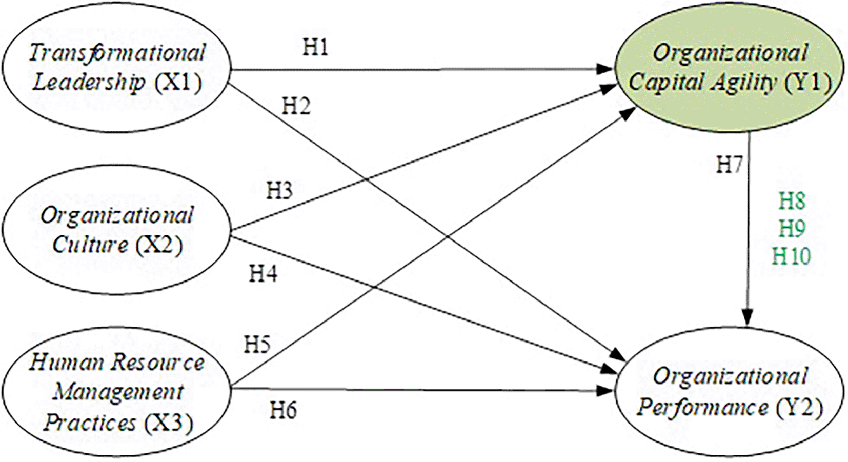
H1:

Transformational Leadership positively affects Organizational Capital Agility.

H2:

Transformational Leadership positively affects Organizational Performance.

2.3 Organizational culture and organizational performance

Organizational Culture (OC) encompasses shared values, norms, and beliefs that influence how individuals interact and make decisions within an organization (Schein, 2010). A strong culture that promotes innovation, openness, and collaboration strengthens employees’ identification with organizational goals and enhances collective performance (Denison, 1996). OC also acts as a social control mechanism that aligns behavior with strategic intent, creating coherence and stability within dynamic environments.

However, empirical findings on the OC–performance relationship remain inconsistent. Some studies find a positive association (Nikpour, 2017; Bhardwaj & Kalia, 2020; Febrina et al., 2021), while others report non-significant results (Hilman & Siam, 2014). These inconsistencies indicate that the effect of culture may be contingent upon contextual and mediating factors such as agility or learning capability.

Recent research (Pham, 2022; Ardebilpour et al., 2024) highlights that an adaptive and participative culture enhances organizational capital agility by encouraging knowledge exchange and responsiveness to change. Hence, culture indirectly contributes to performance by fostering a flexible organizational environment.

H3:

Organizational Culture positively affects Organizational Capital Agility.

H4:

Organizational Culture positively affects Organizational Performance.

2.4 Human resource management practices and organizational performance

Human Resource Management (HRM) Practices represent the policies and activities that attract, develop, and retain talent aligned with organizational goals (Armstrong & Taylor, 2014). HRM functions such as recruitment, training, compensation, and performance appraisal build the competencies necessary for organizational effectiveness. Within the RBV framework, HRM Practices are viewed as mechanisms that transform individual capabilities into collective strategic assets (Huselid, 1995).

Empirical studies affirm that HRM Practices significantly influence both OCA and OP. Strategic HRM systems enhance employee engagement, learning capacity, and collaboration the foundations of agility (Gultom et al., 2024; Asfahani, 2021; Teimouri et al., 2017). Moreover, HRM Practices improve productivity and innovation, directly contributing to higher performance levels (Aboramadan et al., 2020; Mehmood et al., 2017). In dynamic industries such as banking, HRM serves as a crucial enabler that aligns human capital development with agility and performance goals.

H5:

HRM Practices positively affect Organizational Capital Agility.

H6:

HRM Practices positively affect Organizational Performance.

2.5 Organizational capital agility and organizational performance

Organizational Capital Agility (OCA) refers to the dynamic capability of an organization to manage, adapt, and optimize its intellectual, social, and structural capital (Tallon & Pinsonneault, 2011; Zhang & Zhu, 2021; Probojakti et al., 2024). It captures the organization’s ability to rapidly reconfigure knowledge systems, decision structures, and social networks to respond to external changes. OCA bridges static resources and dynamic performance outcomes by integrating learning, innovation, and responsiveness into everyday operations.

Empirical evidence supports the critical role of OCA in enhancing performance. Ghalayini (2017) and Nikpour (2017) found that agility in managing intellectual and social capital improves efficiency, innovation, and adaptability, leading to superior Organizational Performance. In essence, OCA transforms resource potential into realized performance by facilitating quick decision-making, efficient communication, and adaptive structures.

H7:

Organizational Capital Agility positively affects Organizational Performance.

2.6 The mediating role of organizational capital agility

The introduction of OCA as a mediating variable bridges theoretical and empirical gaps in previous studies. While leadership, culture, and HRM practices are established as strategic resources, their impact on performance often depends on the organization’s capability to convert these resources into dynamic actions. OCA operationalizes this conversion process.

Transformational leaders create the cognitive and relational foundation for agility by empowering employees and promoting innovation (Xu et al., 2022). Organizational culture provides the normative environment that facilitates knowledge sharing and collaboration (Pham, 2022). HRM Practices develop the competencies necessary for agile execution (Gultom et al., 2024). Through OCA, these elements collectively enhance performance by integrating structural flexibility with learning responsiveness.

H8:

Organizational Capital Agility mediates the relationship between Transformational Leadership and Organizational Performance.

H9:

Organizational Capital Agility mediates the relationship between Organizational Culture and Organizational Performance.

H10:

Organizational Capital Agility mediates the relationship between HRM Practices and Organizational Performance.

2.7 Conceptual framework

Synthesizing the above theories and empirical findings, the conceptual framework of this study integrates RBV and Dynamic Capability Theory to explain how Transformational Leadership, Organizational Culture, and HRM Practices influence Organizational Performance through Organizational Capital Agility as a mediator. The model suggests that leadership, culture, and HRM act as organizational resources, OCA represents the dynamic capability that enables resource reconfiguration, and performance is the ultimate outcome reflecting competitive sustainability.

3. Research methodology

3.1 Research design

This study adopts a quantitative, explanatory research design aimed at testing causal relationships among variables derived from the theoretical model. The research framework integrates the Resource-Based View (RBV) and Dynamic Capability Theory to examine how Transformational Leadership (TL), Organizational Culture (OC), and Human Resource Management (HRM) Practices affect Organizational Performance (OP), mediated by Organizational Capital Agility (OCA).

Given the study’s objective to empirically validate the proposed conceptual framework, a survey method was employed using a structured questionnaire. The use of a quantitative approach allows for statistical testing of hypotheses and the measurement of direct and indirect (mediating) effects through Structural Equation Modeling (SEM) using AMOS 24.0 software.

3.2 Population and sampling

The population of this study comprises all managers and supervisors of regional bank in Indonesia, including branch managers, deputy managers, and heads of functional units who possess a strategic role in implementing leadership, cultural, and HRM practices within their respective branches. These respondents are considered knowledgeable informants who can represent organizational-level perspectives.

Sampling was conducted using a purposive sampling technique, which ensures that only respondents with relevant managerial responsibilities were included. Based on Hair et al. (2019), the recommended sample size for SEM is 5–10 times the number of observed indicators. With 51 items in this study, a minimum of 263 responses was required. In total, 280 questionnaires were distributed, and 263 valid responses were obtained (response rate = 94%), which meets the threshold for SEM analysis (Ubaidillah et al., 2022; Solimun et al., 2021).

3.3 Variables and measurement

This study operationalizes five latent variables derived from the theoretical framework: Transformational Leadership, Organizational Culture, Human Resource Management Practices, Organizational Capital Agility, and Organizational Performance. All constructs were measured using multi-item scales adapted from well-established studies to ensure content validity and theoretical consistency. The measurement items were contextualized to reflect the characteristics of the banking industry in Indonesia while preserving their original conceptual meaning.

All indicators were assessed using a five-point Likert scale, ranging from 1 (“strongly disagree”) to 5 (“strongly agree”). Higher scores indicate stronger agreement with the statements representing each construct.

3.3.1 Transformational leadership

Transformational Leadership reflects a leader’s ability to inspire, motivate, and intellectually stimulate subordinates to achieve organizational goals beyond personal interests. This construct was measured using 12 items adapted from Bass & Riggio (2006), encompassing four core dimensions: idealized influence, inspirational motivation, intellectual stimulation, and individualized consideration.

Sample items include statements related to leaders articulating a clear vision, encouraging innovative thinking, providing individualized support, and acting as role models. Transformational leadership is conceptualized as a strategic organizational resource that shapes employee behavior and fosters adaptability and learning, consistent with the Resource-Based View.

3.3.2 Organizational culture

Organizational Culture represents the shared values, beliefs, and norms that guide behavior and decision-making within the organization. This construct was measured using 10 items adapted from Denison (1996) and Schein (2010), focusing on dimensions such as adaptability, consistency, involvement, and mission clarity.

Sample indicators capture employees’ perceptions of openness to change, collaboration, shared values, and alignment between individual actions and organizational goals. Organizational culture is treated as an intangible organizational asset that influences how effectively resources are coordinated and mobilized to support strategic objectives.

3.3.3 Human Resource Management (HRM) practices

HRM Practices refer to the formal systems and policies used to attract, develop, motivate, and retain employees. This construct was measured using 9 items adapted from Huselid (1995) and Armstrong and Taylor (2014), covering key HR functions such as recruitment and selection, training and development, performance appraisal, and reward systems.

Sample items reflect the extent to which the organization provides continuous training, applies fair performance evaluation, and aligns compensation with performance. Within the RBV perspective, HRM Practices are viewed as mechanisms that transform individual competencies into collective organizational capabilities.

3.3.4 Organizational capital agility

Organizational Capital Agility captures the organization’s dynamic capability to manage and reconfigure its intellectual, social, and structural capital in response to environmental changes. This construct was measured using 8 items adapted from Tallon and Pinsonneault (2011) and Zhang and Zhu (2021).

Indicators assess the organization’s flexibility in knowledge sharing, decision-making speed, cross-unit collaboration, and structural responsiveness. OCA is conceptualized as a higher-order dynamic capability that enables the conversion of leadership, culture, and HRM resources into adaptive actions that support performance sustainability.

3.3.5 Organizational performance

Organizational Performance refers to the extent to which the organization achieves its strategic objectives effectively and efficiently. This construct was measured using 6 items adapted from Venkatraman and Ramanujam (1986) and Kaplan and Norton (1996), capturing both financial and non-financial dimensions of performance.

Indicators include perceived improvements in productivity, service quality, operational efficiency, customer satisfaction, and overall organizational effectiveness. Performance is assessed subjectively at the organizational level, which is considered appropriate for capturing multidimensional outcomes in managerial research.

3.4 Validity and reliability considerations

All measurement items were subjected to Confirmatory Factor Analysis (CFA) to evaluate convergent and discriminant validity. Indicators with standardized factor loadings greater than 0.70 were retained. Construct reliability was assessed using Composite Reliability (CR), with values exceeding the recommended threshold of 0.70. Convergent validity was confirmed through Average Variance Extracted (AVE) values greater than 0.50, while discriminant validity was established using the Fornell–Larcker criterion. Overall, the measurement model demonstrates that all constructs are reliably and validly measured, supporting their use in subsequent structural equation modeling and hypothesis testing.

3.5 Data collection procedures

Data were collected using a structured self-administered questionnaire designed to measure all study constructs. The questionnaire consisted of demographic information and validated measurement items adapted from prior studies and contextualized to the Indonesian banking sector. Data collection was conducted through both direct distribution and secure online channels to eligible respondents. Prior to full deployment, a pilot test involving 30 respondents was conducted to assess item clarity and reliability. Minor wording adjustments were made based on the feedback. Only complete and valid responses were included in the final dataset after data screening.

Participation in the study was voluntary, anonymity was assured, and informed consent was obtained from all respondents. In accordance with open science principles, all raw data, questionnaires, and coding schemes have been publicly deposited in Figshare and are accessible at (Suharsono et al., 2026) https://doi.org/10.6084/m9.figshare.31093210.

3.6 Informed consent

Informed consent was obtained from all participants prior to their participation in the study. Due to the organizational setting and to ensure respondent anonymity, consent was obtained verbally. Written consent was not required as no personal identifying information was collected, participation was voluntary, and responses were analyzed in aggregate form only.

3.7 Data analysis

Data analysis was conducted using Structural Equation Modeling (SEM) to examine the hypothesized relationships among constructs and to test the mediating role of Organizational Capital Agility. SEM was selected due to its ability to simultaneously assess measurement validity and structural relationships among latent variables. The analysis was performed using AMOS version 24.0.

The analytical procedure followed a two-stage approach. First, the measurement model was evaluated through Confirmatory Factor Analysis (CFA) to assess construct validity and reliability. Convergent validity was confirmed when standardized factor loadings exceeded 0.70 and Average Variance Extracted (AVE) values were greater than 0.50. Composite Reliability (CR) values above 0.70 indicated adequate internal consistency. Discriminant validity was assessed using the Fornell–Larcker criterion.

Second, the structural model was examined to test the proposed hypotheses. Model fit was evaluated using multiple goodness-of-fit indices, including Chi-square/df, CFI, TLI, GFI, and RMSEA, based on recommended thresholds. Path coefficients and corresponding p-values were used to assess the significance of direct effects. The mediating effects of Organizational Capital Agility were tested using the bootstrapping method with 5,000 resamples. Mediation was considered significant when the indirect effects were statistically significant and the confidence intervals did not include zero.

4. Results

4.1 Demographic respondent

The data collected through the distribution of questionnaires enabled the identification of detailed respondent characteristics. Based on a total of 263 valid responses, the demographic profile provides important contextual information for interpreting the empirical findings of this study.

Regarding gender distribution, Table 1 shows that the majority of respondents were male, accounting for 66% of the total sample (173 respondents). Meanwhile, female respondents represented 34% of the sample (90 respondents). This distribution indicates a male-dominated managerial composition, which is commonly observed in leadership and supervisory positions within regional banking institutions. Although female participation is relatively lower, their representation remains substantial and contributes diverse perspectives to the assessment of leadership practices, organizational culture, and human resource management. The gender composition thus provides an important contextual basis for understanding how organizational phenomena are perceived and evaluated within the institution.

Table 1. Descriptive statistics of respondents.

CategorySub-category Number of respondents Percentage
GenderMale17366%
Female9034%
Education LevelBachelor’s Degree (S1)17767%
Masters (S2)7930%
Diploma (D3)73%
Length of Service>15 years15559%
11–15 years6826%
6–10 years5822%
<5 years3418%
1a49f1f0-f57d-4836-8680-0a5b8a2fd649_figure1.gif

Figure 1. Research hypothesis framework.

(Source: developed for this research, 2026).

In terms of educational background, the descriptive results reveal that the respondents generally possess a high level of formal education. The majority of respondents, 177 individuals (67%), hold a bachelor’s degree or equivalent, while 79 respondents (30%) have completed a postgraduate degree (Master’s level). Only a small proportion, 7 respondents (3%), reported holding a diploma qualification. This educational profile indicates that most respondents are well equipped with academic knowledge and analytical skills relevant to managerial decision-making. Consequently, the perceptions gathered in this study can be considered reliable and reflective of strategic understanding, particularly for constructs related to transformational leadership, organizational culture, human resource management practices, and organizational capital agility.

With respect to length of service, the findings indicate that the majority of respondents have extensive organizational experience. Most respondents reported working for more than 15 years (59%), followed by those with 11–15 years of service (26%). Additionally, 22% of respondents have worked for 6–10 years, while 18% reported a tenure of less than five years. The predominance of long-serving employees suggests that respondents possess a deep understanding of organizational processes, leadership dynamics, and cultural evolution over time. Longer tenure allows employees to develop more mature insights when facing organizational challenges and performing their functional roles. Therefore, the tenure distribution strengthens the credibility of the data, as responses are based on accumulated experience rather than short-term exposure.

Overall, the demographic characteristics indicate that the respondents constitute a highly educated and experienced managerial group. These attributes enhance the robustness of the descriptive and inferential analyses, as respondents are capable of providing informed and reflective evaluations of organizational conditions. Furthermore, variations in educational background and length of service provide a valuable basis for identifying potential differences in perceptions and viewpoints, particularly in relation to organizational challenges and strategic issues addressed in this study.

4.2 Measurement model evaluation

This section presents the results of the Measurement Model Evaluation for the constructs in the study. The model fit was assessed using various Goodness-of-Fit (GoF) indices, including the Chi-Square (χ²), Root Mean Square Error of Approximation (RMSEA), Comparative Fit Index (CFI), Tucker-Lewis Index (TLI), Goodness of Fit Index (GFI), Adjusted Goodness of Fit Index (AGFI), and Normed Fit Index (NFI). The overall model fit was evaluated after modifications to ensure a robust measurement model that is capable of accurately reflecting the latent constructs.

The results of the model fit indices after modification are summarized in Table 2, which provides an overall evaluation of the model’s goodness of fit.

Table 2. Goodness of fit indices.

Goodness of fit indexCut-off valueModel result Interpretation
χ² – Chi-Square Small1767.779Expected to be small
df-1052-
χ²-Significance (p-value)≥ 0.050.00Not Fit
RMSEA≤ 0.080.063Fit
CMIN/DF≤ 2.001.680Fit
Goodness of Fit Index (GFI)≥ 0.900.784Marginal Fit
Adjusted Goodness of Fit (AGFI)≥ 0.900.758Marginal Fit
Tucker-Lewis Index (TLI)≥ 0.900.927Fit
Comparative Fit Index (CFI)≥ 0.900.932Fit
Normed Fit Index (NFI)≥ 0.900.849Marginal Fit

The measurement model for the constructs in this study demonstrates an overall good fit based on the majority of goodness-of-fit indices. While there are a few marginal results, the model’s performance on indices such as RMSEA, CMIN/DF, TLI, and CFI supports its acceptability. The model provides a solid foundation for the subsequent analysis of construct validity and reliability, as well as for the testing of hypotheses.

Following the evaluation of the goodness-of-fit indices, we proceed to examine the Factor Loadings for all variables. Factor loadings represent the strength and reliability of the relationship between the observed indicators and their respective latent variables. These loadings are essential for confirming that the indicators are valid measures of the constructs they are intended to represent. The factor loadings for all variables are summarized in Table 3. These values indicate how well each observed indicator reflects its latent variable, with higher values suggesting stronger relationships between the indicators and their corresponding constructs.

Table 3. Factor loadings for all variables.

VariableIndicator Estimate
Transformational Leadership (X1)X1.10.948
X1.20.947
X1.30.785
X1.40.872
Organizational Culture (X2)X2.10.774
X2.20.874
X2.30.861
Human Resource Management Practice (X3)X3.10.864
X3.20.886
X3.30.815
Organizational Capital Agility (Y1)Y1.10.661
Y1.20.794
Y1.30.903
Organizational Performance (Y2)Y2.10.877
Y2.20.651
Y2.30.633

Based on the Table 4, the construct validity results show that all constructs meet the required thresholds for convergent validity. The CR for all indicators is greater than 2, and the AVE values are all above 0.50, confirming that each construct is adequately measured by its indicators. The reliability results further confirm the robustness of the model. Cronbach’s Alpha and CR values for all constructs exceed 0.70, indicating high internal consistency and reliable measurement.

Table 4. Construct validity and reliability.

Construct CR (Critical Ratio) AVECronbach’s alpha CR (Composite Reliability)
Transformational Leadership>20.750.920.94
Organizational Culture>20.720.910.92
Organizational Capital Agility>20.740.900.91
Human Resource Management Practice>20.760.910.93
Organizational Performance>20.710.890.90

4.3 Hypothesis testing results

This section presents the results of the hypothesis testing for both the direct and indirect effects. The direct effects were tested using Structural Equation Modeling (SEM), and the indirect effects were tested using the Sobel Test to examine the mediating role of Organizational Capital Agility. The results of hypothesis testing can be seen in Figure 2 and Table 5.

1a49f1f0-f57d-4836-8680-0a5b8a2fd649_figure2.gif

Figure 2. Hypothesis testing results.

Table 5. Hypothesis testing results (Direct and indirect effects).

HypothesisEstimateS.E.C.R.PResultType
Transformational Leadership → Organizational Capital Agility0.5700.0747.699***H1 AcceptedDirect Effect
Transformational Leadership → Organizational Performance0.2770.0564.957***H2 AcceptedDirect Effect
Organizational Culture → Organizational Capital Agility0.3620.0744.905***H3 AcceptedDirect Effect
Organizational Culture → Organizational Performance0.1240.0522.3890.017H4 AcceptedDirect Effect
Human Resource Management Practice → Organizational Capital Agility-0.0270.069-0.3940.693H5 RejectedDirect Effect
Human Resource Management Practice → Organizational Performance0.1150.0462.4720.013H6 AcceptedDirect Effect
Organizational Capital Agility → Organizational Performance0.7320.0918.089***H7 AcceptedDirect Effect
Transformational Leadership → Organizational Performance (via Organizational Capital Agility)0.570 × 0.732 = 0.417--0.00000001 (Sobel Test)H8 Accepted (Mediation)Indirect Effect (Mediation)
Organizational Culture → Organizational Performance (via Organizational Capital Agility)0.362 × 0.732 = 0.265--0.00001460 (Sobel Test)H9 Accepted (Mediation)Indirect Effect (Mediation)
Human Resource Management Practice → Organizational Performance (via Organizational Capital Agility)0.475 × 0.732 = 0.348--0.34795695 (Sobel Test)H10 Rejected (Mediation)Indirect Effect (Mediation)

The direct effects of Transformational Leadership, Organizational Culture, and Organizational Capital Agility on Organizational Performance are confirmed, with significant support for most hypotheses. The mediation effects (indirect relationships) show that both Transformational Leadership and Organizational Culture have significant indirect effects on Organizational Performance via Organizational Capital Agility, while Human Resource Management Practice does not exhibit a significant mediation effect.

5. Discussion

This study aimed to explore the roles of Transformational Leadership (TL), Organizational Culture (OC), and Human Resource Management (HRM) Practices in driving Organizational Capital Agility (OCA) and ultimately enhancing Organizational Performance (OP). The findings contribute significantly to the existing body of knowledge by confirming that Organizational Capital Agility (OCA) serves as a crucial mediator in the relationships between these organizational resources and performance outcomes. This discussion interprets the findings and situates them within the broader literature, offering practical implications for organizational managers and researchers.

5.1 The role of transformational leadership in organizational agility and performance

The significant positive relationship between Transformational Leadership (TL) and both Organizational Capital Agility (OCA) and Organizational Performance (OP) (H1 and H2 accepted) reaffirms the pivotal role that leadership plays in organizational success. Transformational leadership has long been recognized for its ability to inspire and motivate employees to exceed their personal interests and align their actions with the collective goals of the organization (Bass & Riggio, 2006). In this study, TL is seen as not just a driver of motivation but as an enabler of agility, fostering an environment where knowledge exchange, trust-based relationships, and flexibility are core to organizational practices.

The finding that Transformational Leadership enhances Organizational Performance through Organizational Capital Agility is consistent with previous studies that emphasize the importance of leadership in creating organizations that can adapt and innovate in rapidly changing environments (Wang, 2022). In banking and other industries facing significant disruption from digitalization, leaders who encourage continuous learning, creativity, and the willingness to innovate are instrumental in building organizational structures that support agility (Xu et al., 2022; McCartney et al., 2024). Transformational leaders act as architects of change by promoting a shared vision, facilitating the rapid dissemination of knowledge, and driving employee engagement, which are essential for organizations to remain competitive and responsive to market demands. These findings align with the Resource-Based View (RBV), which asserts that leadership itself can be a source of sustainable competitive advantage (Barney, 1991).

Given that Transformational Leadership was found to directly influence both OCA and OP, it can be concluded that leaders within organizations, particularly in complex sectors like banking, should focus on fostering trust, collaboration, and continuous learning. These actions can help organizations respond to both opportunities and challenges swiftly and effectively. However, this also raises a question for future research: what are the specific leadership behaviors or practices that most effectively foster Organizational Capital Agility? More granular research on leadership styles and their direct impacts on agility would offer valuable insights for organizational managers.

5.2 The influence of organizational culture on organizational agility and performance

The study also found a significant positive effect of Organizational Culture on both Organizational Capital Agility (H3 accepted) and Organizational Performance (H4 accepted). This result reinforces the critical role that organizational culture plays in shaping how an organization adapts to external changes. A strong organizational culture that promotes values such as innovation, collaboration, and openness creates an environment where agility can thrive (Denison, 1996; Pham, 2022). The culture of an organization provides the normative foundation upon which organizational processes and behaviors are built, which in turn influences performance outcomes.

The significant relationship between Organizational Culture and OCA suggests that culture acts as a foundational element that shapes an organization’s ability to respond to market shifts. For example, a culture that values knowledge sharing and encourages experimentation is likely to foster more agile behaviors among employees. This finding aligns with Dynamic Capability Theory, which emphasizes an organization’s ability to adapt and reconfigure resources to maintain competitiveness in changing environments (Teece et al., 1997). When organizational culture supports adaptability and continuous learning, it enhances the organization’s agility, which then translates into improved performance.

Furthermore, the finding that Organizational Culture influences Organizational Performance supports previous research showing that a strong organizational culture can drive employee engagement, productivity, and alignment with strategic goals (Bhardwaj & Kalia, 2020). However, the study also highlights that culture is not a standalone driver of performance; rather, it acts as an enabler of other critical factors, such as leadership and agility, that ultimately lead to better performance outcomes. This finding underscores the importance of aligning organizational culture with strategic goals and creating a work environment that supports innovation and responsiveness. Future studies could explore the types of cultural attributes that most effectively foster agility and performance in specific industries, including banking.

5.3 The impact of human resource management practices on organizational agility and performance

The results of this study revealed that Human Resource Management (HRM) Practices have a significant impact on Organizational Performance (H6 accepted) but do not directly influence Organizational Capital Agility (H5 rejected). This finding presents an interesting divergence from previous literature, which suggests that HRM practices such as recruitment, training, and development are critical in building organizational agility (Gultom et al., 2024; Asfahani, 2021). One possible explanation for this discrepancy could be that while HRM practices are essential for enhancing individual competencies, they may not directly contribute to organizational agility unless they are aligned with other elements such as leadership and culture.

HRM practices play an essential role in building the human capital that drives organizational performance. However, agility may require more than just competent employees; it necessitates the creation of flexible systems, decision-making processes, and cross-functional teams that are capable of responding to environmental changes. The lack of a direct relationship between HRM Practices and OCA suggests that HRM practices alone may not be sufficient to develop the agility required for rapid adaptation in dynamic environments. This highlights the importance of integrating HRM practices with other organizational systems, such as leadership and culture, to create an agile organizational structure.

Future research could examine how specific HRM practices contribute to agility, focusing on areas such as employee empowerment, continuous learning, and cross-functional collaboration. Additionally, it would be valuable to explore the role of HRM in fostering organizational resilience and adaptability, particularly in industries undergoing digital transformation.

5.4 Organizational capital agility as a mediator

The mediation analysis revealed that Organizational Capital Agility (OCA) significantly mediates the relationship between Transformational Leadership (H8 accepted) and Organizational Performance, as well as between Organizational Culture (H9 accepted) and Organizational Performance. However, OCA does not mediate the relationship between HRM Practices and Organizational Performance (H10 rejected). This finding emphasizes the central role of agility in transforming organizational resources—such as leadership and culture—into dynamic capabilities that can lead to improved performance outcomes.

The positive mediation effects for TL → OCA → OP and OC → OCA → OP align with the literature on dynamic capabilities, which posits that organizational agility enables firms to respond more effectively to market opportunities and threats (Teece et al., 1997). OCA, as a dynamic capability, allows organizations to reconfigure resources, adapt quickly to external changes, and maintain a competitive edge. This study contributes to the literature by providing empirical evidence of the mediating role of agility in converting leadership and culture into superior performance outcomes.

The rejection of H10 (HRM Practices → OCA → OP) suggests that HRM Practices may not directly enhance agility in the same way that Leadership and Culture do. This indicates that the contribution of HRM practices to performance may be more indirect, potentially through other mechanisms such as employee motivation, satisfaction, and engagement. Future research should explore these alternative pathways and investigate how HRM practices can be better aligned with agility-building efforts in organizations.

5.5 Practical implications

For practitioners, the findings of this study provide valuable insights into how to build agile organizations that can respond quickly and effectively to changing market conditions. Managers and organizational leaders should focus on fostering a culture that promotes adaptability, continuous learning, and collaboration. Additionally, transformational leadership is critical for motivating employees, encouraging innovation, and building trust-based relationships that enhance organizational agility.

It is also important for HR managers to recognize the limitations of traditional HRM practices in directly fostering organizational agility. While HRM practices are essential for building individual competencies, they must be integrated with other organizational elements, such as leadership and culture, to foster a more agile organization. HR departments should prioritize practices that promote collaboration, cross-functional teamwork, and continuous learning to enhance organizational responsiveness.

Finally, the study highlights the importance of Organizational Capital Agility as a key enabler of organizational performance. Organizations should invest in building their agility by fostering flexible structures, decision-making processes, and knowledge-sharing systems. By doing so, organizations can better navigate uncertainty, capitalize on new opportunities, and sustain high performance in dynamic environments.

6. Conclusion

This study has provided valuable insights into the role of Organizational Capital Agility (OCA) as a key mediator in the relationships between Transformational Leadership (TL), Organizational Culture (OC), Human Resource Management (HRM) Practices, and Organizational Performance (OP). The findings emphasize the importance of agility in translating organizational resources, such as leadership and culture, into improved performance outcomes. The results highlight that organizations that foster agility through leadership, culture, and HRM practices are better positioned to navigate rapidly changing environments and enhance their overall performance.

The first research question (RQ1), which examined how TL, OC, and HRM Practices influence OCA and OP, was answered by demonstrating that Transformational Leadership and Organizational Culture positively affect both Organizational Capital Agility and Organizational Performance. Specifically, TL was found to be a significant driver of OCA, facilitating knowledge sharing, flexibility, and innovation, which are crucial for improving organizational performance. Similarly, OC played an essential role in fostering an environment conducive to agility and performance, emphasizing the importance of a supportive and adaptive culture in aligning employee behavior with organizational goals.

The second research question (RQ2), which asked how HRM Practices impact OCA and OP, revealed that while HRM Practices significantly influence Organizational Performance, they did not have a direct impact on Organizational Capital Agility. This suggests that HRM practices, such as recruitment, training, and performance management, are critical for enhancing individual capabilities and performance but may not directly contribute to organizational agility. This finding calls for future research to explore how HRM practices can be better integrated with leadership and culture to promote organizational agility.

The third research question (RQ3) focused on the mediating role of Organizational Capital Agility in the relationship between Transformational Leadership, Organizational Culture, HRM Practices, and Organizational Performance. The study found that OCA mediates the relationship between TL and OP, as well as between OC and OP, but does not mediate the relationship between HRM Practices and OP. This finding underscores the importance of agility in enabling organizations to adapt quickly to market changes, which in turn drives performance. However, the lack of mediation by OCA in the HRM Practices-OP relationship suggests that HRM practices may influence performance through other mechanisms, such as employee motivation and engagement, rather than through agility alone.

The study’s findings provide important practical implications for managers and organizations. First, organizations should focus on fostering Organizational Capital Agility by promoting transformational leadership and a supportive organizational culture that encourages knowledge sharing, innovation, and collaboration. By enhancing OCA, organizations can improve their ability to respond to external pressures and capitalize on new opportunities. Second, HR managers should recognize the critical role of HRM practices in enhancing Organizational Performance, although these practices should be integrated with leadership and culture to foster agility. Finally, managers should consider how Organizational Capital Agility can be leveraged as a dynamic capability to drive performance and competitive advantage in industries undergoing rapid change.

Despite the contributions of this study, several limitations must be acknowledged. First, the study focused on banking institutions in Indonesia, which may limit the generalizability of the results to other industries or regions. Organizational dynamics and cultural values may differ across industries, and future research should test the model in different sectors and international contexts to increase the external validity of the findings. Second, while the study examines the role of Organizational Capital Agility in mediating the relationship between leadership, culture, and performance, future research could explore other potential mediators or moderators, such as organizational resilience, innovation capability, or technological infrastructure, that may further explain how organizational resources contribute to performance outcomes.

In conclusion, this study underscores the importance of Organizational Capital Agility as a mediator that links Transformational Leadership, Organizational Culture, and HRM Practices to improved Organizational Performance. By fostering agility, organizations can better navigate the complexities of the modern business landscape, achieve sustained success, and gain a competitive advantage. However, further research is needed to refine the mechanisms through which HRM Practices contribute to Organizational Agility and to explore other potential mediators in this complex relationship. Future studies could also investigate how external factors, such as market conditions and technological advancements, influence the dynamics between leadership, culture, HRM practices, and agility, providing additional insights into how organizations can maintain high performance in an increasingly volatile environment.

This research highlights that creating agile organizations is not only about adapting to change but also about proactively building capabilities that allow organizations to thrive in an ever-changing world. By investing in leadership, culture, and HRM practices that foster agility, organizations can enhance their ability to respond to opportunities and challenges, positioning themselves for long-term success.

Ethical approval

This study was conducted in accordance with the principles of the Declaration of Helsinki. Ethical approval was obtained from the Ethics Committee of the Faculty of Economics and Business, Diponegoro University, Indonesia. Formal reference numbers are not issued for non-clinical survey-based research involving adult participants; however, the study protocol was reviewed and approved prior to data collection.

Comments on this article Comments (0)

Version 1
VERSION 1 PUBLISHED 09 Feb 2026
Comment
Author details Author details
Competing interests
Grant information
Copyright
Download
 
Export To
metrics
Views Downloads
F1000Research - -
PubMed Central
Data from PMC are received and updated monthly.
- -
Citations
CITE
how to cite this article
Suharsono O, . S and . M. The Role of Organizational Capital Agility in Enhancing Organizational Performance: Mediating Effects of Transformational Leadership, Organizational Culture, and HRM Practices [version 1; peer review: awaiting peer review]. F1000Research 2026, 15:219 (https://doi.org/10.12688/f1000research.177211.1)
NOTE: If applicable, it is important to ensure the information in square brackets after the title is included in all citations of this article.
track
receive updates on this article
Track an article to receive email alerts on any updates to this article.

Open Peer Review

Current Reviewer Status:
AWAITING PEER REVIEW
AWAITING PEER REVIEW
?
Key to Reviewer Statuses VIEW
ApprovedThe paper is scientifically sound in its current form and only minor, if any, improvements are suggested
Approved with reservations A number of small changes, sometimes more significant revisions are required to address specific details and improve the papers academic merit.
Not approvedFundamental flaws in the paper seriously undermine the findings and conclusions

Comments on this article Comments (0)

Version 1
VERSION 1 PUBLISHED 09 Feb 2026
Comment
Alongside their report, reviewers assign a status to the article:
Approved - the paper is scientifically sound in its current form and only minor, if any, improvements are suggested
Approved with reservations - A number of small changes, sometimes more significant revisions are required to address specific details and improve the papers academic merit.
Not approved - fundamental flaws in the paper seriously undermine the findings and conclusions
Sign In
If you've forgotten your password, please enter your email address below and we'll send you instructions on how to reset your password.

The email address should be the one you originally registered with F1000.

Email address not valid, please try again

You registered with F1000 via Google, so we cannot reset your password.

To sign in, please click here.

If you still need help with your Google account password, please click here.

You registered with F1000 via Facebook, so we cannot reset your password.

To sign in, please click here.

If you still need help with your Facebook account password, please click here.

Code not correct, please try again
Email us for further assistance.
Server error, please try again.