Keywords
P01009, alpha-1-antitrypsin, SERPINA1, A1AT, serine protease inhibitor, antibody validation, western blot, immunoprecipitation, flow cytometry
This article is included in the YCharOS (Antibody Characterization through Open Science) gateway.
Alpha-1-antitrypsin (A1AT), encoded by the SERPINA1 gene, is a circulating serine protease inhibitor that protects the lung from neutrophil elastase–mediated tissue damage. Mutations in SERPINA1 cause alpha-1-antitrypsin deficiency, one of the most common hereditary causes of respiratory disease, leading to early-onset emphysema and chronic obstructive pulmonary disease, as well as hepatic complications. Given the clinical significance of A1AT and its widespread use as a biomarker, there is a critical need for high-quality antibodies to ensure reliable detection and mechanistic insights. Here we systematically characterised eighteen commercial antibodies for western blot, immunoprecipitation, and flow cytometry using a standardized knockout validation approach in human Hep G2 cells, comparing readouts in a SERPINA1 knockout line with its isogenic parental control. This work is part of a broader collaborative initiative aimed at addressing antibody reproducibility by characterising commercial antibodies for human proteins and openly sharing the results with the community. While antibody use and protocols vary between laboratories, we encourage readers to use this report as a guide to select the most appropriate antibodies for their specific experimental needs.
P01009, alpha-1-antitrypsin, SERPINA1, A1AT, serine protease inhibitor, antibody validation, western blot, immunoprecipitation, flow cytometry
Alpha-1-antitrypsin (A1AT) deficiency is a hereditary disorder caused by mutations in the SERPINA1 gene, leading to reduced circulating levels of functional A1AT, a serine protease inhibitor primarily synthesized in the liver.1 Under normal conditions, A1AT diffuses into the lungs where it neutralises neutrophil elastase, thereby preserving the protease–antiprotease balance essential for alveolar integrity.1,2 In individuals with A1AT deficiency, insufficient inhibition of neutrophil elastase results in progressive alveolar wall destruction and panacinar emphysema, particularly in the lower lobes of the lungs.2,3 Clinically, this manifests as early-onset emphysema, chronic obstructive pulmonary disease (COPD), and chronic bronchitis, with disease severity strongly influenced by environmental factors such as cigarette smoking.4,5
In addition to pulmonary complications, A1AT deficiency has important hepatic consequences. Mutant A1AT proteins, such as the Z allele (Glu342Lys), misfold within the endoplasmic reticulum of hepatocytes and form toxic aggregates that are poorly secreted into circulation.1,6 This intracellular accumulation predisposes to a spectrum of liver disease and increases the risk of hepatocellular carcinoma in adulthood.6
For the robust assessment of A1AT biology, the use of well-characterised experimental tools is essential. Given the widespread use of immunoassays and immunohistochemistry to detect A1AT expression,7,8 antibody validation is critical to ensure specificity and reproducibility. Poorly validated antibodies can lead to misleading findings regarding A1AT levels, distribution, and misfolding, thereby obscuring the disease mechanisms and hindering the development of effective diagnostics and therapies.9–11
This research is part of a broader collaborative initiative in which academics, funders and commercial antibody manufacturers are working together to address antibody reproducibility issues by characterising commercial antibodies for human proteins using standardized protocols12 and openly sharing the data.13 Here we evaluated the performance of eighteen commercial antibodies for A1AT for use in western blot, immunoprecipitation and flow cytometry, enabling biochemical and cellular assessment of A1AT properties and function. The platform for antibody characterisation used to carry out this study was endorsed by a committee of industry academic representatives. It consists of identifying human cell lines with adequate target protein expression and the development/contribution of equivalent knockout (KO) cell lines, followed by antibody characterisation procedures using most commercially available renewable antibodies against the corresponding protein. The standardised consensus antibody characterisation protocols are openly available on Protocols.io (DOI: dx.doi.org/10.21203/rs.3.pex-2607/v1).
The authors do not engage in result analysis or offer explicit antibody recommendations. Our primary aim is to deliver top-tier data to the scientific community, grounded in Open Science principles. This empowers experts to interpret the characterisation data independently, enabling them to make informed choices regarding the most suitable antibodies for their specific experimental needs. Guidelines on how to interpret the antibody characterisation data found in this study are featured on the YCharOS gateway.14
Our standard protocol involves comparing readouts from WT (wild type) and KO cells.15,16 The first step is to identify a cell line(s) that expresses sufficient levels of a given protein to generate a measurable signal using antibodies. To this end, we examined the DepMap transcriptomics database to identify all cell lines that express the target at levels greater than 2.5 log2 (transcript per million “TPM” + 1), which we have found to be a suitable cut-off (Cancer Dependency Map Portal, RRID:SCR_017655). The cell line Hep G2 expresses the SERPINA1 transcript at 12.5 log2 (TPM+1) and thus was identified as a suitable cell line and was modified by CRISPR/Cas9 to KO the corresponding SERPINA1 gene ( Table 1).
| Institution | Catalogue number | RRID (Cellosaurus) | Cell line | Genotype |
|---|---|---|---|---|
| Sigma Aldrich | 85011430-1VL | CVCL_0027 | HepG2 | WT |
| University of Leicester | - | CVCL_F0RL | HepG2 | SERPINA1 KO |
According to the UniProt database, A1AT is secreted into the extracellular space. As such, clarified concentrated medium from both Hep G2 WT control and SERPINA1 KO cell lines was run on SDS-PAGE, transferred onto nitrocellulose membranes and probed in parallel with eighteen A1AT antibodies ( Figure 1). Antibodies were then assessed for their ability to detect intracellular A1AT using protein lysates from WT control and SERPINA1 knockout cells ( Figure 2). A1AT expression was detected in the protein lysates but required a longer exposure time, indicating that A1AT is predominantly secreted by Hep G2 cells. Therefore, the performance of antibodies by immunofluorescence was not evaluated in this study.

Culture media from Hep G2 WT and SERPINA1 KO cells were collected, and 30μg of protein was processed for western blot with the indicated Alpha-1-antitrypsin antibodies. The Ponceau stained transfers of each blot are presented to show equal loading of WT and KO samples. Antibody dilutions were chosen according to the recommendations of the antibody supplier. Antibody dilutions used: ab133642** at 1/1000, ab166610** at 1/1000, ab167414** at 1/1000, ab207303** at 1 in 5000, ABCD_AU751** at 1/5, ABCD_AU752** at 1/85, ABCD_AW383** at 1/35, ARP59239_P050 at 1/500, ARP96977_P050 at 1/500, AVARP00015_T100 at 1/800, MAB1268* at 1/500, NBP1-47957* at 1/1000, GTX112707 at 1/3000, 66135-1-Ig* at 1/5000, 82918-1-RR** at 1/2000, A0409 at 1/15000, 702047** at 1/500 and 711079** at 1/500. Predicted band size: 46.7 kDa. *Monoclonal antibody; **Recombinant antibody.

Protein lysates from Hep G2 WT and SERPINA1 KO cells were collected, and 30μg of protein was used for western blot with the indicated Alpha-1-antitrypsin antibodies. The Ponceau stained transfers of each blot are presented to show equal loading of WT and KO samples. Antibody dilutions were chosen according to the recommendations of the antibody supplier. Antibody dilutions used: ab133642** at 1/1000, ab166610** at 1/1000, ab167414** at 1/1000, ab207303** at 1 in 5000, ABCD_AU751** at 1/5, ABCD_AU752** at 1/85, ABCD_AW383** at 1/35, ARP59239_P050 at 1/500, ARP96977_P050 at 1/500, AVARP00015_T100 at 1/800, MAB1268* at 1/500, NBP1-47957* at 1/1000, GTX112707 at 1/3000, 66135-1-Ig* at 1/5000, 82918-1-RR** at 1/2000, A0409 at 1/15000, 702047** at 1/500 and 711079** at 1/500. Predicted band size: 46.7 kDa. *Monoclonal antibody; **Recombinant antibody.
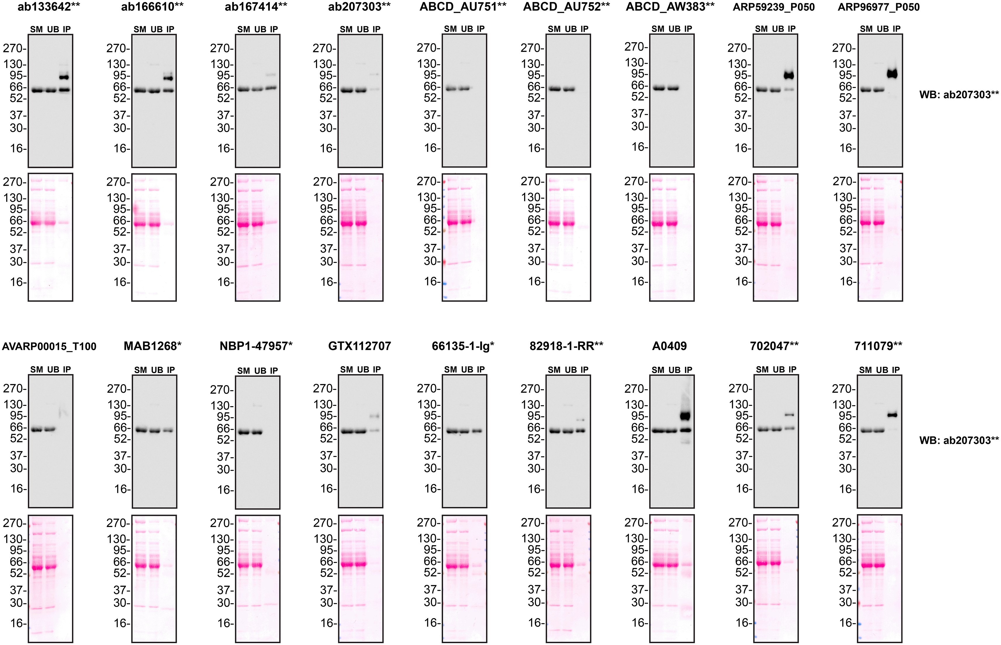
We next assessed the ability of all eighteen antibodies to capture A1AT from Hep G2 culture medium by immunoprecipitation, followed by western blot analysis. For the immunoblot, a specific A1AT antibody identified previously ( Figure 1) was used. Equal amounts of the starting material (SM) and unbound fraction (UB), along with the complete immunoprecipitated (IP) eluate, were separated by SDS-PAGE ( Figure 3).

Conditioned culture medium was collected from Hep G2 WT cells, and immunoprecipitation was performed for 18 hours using 0.5 mg of protein and 2.0 μg of the indicated Alpha-1-antitrypsin antibodies pre-coupled to Dynabeads protein A or protein G. Samples were washed and processed for western blot with the anti- Alpha-1-antitrypsin antibody ab207303** diluted at 1/5000. The Ponceau stained transfers of each blot are shown. SM=4% starting material; UB = 4% unbound fraction; IP = immunoprecipitate. *Monoclonal antibody; **Recombinant antibody.
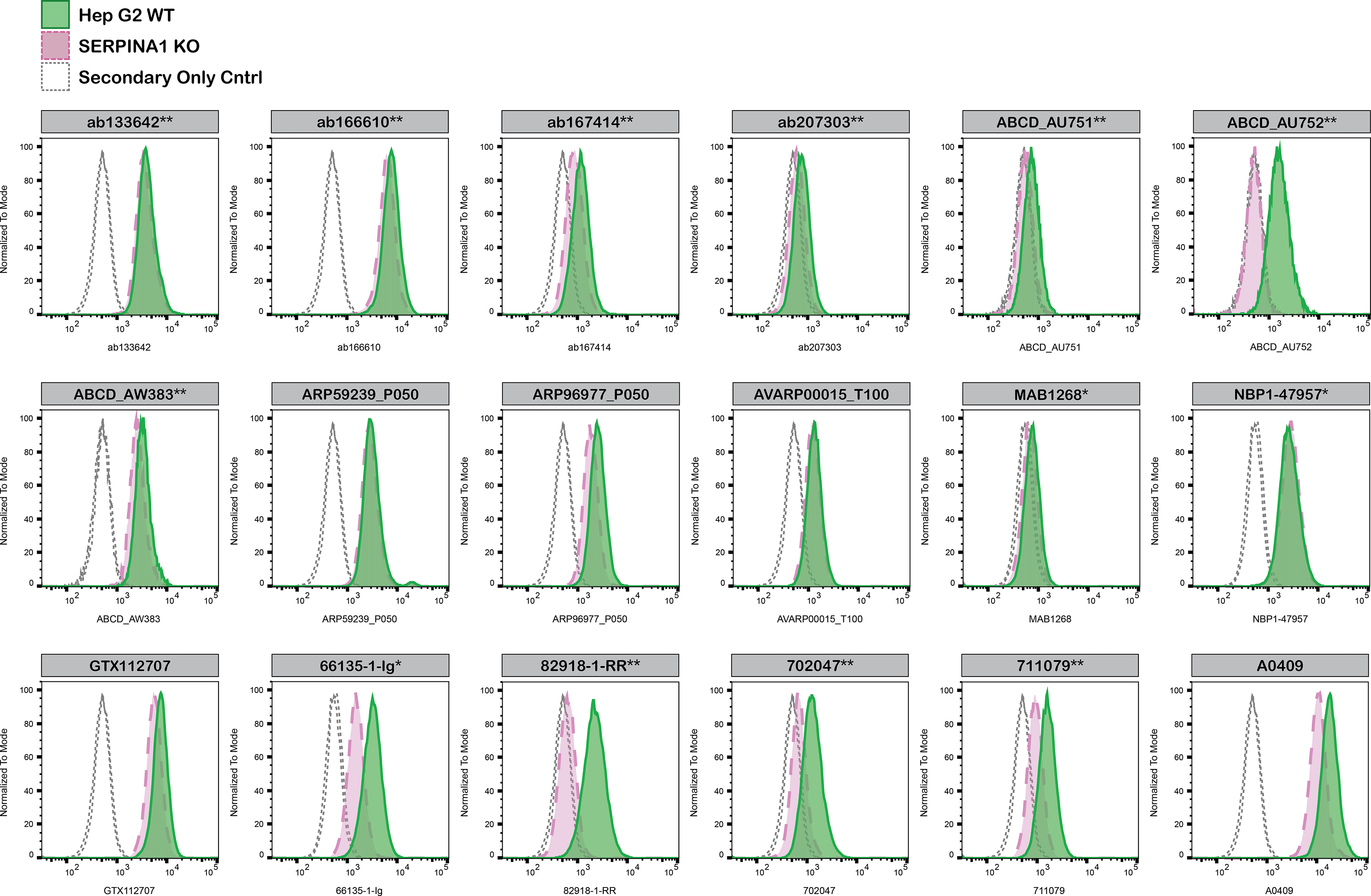
For flow cytometry, Hep G2 WT and SERPINA1 KO cells were labelled with distinct fluorescent dyes and combined at a 1:1 ratio. Both cell lines were fixed, permeabilised and blocked in the same tube prior to antibody staining to reduce bias. Eighteen A1AT antibodies were then evaluated, with fluorescent intensity assessed using the Attune NxT flow cytometer. Antibody staining in both WT and KO line was then quantified using FlowJo software, with representative histograms presented in Figure 4.

Hep G2 WT and SERPINA1 KO cells were labelled with a green or violet, fluorescent dye, respectively. WT and KO cells were mixed in a 1:1 ratio, fixed in 4% PFA and permeabilized in 0.1% saponin. 400,000 cells were stained with the indicated alpha-1-antitrypsin antibodies and corresponding Multi-rAb CoraLite® Plus 647 secondary antibodies. Antibody staining was quantified using the Attune NxT Flow Cytometer with representative images showing the staining intensity in the KO population (pink histogram, dashed line) compared to the WT cells (green histogram, solid line). Histograms with dotted lines represent secondary antibody-only controls in both WT and KO cells. Antibody dilutions used: ab133642** at 1/1050, ab166610** at 1/237, ab167414** at 1/277, ab207303** at 1/999, ABCD_AU751**at 1/5, ABCD_AU752** at 1/850, ABCD_AW383** at 1/35, ARP59239_P050 at 1/5000, ARP96977_P050 at 1/5000, AVARP00015_T100 at 1/1000, MAB1268* at 1/500, NBP1-47957* at 1/100, GTX112707 at 1/810, 66135-1-Ig* at 1/1600, 82918-1-RR** at 1/8000, A0409 at 1/1000, 702047** at 1/500, 711079** at 1/500. *Monoclonal antibody; **Recombinant antibody.
In conclusion, we have screened eighteen A1AT commercial antibodies by western blot, immunoprecipitation and flow cytometry by comparing the signal produced using human Hep G2 WT and SERPINA1 KO cells. High-quality and renewable antibodies capable of successfully detecting A1AT were identified.
Inherent limitations are associated with the antibody characterization platform used in this study. Firstly, the YCharOS project focuses on renewable (recombinant and monoclonal) antibodies and does not test all commercially available A1AT antibodies. YCharOS partners provide approximately 80% of all renewable antibodies, but some top-cited polyclonal antibodies may not be available through these partners. We encourage readers to consult vendor documentation to identify the specific antigen each antibody is raised against, where such information is available.
Secondly, the YCharOS effort employs a non-biased approach that is agnostic to the protein for which antibodies have been characterized. The aim is to provide objective data on antibody performance without preconceived notions about how antibodies should perform or the molecular weight that should be observed in western blot. As the authors are not experts in A1AT, only a brief overview of the protein’s function and its relevance in disease is provided. A1AT experts are invited to analyse and interpret observed banding patterns in western blots. Thirdly, YCharOS experiments are not performed in replicates primarily due to the use of multiple antibodies targeting various epitopes. Once a specific antibody is identified, it validates the protein expression of the intended target in the selected cell line, confirms the lack of protein expression in the KO cell line and supports conclusions regarding the specificity of the other antibodies. All experiments are performed using master mixes, and meticulous attention is paid to sample preparation and experimental execution. In instances where antibodies yield no signal, a repeat experiment is conducted following titration. Additionally, our independent data is performed subsequently to the antibody manufacturers internal validation process, therefore making our characterization process a repeat.
Lastly, as comprehensive and standardized procedures are respected, any conclusions remain confined to the experimental conditions and cell line used for this study. The use of a single cell type for evaluating antibody performance poses as a limitation, as factors such as target protein abundance significantly impact results. Additionally, the use of cancer cell lines containing gene mutations poses a potential challenge, as these mutations may be within the epitope coding sequence or other regions of the gene responsible for the intended target. Such alterations can impact the binding affinity of antibodies. This represents an inherent limitation of any approach that employs cancer cell lines.
The standardized protocols used to carry out this KO cell line-based antibody characterisation platform was established and approved by a collaborative group of academics, industry researchers and antibody manufacturers. The detailed materials and step-by-step protocols used to characterize antibodies in western blot, immunoprecipitation and immunofluorescence are openly available on Protocols.io (DOI: dx.doi.org/10.21203/rs.3.pex-2607/v1).
All A1AT antibodies are listed in Table 2, together with their corresponding Research Resource Identifiers (RRID), to ensure antibodies are cited properly.17 Secondary antibodies used in this study are provided in Table 3. To ensure consistency with manufacturer recommendations and account for proprietary formulations (where antibody concentrations are not disclosed), antibody usage is reported as dilution ratios rather than absolute concentrations.
| Company | Catalogue number | Lot number | RRID (Antibody registry) | Clonality | Clone ID | Host | Stock concentration (μg/mL) | Vendor recommended applications |
|---|---|---|---|---|---|---|---|---|
| Abcam | ab133642** | 1014123-6 | AB_3668811 | Recombinant Monoclonal | EPSISR16 | Rabbit | 105 | IP, WB |
| Abcam | ab166610** | 1082313-4 | AB_3665876 | Recombinant Monoclonal | EPR9090 | Rabbit | 237 | ICC/IF, WB |
| Abcam | ab167414** | 1091979-5 | AB_3665875 | Recombinant Monoclonal | EPR10832(B) | Rabbit | 277 | IP, WB |
| Abcam | ab207303** | 1088914-2 | AB_3665874 | Recombinant Monoclonal | EPR17087-50 | Rabbit | 999 | ICC/IF, IHC, IP, WB |
| ABCD Antibodies | ABCD_AU751** | 10/06/2024 | AB_3712954 | Recombinant Monoclonal | SCFV4B12 | Rabbit | 5 | - |
| ABCD Antibodies | ABCD_AU752** | 10/06/2024 | AB_3712955 | Recombinant Monoclonal | SCFV9D5 | Rabbit | 85 | - |
| ABCD Antibodies | ABCD_AW383** | 10/06/2024 | AB_3712956 | Recombinant Monoclonal | anti-A1AT-2H2 | Rabbit | 35 | - |
| Aviva Systems Biology | ARP59239_P050 | QC30148-43483 | AB_3668851 | Polyclonal | - | Rabbit | 500 | WB |
| Aviva Systems Biology | ARP96977_P050 | QC67938-43131 | AB_3668852 | Polyclonal | - | Rabbit | 500 | WB |
| Aviva Systems Biology | AVARP00015_T100 | QC0199-20150424 | AB_841679 | Polyclonal | - | Rabbit | 1000 | IHC, WB |
| Bio-Techne | MAB1268* | 202808 | AB_2301508 | Monoclonal | 202808 | Mouse | 500 | ICC/IF, IHC, IP, WB |
| Bio-Techne | NBP1-47957* | F002 | AB_10010955 | Monoclonal | OTI9A1 | Mouse | 1000 | FC, IHC, IP, WB |
| GeneTex | GTX112707 | 40492 | AB_11161999 | Polyclonal | - | Rabbit | 810 | IHC, WB |
| Proteintech | 66135-1-Ig* | 10003372 | AB_2881534 | Monoclonal | 1A9G6 | Mouse | 1600 | ICC/IF, IHC, IP, FC-Intra, WB |
| Proteintech | 82918-1-RR** | 23006677 | AB_3668844 | Recombinant Monoclonal | 230109A8 | Rabbit | 800 | IHC, FC-Intra, WB |
| Sigma-Aldrich | A0409 | - | AB_257883 | Polyclonal | - | Rabbit | NA | ELISA, WB |
| Thermo Fisher Scientific | 702047** | 2092596 | AB_2689472 | Recombinant Monoclonal | 8H10L18 | Rabbit | 500 | WB |
| Thermo Fisher Scientific | 711079** | 2799570 | AB_2662337 | Recombinant Polyclonal | - | Rabbit | 500 | ICC/IF, WB |
All cell lines used in this study are listed in Table 1, alongside their corresponding RRIDs, to ensure proper citation.18 Cells were cultured in Minimum Essential Medium (MEM) Eagle (Sigma-Aldrich #M0325-500ML) supplemented with 10% fetal bovine serum (Thermo Fisher Scientific #A5256801), 1% sodium pyruvate (Thermo Fisher Scientific #11360070), and 1% antibiotic/antimycotic solution (Capricorn Scientific #AAS-B). All cell lines used in this study were routinely tested for mycoplasma contamination and were confirmed to be mycoplasma-free.
The Hep G2 SERPINA1 KO clone was generated using low-passage cells. Prior to ribonucleoprotein transfection, 20,000 cells were plated in each well of a 48-well plate and incubated overnight to allow attachment. in vitro guide RNA was generated with the HighYield T7 sgRNA synthesis kit (Jena Bioscience #RNT-105), followed by incubation with DNase I-XT (New England Biolabs #M0570) and quick CIP (New England Biolabs #M0525) to remove DNA and 5′ phosphorylation respectively. RNA was purified using the Monarch spin RNA cleanup kit (New England Biolabs #T2040) and 125ng of guide RNA (target sequence: CACTCACGATGAAATCCTGG) was combined with 625ng of spCas9. Ribonucleoprotein transfection was then carried out using the Lipofectamine CRISPRMAX Cas9 transfection reagent (Thermo Fisher Scientific #CMAX000008) according to the manufacturer’s protocol. The culture medium was replaced the following day, and single-cell isolation was performed on day three. Single cells were plated into 96-well plates and clonally expanded.
Hep G2 WT and SERPINA1 KO cells were washed three times in Hanks’ balanced salt solution (HBSS) (Capricorn Scientific #HBSS-2A) and serum deprived for 48-hours in MEM media without phenol red (Thermo Fisher Scientific #51200046) supplemented with 1% sodium pyruvate, 1% antibiotic/antimycotic solution and 1% L-glutamine (Thermo Fisher Scientific #A2916801). Culture medium was then collected and centrifuged for 500 × g, for 10 minutes at 4°C to eliminate cells and larger contaminants, then for 4500 × g, for 10 minutes at 4°C to eliminate smaller contaminants. Conditioned medium was then concentrated by centrifugation at 4000 × g for 30 minutes at 4°C using Amicon Ultra 15mL centrifugal filters with a 3 kDa molecular weight cut off (Sigma Aldrich #UFC900396). Culture media was then supplemented with 1× protease inhibitor cocktail (Cell Signaling Technology #7012).
For lysate preparation, Hep G2 WT and SERPINA1 KO cells were washed three times in phosphate buffered saline (PBS) (Thermo Fisher Scientific #70011044) and lysed in RIPA buffer containing 1× of protease inhibitor cocktail, sodium orthovanadate and phenylmethylsulfonyl fluoride (Santa Cruz Biotechnology #sc-24948). Lysates were sonicated (40% amplitude for 5 seconds) three times and incubated for 30 minutes on ice prior to centrifugation at 20,000 × g for 1 hour at 4°C.
Protein concentration was quantified using the Pierce BCA protein assay (Thermo Fisher Scientific #23225) and 30 μg of protein was used for both protein lysates and concentrated cell culture medium. Samples were combined with Laemmli sample buffer (Bio-Rad #1610747) containing 2-mercaptoethanol (final concentration 355 mM) (Sigma Aldrich #M7522) before being heated at 65°C for 10 minutes. Samples were then loaded in precast 4-20% WedgeWell Tris-Glycine Plus midi gels (Thermo Fisher Scientific #WTG42020BOX) alongside Prime-Step prestained broad range protein ladder (BioLegend #773302). SDS-PAGE was then performed in SureLock Tandem Midi Gel tanks (Thermo Fisher Scientific #STM1001) and run at 200V for 1 hour with Tris/Glycine/SDS buffer (Bio-Rad #1610772). Proteins were then transferred to 0.2μm supported nitrocellulose membranes (Cytiva #10600015) using a Criterion blotter with plate electrodes (Bio-Rad #17004070) run at 85V for 45 minutes. Proteins on the blot were then visualised with Ponceau S staining (Thermo Fisher Scientific #161470250) which was scanned to show alongside individual western blots. Blots were blocked with 5% milk for 1 hour in Tris-buffered saline containing 1% Tween 20 (TBST) (Thermo Fisher Scientific #J77500.K2). Primary antibodies were then incubated overnight at 4°C in 5% milk TBST with gentle shaking. Following three ten-minute washes with TBST, horseradish peroxidase (HRP) conjugated secondary antibodies were incubated at a dilution of 1/10000 (0.1μg/mL) in TBST with 5% milk for 1 hour at room temperature followed by three ten-minute washes with TBST. Membranes were then incubated with either Pierce ECL (Thermo Fisher Scientific #32106) for 1 minute or Clarity Western ECL substrate (Bio-Rad #1705061) for 5 minutes prior to detection with the ImageQuant LAS 4000.
Antibody-bead conjugates were prepared by adding 2 μg of antibody to 1 mL of Pierce IP Lysis Buffer (25 mM Tris-HCl pH 7.4, 150 mM NaCl, 1 mM EDTA, 1% NP-40 and 5% glycerol) (Thermo Fisher Scientific #87788) in a microcentrifuge tube, together with 30 μL of protein A (for rabbit antibodies) or protein G (for mouse antibodies) (Thermo Fisher Scientific #10002D and #10004D respectively). Tubes were rocked for 1 hour at 4°C followed by two washes to remove unbound antibody. Culture media from Hep G2 WT were collected as described in the western section above. 0.5 mL aliquots at 1mg/mL of culture medium were incubated with an antibody-bead conjugate for 18 hours at 4°C. The unbound fractions were collected, and beads were subsequently washed three times with 1.0 mL of IP buffer and processed for SDS-PAGE and western blot on precast midi 4-20% Tris-Glycine polyacrylamide gels.
Hep G2 WT and SERPINA1 KO cells were detached, and five million cells were labelled with CellTracker green or violet fluorescent dyes, respectively (Thermo Fisher Scientific, #C7025 and #C10094). WT and KO cells were then centrifuged at 300 × g, for 10 minutes and resuspended in PBS containing 1% bovine serum albumin (BSA) (Sigma-Aldrich, A9647). Cell populations were then combined at a 1:1 ratio, centrifuged and fixed on ice for 20 minutes using 800 μL of 4% PFA in PBS (Thermo Fisher Scientific #J19943.K2). Following fixation, 1.2 mL of 1% BSA in PBS was added to the tube, vortexed and centrifuged at 600 × g for 15 minutes at 4°C. Cells were then permeabilised in 400 μL PBS with 0.1% Saponin (Sigma-Aldrich #558255) for 10 minutes at room temperature, centrifuged at 600 × g for 15 minutes at 4°C and then blocked with 5% goat serum (Sigma-Aldrich #G6767), 1% BSA, 0.1% saponin in PBS for 30 minutes on ice. After the blocking step 400,000 cells were aliquoted into individually labelled tubes, centrifuged at 600 × g for 15 minutes at 4°C and incubated in 150 μL of 1% BSA, 0.1% Saponin PBS with primary A1AT antibodies for 30 minutes on ice. 500 μL of 1% BSA, 0.1% saponin PBS was then added to each tube, vortexed and centrifuged at 600 × g for 15 minutes at 4°C. Cells were then incubated with their corresponding Multi-rAb CoraLite® Plus 647 secondary antibodies (0.83 μg/ml) (Proteintech #RGAR005 and #RGAM005) in 150 μL of 1% BSA, 0.1% saponin PBS for 30 minutes on ice. 500 μL of 1% BSA, 0.1% saponin PBS was then added to each tube, vortexed and centrifuged 600 × g for 15 minutes at 4°C.
Tubes were then resuspended in 1 ml of 1% BSA in PBS and data was acquired using the Attune NxT flow cytometer. Data was analysed using FlowJo with the following gates. The cell population was first gated on FSC-A vs SSC-A, within that gate single cells were selected by FSC-A vs FSC-H and then KO and WT cells were isolated by BL1-A vs VL1-A using a quadrat gate. Quantification of antibody staining was then observed in the RL1-A channel and histograms merged to demonstrate the staining intensity between the two populations compared to the two secondary only controls. The figure was then assembled using Adobe Illustrator 2024.
Zenodo: Dataset for the Alpha-1-antitrypsin antibody screening study, this contains the underlying data included in a study which characterized eighteen commercially available antibodies against Alpha-1-antitrypsin (SERPINA1) by immunoblot (Western blot), immunoprecipitation and flow cytometry, using a knockout based validation. This corresponds to all the data within the figures for this article. https://doi.org/10.5281/zenodo.17925190.
Data are available under the terms of the Creative Commons Attribution 4.0 International license (CC-BY 4.0).
This is a summary of independent research funded by both the NC3Rs and MRC and carried out at the National Institute for Health and Care Research (NIHR) Leicester Biomedical Research Centre (BRC). The views expressed are those of the author(s) and not necessarily those of the NC3Rs, the MRC, the NIHR or the Department of Health and Social Care.
We gratefully acknowledge the support of Dr. Carl Laflamme and Dr. Riham Ayoubi, whose technical expertise were invaluable to this work.
| Views | Downloads | |
|---|---|---|
| F1000Research | - | - |
|
PubMed Central
Data from PMC are received and updated monthly.
|
- | - |
Is the rationale for creating the dataset(s) clearly described?
Yes
Are the protocols appropriate and is the work technically sound?
Yes
Are sufficient details of methods and materials provided to allow replication by others?
Yes
Are the datasets clearly presented in a useable and accessible format?
Yes
Competing Interests: No competing interests were disclosed.
Reviewer Expertise: Cell biology, proteomics, membrane trafficking
Alongside their report, reviewers assign a status to the article:
| Invited Reviewers | |
|---|---|
| 1 | |
|
Version 1 19 Jan 26 |
read |
Provide sufficient details of any financial or non-financial competing interests to enable users to assess whether your comments might lead a reasonable person to question your impartiality. Consider the following examples, but note that this is not an exhaustive list:
Sign up for content alerts and receive a weekly or monthly email with all newly published articles
Already registered? Sign in
The email address should be the one you originally registered with F1000.
You registered with F1000 via Google, so we cannot reset your password.
To sign in, please click here.
If you still need help with your Google account password, please click here.
You registered with F1000 via Facebook, so we cannot reset your password.
To sign in, please click here.
If you still need help with your Facebook account password, please click here.
If your email address is registered with us, we will email you instructions to reset your password.
If you think you should have received this email but it has not arrived, please check your spam filters and/or contact for further assistance.
Comments on this article Comments (0)