ALL Metrics
-
Views
-
Downloads
Get PDF
Get XML
Cite
Export
Track
Research Article

Effectiveness of Cranio-Cervical Osteopathic Techniques in Combination with Transcranial Direct Current Stimulation (tDCS) for Migraine: A Randomized Controlled Trial

[version 1; peer review: awaiting peer review]
PUBLISHED 20 Jan 2026
Author details Author details
OPEN PEER REVIEW
REVIEWER STATUS AWAITING PEER REVIEW

Abstract

Background

Migraine is a leading cause of disability worldwide, often complicated by cervical dysfunction and central sensitization. Non-phamacological strategies such as transcranial direct current stimulation (tDCS) and osteopathic manual therapy show promise, but their combined efficacy remains underexplored. This study aims to evaluate the effectiveness of combining active tDCS with physiotherapy compared to sham tDCS plus physiotherapy in patients with chronic migraine.

Methods

A single-center, single-blind randomized controlled trial was conducted at Sri Aurobindo University, India. A total of 160 participants with chronic migraine were randomized into two groups: Experimental Group A (Active tDCS + Cranio-cervical osteopathic therapy) and Control Group B (sham tDCS + Cranio-cervical osteopathic therapy). Interventions were delivered over six weeks (18 sessions). The outcomes were pain intensity measured by the Visual Analogue Scale (VAS), headache frequency and duration, pressure pain threshold (PPT), balance (MiniBESTest), quality of life (SF-36), Migraine Disability Assessment Score (MIDAS), Pittsburgh Sleep Quality Index (PSQI), Migraine Symptom Severity Score (MSSS). Statistical analyses employed ANCOVA and linear mixed-effects models with false discovery rate correction.

Results

Compared with controls, GroupA demonstrated significantly greater reduction in VAS (= 2.10, p < 0.001, d = 1.15), headache frequency (∆ = 1.85/week, p < 0.001) and duration (∆ =9.45 minutes/day, p < 0.001). Significant improvements were also observed in trapezius PPT, balance (+4.30 points, p < 0.001), quality of life, dsability and symptom severity. No between-group differences was noted for the sub-occipital PPT, anterior scalene PPT and PSQI.

Conclusion

Active tDCS combined with physiotherapy provides superior clinical benefits over sham stimulation, reducing migraine intensity, frequency, disability and improving function and qulaity of life. This multimodal approach addresses both central sensitization and peripheral dysfunction, support its role as an effective non-phamacological strategy in migrain management.

Trial Registration

Enrolled in the International Clinical Trials Registry on December 20, 2021 (CTRI/2021/12/038734). On July 18, 2020, the Sri Aurobindo Institute of Allied Health & Paramedical Sciences’ Research & Ethical Committee gave its approval.

Keywords

Chronic Migraine, transcranial direct current stimulation, physiotherapy, osteo- pathic manual techniques, non-pharmacological therapy

1 Introduction

1.1 Burden of migraine

Migraine affects over one billion people worldwide and is the second leading cause of years lived with disability in those below 50 years of age, making it a highly incapacitating neurological condition.1 According to Sic et al., frequent assaults lower quality of life and place a heavy financial burden on society due to missed output and medical expenses.2 Clinical overlap with cervicogenic headache, which frequently manifests as cranial autonomic symptoms and neck pain, makes diagnosis more difficult and can result in incorrect classification and ineffective treatment.3 So it’s important to address both cervical and cranial factors. By combining peripheral cervical biomechanic restoration with central modulation of cortical excitability, transcranial direct current stimulation (tDCS) in conjunction with cranio-cervical osteopathic techniques presents a novel strategy that reduces nociceptive input and central sensitization in a synergistic manner.4,5

1.2 Pathophysiological considerations

The trigeminovascular system, cerebral pain networks, and peripheral nociceptive inputs interact intricately in the neurological basis of migraine. Cross-sensitization between cranial and cervical nociceptors is facilitated by the convergence of afferents from the trigeminal nerve and upper cervical spinal nerves in the trigemino-cervical complex (TCC), a crucial relay structure.5 By sensitizing neurons in the TCC and encouraging central hyperexcitability, continuous input from cervical structures like facet joints, muscles, or ligaments may make migraines worse.6

Additional evidence connecting cervical deficits to altered cortical excitability and pain sensitivity in migraine and associated diseases comes from newly developed neuroimaging and neurochemical research.7 These results lend credence to the idea that cervical afferents play a role in chronicity, allodynia, and migraine beginning. Additionally, the importance of neuro-immune interactions is becoming more well acknowledged. A feedback loop that prolongs pain and impairment is created when mechanical dysfunctions interact with inflammation, glial activation, and autonomic dysregulation.4

Crucially, migraine chronification is also influenced by the autonomic nervous system and the hypothalamic-pituitary-adrenal (HPA) axis. The frequency and severity of headaches have been associated with dysregulated stress responses, which supports treatments that alter both the central and peripheral nervous systems.2 When combined, these findings demonstrate the need for multimodal therapies that can concurrently address the neurophysiological, biomechanical, and autonomic factors that contribute to migraine.

1.3 Current non-pharmacological approaches in migraine

1.3.1 Manual therapy and osteopathic interventions

Non-Pharmacological management strategies have gained increasing interest due to limitations of pharmacotherapy, including side effects, contraindications and medication overuse headaches. Osteopathic and manual therapy methods can enhance function and decrease nociceptive input, particularly in patients with cervical comorbidities.4,8 In order to modulate cortical excitability, restore biomechanics, and attenuate both central sensitization and peripheral triggers, a novel approach combining transcranial direct current stimulation (tDCS) with cranio-cervical osteopathic interventions leverages both central and peripheral mechanisms.4,5

Migraine frequency, severity, and related disability have all been shown to decrease with manual therapy.8 By focusing on cranio-cervical structures, osteopathic manipulative treatments seek to normalize afferent input to the TCC, decrease mechanical dysfunction, and restore mobility. Due to their direct convergence with trigeminal afferents, there is evidence that modifications at the C2-C3 segments can be especially helpful.9

Spinal and cranio-cervical treatments have been shown to be successful headache management techniques in recent studies. When it comes to cervicogenic headache, instrument-assisted soft tissue mobilization and spinal manipulation provide more advantages than each therapy alone.10 Additionally, systematic evaluations show that manual treatment improves functional results, including mandibular mobility, and decreases discomfort in the craniomandibular and cervical regions.11 According to Barsotti et al.,4 osteopathic therapies are mechanobiologically based and have the ability to affect central pain regulation and neuroimmune pathways. However, inconsistent results are a reflection of differences in study designs, patient characteristics and protocols.12

1.3.2 Neuromodulation therapies

Neuromodulation is now another effective non-pharmacological method for treating headaches. Low-amplitude electrical currents are used in transcranial direct current stimulation (tDCS), a non-invasive brain stimulation method, to alter cortical excitability and plasticity. Affecting central pain networks, anodal stimulation over motor or prefrontal cortices can lessen headache frequency and intensity.1

The foundation for future efficacy trials is laid by preliminary safety and feasibility studies that show tDCS in conjunction with conservative therapies is both feasible and well tolerated in individuals with cervicogenic headaches.13 By altering neuronal and muscle responses, other neuromodulatory techniques, including repetitive neuromuscular magnetic stimulation (rNMS), have also demonstrated promising outcomes in headache populations.14,15

Despite these developments, the evidence is still preliminary, and the best stimulation regimens, treatment lengths, and patient subgroups with the highest potential for benefit have not yet been determined. Additionally, peripheral dysfunctions, which frequently coexist in migraine sufferers, are not immediately addressed by tDCS, despite the fact that it primarily treats cortical excitability. This drawback offers justification for combining neuromodulation with osteopathic and other peripheral therapies.4,5

1.4 Rationale for a combined approach

1.4.1 Neurophysiological and biomechanical synergy

Integrating tDCS with cranio-cervical osteopathic methods is a new treatment approach that takes advantage of the complementing central and peripheral modulation processes. While osteopathic therapies restore biomechanical function and decrease nociceptive drive from cervical tissues, tDCS affects cortical excitability and reconfiguration of the pain network.13,14 According to Hong et al., and Sic et al., these modalities may work in concert to reduce peripheral stimuli and attenuate central sensitization.2,16

Neuroplasticity plays a central role in this potential synergy. By enhancing cortical responsiveness to afferent input, tDCS may amplify the therapeutic effects of manual therapy, facilitating long-term modulation of pain pathways. Concurrently, cranio-cervical manipulations may reduces abnormal input into the TCC, therapy lowering the burden of nociceptive stimuli reaching sensitized cortical areas.16 Additionally, by targeting stress-related processes connected to migraine chronification, these techniques may aid in the regulation of autonomic dysfunction and the HPA axis.2

1.5 Evidence gap

Despite strong theoretical underpinnings, evidence for the combined use of tDCS and osteopathic/manual therapy in migraine remains scarce. Current research typically assesses each modality separately. For instance, feasibility studies stress the safety of tDCS in conjunction with conservative treatment,13 while systematic reviews highlight the advantages of manual therapy.12 There aren’t enough studies, though, that examine their combined effectiveness directly.

Furthermore, multimodal interventions that target both central and peripheral systems appear to be more beneficial than unimodal therapies, according to prior studies in relevant fields such cervico-vestibular rehabilitation following traumatic brain injury.17 However, the additive or synergistic effects of combining tDCS with cranio-cervical osteopathic treatments in migraine have not yet been specifically investigated in a randomized controlled research. This disparity offers a great chance to develop mechanism-driven, individualized non-pharmacological treatment for migraineurs.

1.6 Study objective

1.6.1 Primary objective

To evaluate the efficacy of combining tDCS with cranio-cervical osteopathic techniques in reducing migraine frequency and intensity compared to control interventions.

1.6.2 Secondary objective

To assess improvements in headache-related disability, quality of life and cervical function.

2. Methodology

2.1 Study design and setting

This single-center and single-blind randomized controlled trial was carried out from 2020 to 2022 at Sri Aurobindo University in Indore, Madhya Pradesh, India. It examined the efficacy of transcranial direct current stimulation (tDCS) in conjunction with traditional physiotherapy against placebo in patients who experienced chronic migraines.

2.1.1 Ethical approval and trial registration

The current randomized controlled clinical study complied with the Declaration of Helsinki’s (World Medical Association, 2013) ethical guidelines for studies involving human subjects. Ethical approval was received from the Institutional Ethics Committee of Sri Aurobindo Medical College and P.G. Institute, Indore (Ethical No. SAIMS/IEC/2020/07/21: approval dated 18 July 2020). The study was prospectively registered with the Clinical Trials Registry of India (CTRI/2021/12/038734); dated 20 December 2021. Before being included, each participant was briefed on the goals, methods, possible hazards, and advantages of the study, and written informed consent was acquired. Parents or legal guardians were not required as all participants were adult above 18 years old.

2.2 Randomization and blinding

A computer-generated sequence was used to randomly assign participants, and an independent researcher constructed sealed opaque envelopes to conceal the allocation. In order to minimize measurement bias, the study was single-blind, meaning that both participants and result assessors were blinded to group assignment. The institution’s outpatient clinic served as the source of recruitment. The CONSORT 2010 standards were followed in the reporting of this study.

2.3 Participant

A total of 170 eligible individuals were selected from a total of 200 screened participants, and they were randomized into two groups: an experimental group (n = 85) and a control group (n = 85). There were 160 individuals in the final analysis, 80 in each group ( Figure 1). Inclusion Criteria comprised migraineurs with chronic migraines (>15 days per month) or episodic migraines (≤15 days per month). Additionally, it was recorded what percentage of subjects experienced aura compared to those who did not. People with migraines between the ages of 18 and 50 who indicated a desire to participate and had no coexisting medical conditions were included in the trial. The study also included participants who were able to keep their promises to attend the mandatory evaluation sessions and adhere to the intervention procedure. Exclusion Criteria included participants with neurological problems, musculoskeletal injuries, chronic pain issues, or those using drugs that could impair balance or pain perception. Additionally, individuals were not allowed to participate if they were pregnant, had severe physical problems, or were unable to follow the study’s rules.

24a539f6-034d-4025-a306-2e3aae3806d8_figure1.gif

Figure 1. CONSORT flow diagram showing enrollment, allocation, duration of intervention and analyses.

2.4 Sample size calculation

G*Power (v3.1.9.2) was used to determine the sample size based on preliminary Visual Analogue Scale (VAS) data, yielding an effect size of 0.8576. There were at least 36 participants in each group, according to a one- tailed t-test (α = 0.05, power = 0.80). Two groups of 180 participants were randomly assigned to each of the two groups (control and experimental) with 85 participants in each group. The final analysis contained 80 participants each group after dropouts were taken into consideration.

2.5 Medication control

Participants continued stable preventive medication, including beta blockers, anticonvulsant and antidepressants, for at least 6 weeks prior to the study. Use of acute medications such as tripants and NSAIDs was permitted as need. psychotropic medications were restricted, except for stable low-dose SSRIs, benzodiazepines or antipsychotics at doses 20 mg diazepam equivalent. Medication adherence was monitored throughout the study to minimize pharmacological confounding.

2.6 Group allocation

160 participants were divided into two groups at random in a 1:1 ratio. Participants were assigned to: Experimental Group A (n = 80) received active transcranial direct current stimulation (tDCS) Control Group B (n = 80) received sham tDCS in addition to traditional physiotherapy.

As previously mentioned, randomization and allocation concealment were carried out. The 6-week intervention program was administered to both groups, and blinded evaluators conducted outcome assessments to guarantee objective measurement.

2.7 Evaluating outcome measures

2.7.1 Pain intensity

The Visual Analogue Scale (VAS), a 10-cm horizontal line with a range of 0 (no pain) to 10 (worst pain imaginable), was used to evaluate the intensity of pain. To capture variability, participants independently recorded their migraine pain throughout the day and at night. The VAS correlates favorably with other subjective pain measures and has strong face and concept validity. Additionally, it is sensitive to clinical change and has a high degree of dependability, with test-retest reliability usually above ICC = 0.80.

2.7.2 Pain perception

Pressure Pain Threshold (PPT), measured in kilopascals (kPa), was determined with a digital algometer. Three trials were conducted per location, with the mean being recorded, and the probe was placed perpendicularly to the suboccipital and trapezius muscles. For measuring mechanical pain sensitivity and distinguishing between migraineurs and healthy controls, PPT is a proven method. According to standardized techniques, it has good intra- and inter-rater reliability, with ICC values ranging from 0.75 to 0.97.

2.7.3 Balance assessment

The Mini Balance Evaluation Systems Test (Mini-BESTest), which consists of 14 tasks assessed on a 3-point scale (0–2 each task), was used to assess balance. The evaluation records dynamic gait, sensory orientation, and anticipatory and reactionary postural control. Strong construct validity is demonstrated by the Mini- BESTest’s correlation with functional mobility and fall risk in neurologic and musculoskeletal groups. With test-retest ICC of approximately 0.89 and inter-rater ICC values above 0.90, its dependability is outstanding.

2.7.4 Quality of life

The Short Form-36 (SF-36) questionnaire was used to gauge health-related quality of life. Physical function- ing, physical discomfort, vitality, and emotional well-being are among the eight dimensions that are assessed by this self-administered tool. Higher scores indicate better health status; the scale runs from 0 to 100. Robust construct validity has been demonstrated by the SF-36’s broad validation across a range of groups and situations. Cronbach’s alpha is above 0.80 in the majority of domains, indicating strong reliability.

2.7.5 Sleep quality

The Pittsburgh Sleep Quality Index (PSQI), which consists of 19 self-reported items that produce a global score, was used to measure the quality of sleep. Poor sleep quality is indicated by a total score higher than 5. The PSQI exhibits a good connection with objective sleep measures like polysomnography and has great content and criteria validity. Additionally, it exhibits strong test-retest reliability (ICC = 0.85) and internal consistency (Cronbach’s α ≈ 0.83), making it a reliable indicator of sleep disturbance.

2.7.6 Migraine symptom severity

The intensity of migraine-related symptoms, such as headache, nausea, photophobia, and phonophobia, was measured using the Migraine Symptom Severity Score (MSSS). An overall burden score is calculated by adding the scores from each individual item. The ability of the MSSS to distinguish between patients with mild, moderate, and severe migraine has demonstrated its strong construct validity. With Cronbach’s alpha values ranging from 0.78 to 0.82, its internal consistency is deemed acceptable, and test-retest reliability remains consistent after multiple administrations.

2.7.7 Migraine disability

The Migraine Disability Assessment Score (MIDAS) was used to measure impairment associated to migraines. The number of days missed from social, domestic, and occupational activities as a result of migraines during the previous three months is recorded in this questionnaire. Five disability grades are derived from the total scores. Strong construct and criterion validity have been shown by MIDAS, which correlates with headache frequency and intensity. Good test-retest reliability, with ICC values of approximately 0.83, supports its reproducibility.

2.8 Intervention protocol

The intervention was administered by trained medical practitioners with experience in the pertinent clinical setting. Eligibility requirements at the site or provider level were limited to those required for the intervention’s safe and reliable delivery.

Duration of Intervention Group A and Group B received 60-minute per sessions per week, for a total of six weeks (18 sessions overall).

2.8.1 Experimental Group A

Participants received active Transcranial Direct Current Stimulation (tDCS) at an intensity of 2 milliamperes (mA) for 30 minutes. The anodal electrode was placed over the left Dorsolateral Prefrontal Cortex (DLPFC), while the cathodal electrode was positioned 1.5 centimeters anterior to the central scalp point (Cz) according to the 10-20 EEG system. In addition, participants performed conventional physiotherapy exercises.

2.8.2 Control Group B

Participants received sham Transcranial Direct Current Stimulation (tDCS) with the same electrode placement. The current was ramped up for 15 seconds and then turned off to mimic stimulation sensations. They also performed conventional physiotherapy exercises.

2.8.3 Conventional physiotherapy protocol

This included 15 minutes of breathing exercise (diaphragmatic breathing, box breathing and alternate nostril breathing) and 15 minutes of cranio-cervical stretching and strengthening exercises targeting the sternocleidomastoid, suboccipital and cranio-cervical muscles. Additionally, lifestyle counseling, sleep hygiene education and hydration guidance were provided to all participants

2.9 Statistical analysis

SPSS version 24.0 was used to analyze the data. The Shapiro-Wilk test was used to determine normality. The Mann-Whitney U test (between-group) or the Wilcoxon signed-rank test (within-group) were used to evaluate non-normally distributed variables. ANCOVA (post-score group + baseline) was used in the primary analysis, which reported p-values, Cohen’s d effect sizes, and 95% CI. Change-score t-tests or Mann-Whitney U tests, as well as linear mixed-effects models for repeated measures where participant was a random intercept and group, time, and group×time were fixed effects were used to analyze secondary outcomes. The primary outcome was defined as VAS, while the secondary outcomes were exploratory with FDR correction. Reporting adhered to CONSORT criteria, providing precise units, effect sizes, 95% CIs, and p-values.

2.10 Patients and public involvement, and protocol amendment

This research was not designed, conducted, reported, or disseminated by patients or members of the public. There were no significant modifications made to the trial design. Results, qualifying standards, or evaluations following the start of the trial.

3 Results

3.1 participants flow and baseline characteristics

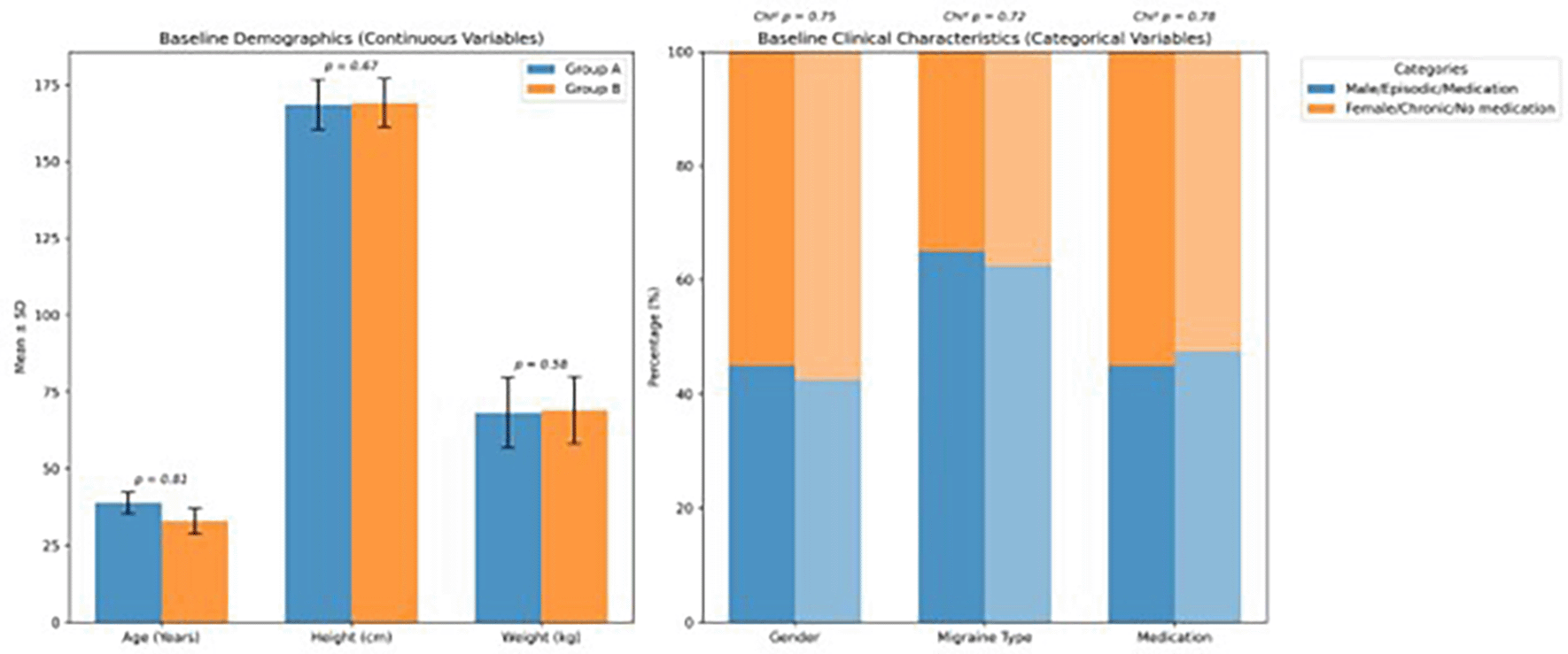
170 participants in total were randomized 1:1 (85 in Group A received active tDCS + Cranio-cervical osteopathic therapy), and 85 in Group B received sham tDCS + Cranio-cervical osteopathic therapy). there were 10 participant’s withdrawal, finally 80 participants from each group, were analysed. There was no differential loss to at the end of intervention in this reporting; all randomized participants were included in the intention-to-treat analysis (CONSORT flow provided as Figure 1). The groups’ baseline clinical and demographic traits were equal ( Table 1). The Shapiro-Wilk test was used to verify that continuous variables were normal, and parametric analyses were compatible with the majority of result distributions. The study participants’ baseline clinical and demographic traits, along with pertinent clinical metrics, are displayed in Figure 2. The information is displayed as counts and percentages for categorical variables (gender, type of migraine, and medication) and as mean ± standard deviation for continuous variables (age, height, and weight).

Table 1. Baseline demographics and clinical characteristics.

Baseline demographicGroup A (n = 80) mean ± SDGroup B (n = 80) mean ± SD Between group P- Value
Age (Years) 38.85 ± 3.5432.95 ± 4.120.81
Height (cm) 168.5 ± 8.1169.0 ± 7.90.67
Weight (kg) 68.2 ± 11.469.0 ± 10.90.58
Demographic charactericticsGroup A (n = 80) n(%)Group B (n = 80) n(%) Between group Chi-square
Gender-male 36 (45.0%)34 (42.5%)0.75
Gender-female 44 (55.0%)46 (57.5%)
Migraine Type- Episodic 53 (65.0%)50 (62.5%)0.72
Migraine Type- Chronic 27 (35.0%)30 (37.5%)
Preventive medication use 36 (45.0%)38 (47.5%)0.78
No medication 44 (55.0%)42 (52.5%)
24a539f6-034d-4025-a306-2e3aae3806d8_figure2.gif

Figure 2. Baseline demographics and clinical characteristics.

3.2 Migraine characteristics

Both groups had comparable migraine type, nausea and vomiting symptoms and gender distribution at baseline as given in Table 2. No statistically significant differences were observed in headache frequency or severity prior to intervention. Figure 3 shows the comparison of migraine type, nausea and vomiting symptoms and gender distribution.

Table 2. Migraine characteristics and Gender distribution (n = 160).

Migraine clinical charactericticsGroup A (n = 80) mean ± SDGroup B (n = 80) mean ± SD Between group P- Value
Gender - Male/female36/4434/460.74
Migraine Episodic (mean day/month)8.4 ± 4.28.7 ± 4.00.62
Migraine Chronic (mean day/month)12.4 ± 3.212.7 ± 4.90.65
Migraine clinical characterictics Group A (n = 80) n(%) Group B (n = 80) n(%) Between group Chi-square
Nausea Reported49 (61.3%)47 (58.8%)0.72
Vomiting Reported31 (38.7%)33 (51.2%)
24a539f6-034d-4025-a306-2e3aae3806d8_figure3.gif

Figure 3. Migraine frequency characteristics, gender and symptoms distribution.

3.3 Migraine Pain Intensity (VAS) and Headache Frequency and Duration (HFD)

Table 3 shows the migraine pain intensity measured by VAS and head frequency and duration (HFD) for each study groups. VAS ratings significantly decreased in both groups, with Group A seeing a greater within-group change, according to within-group paired t-tests. The between-group difference in change (Group A minus Group B) was 2.10 (95% CI 2.67 to 1.53), p < 0.001, Cohen’s d = 1.15, preferring active tDCS, according to ANCOVA (post-score as dependent variable, baseline score as covariate). Consistent with ANCOVA, a significant group×time interaction for VAS was established using a linear mixed-effects model (random intercept for participant; fixed effects: group, time, group×time) (interaction coefficient = 2.10, 95% CI 2.68 to 1.52, p < 0.001).

Table 3. Pain outcome: Visual analogue scale and headache frequency and duration.

Outcome (Units)GroupPre-Intervention mean ± SDPost-Intervention mean ± SD Mean change (Post-Pre) Within-group p-value (paired t) Between Group Mean change (A-B) (95% CI) Between Group p-value (ANCOVA) Cohen’s d
VAS (0-10) A7.15 ± 1.633.65 ± 1.39-3.50<0.001-2.10 (-2.67, -1.53)< 0.001-1.15
B6.45 ± 2.265.05 ± 1.85-1.40<0.001
Headache duration (minutes/day) A23.10 ± 6.5010.55 ± 6.50-12.55<0.001-9.45 (-12.22, -6.68)< 0.001-1.06
B26.55 ± 11.7623.45 ± 8.79-3.10<0.001
Headache Episode (per week) A6.05 ± 2.282.65 ± 1.23-3.40<0.001-1.85 (-2.47, -1.23)< 0.001-0.92
B5.35 ± 2.163.80 ± 1.87-1.55<0.001

While in context to headache frequency in terms of (minutes per day) and in terms headache episodes per week of Group A experienced greater improvements in headache frequency (episodes/week) and mean daily headache duration (minutes/day). Frequency 1.85 episodes/week (95% CI 2.47 to 1.23, p < 0.001; Cohen’s d = 0.92) and length 9.45 minutes/day (95% CI 12.22 to 6.68, p < 0.001; Cohen’s d = 1.06) were the between-group adjusted mean differences (A B). Depending on the measure, Group B’s within-group paired t-tests were either non-significant or less significant than Group A’s (p < 0.001). For both frequency and duration, the linear mixed model revealed significant group×time interactions (p < 0.001). Figure 4 displays the pre- and post-intervention pain intensity (VAS 0–10), headache frequency (episodes/week), and headache duration (minutes/day) for Groups A and B. The mean ± SD is shown by the bars, and Group A’s pain outcomes were reduced more than Group B’s.

24a539f6-034d-4025-a306-2e3aae3806d8_figure4.gif

Figure 4. Pre- and Post-intervention of the Visual Analogue scale, Headache frequency and duration.

3.4 Pressure Pain Threshold (PPT) at sub-occipital, anterior scalene and trapezius site

The anterior scalene, trapezius, and sub-occipital pressure pain thresholds rose improved in both groups. In Table 4, Group A was numerically favored by sub-occipital and anterior scalene changes, but their between-group CIs included zero (sub-occipital ∆ = +0.19, 95% CI 0.33 to 0.71, p = 0.48; anterior scalene ∆ = +0.38, 95% CI 0.45 to 1.21, p = 0.37). For trapezius, between-group adjusted differences in change were significant (∆ = +1.54 kPa, 95% CI 0.91 to 2.17, p < 0.001, d = 0.76). Many sites showed significant results from within- group paired testing, shown in Table 4. In mixed-effects models, the anterior scalene and sub-occipital regions did not exhibit a significant group×time interaction (p > 0.05), whereas the trapezius PPT did (p < 0.001). Figure 5 displays the pressure pain thresholds (PPT, kPa) for Group A and Group B at the sub-occipital, anterior scalene, and trapezius muscle sites before and after the intervention. The mean ± SD is shown by the bars, and Group A outperformed Group B in terms of trapezius PPT improvements.

Table 4. Pressure pain threshold outcome at site of muscles.

PPT Site (Units: kPa)GroupPre-Intervention mean ± SDPost-Intervention mean ± SD Mean change (Post-Pre) Within-group p-value (paired t) Between Group Mean change (A-B) (95% CI) Between Group p-value (ANCOVA) Cohen’s d
Sub-occipital A7.11 ± 1.118.66 ± 2.091.55<0.001+0.19 (-0.33, 0.71)0.4780.11
B6.33 ± 1.757.69 ± 1.231.36<0.001
Anterior Scalene A7.83 ± 2.0610.54 ± 2.962.71<0.001+0.38 (-0.45, 1.21)0.3710.14
B7.23 ± 3.149.56 ± 1.382.33<0.001
Trapezius A6.05 ± 2.2812.50 ± 1.312.97<0.001+1.54 (0.91, 2.17)<0.0010.76
B9.09 ± 2.1110.52 ± 2.951.43<0.001
24a539f6-034d-4025-a306-2e3aae3806d8_figure5.gif

Figure 5. Pre- and post-intervention outcome of Presure Pain Threshold at muscle sites.

3.5 Balance issues in migraine: Balance (Mini-BESTest)

Balance scores improved in both groups, with a larger improvement in Group A in Table 5, The change was +4.30 points (95% CI 2.92 to 5.68, p < 0.001; Cohen’s d = 0.96) between groups. Each group’s paired t-tests were significant as given in Table 5. Mini-BESTest showed a significant group×time interaction (p < 0.001) according to the mixed-effects model. Figure 6 displays the balance scores for Groups A and B before and after the intervention as determined by Mini-BESTest. Bars reflect mean ± SD, and both groups improved, although Group A’s improvement in balancing performance was greater.

Table 5. Balance outcome Mini-BESTest score pre- and post-intervention change.

Group Pre-Intervention mean ± SD Post-Intervention mean ± SD Mean change (Post-Pre) Within-group p-value (paired t) Between Group Mean change (A-B) (95% CI) Between Group p-value (ANCOVA) Cohen’s d
A14.05 ± 5.3422.15 ± 1.878.10<0.001+4.30 (2.92, 5.68)0.0010.96
B16.55 ± 4.6620.35 ± 3.573.80<0.001
24a539f6-034d-4025-a306-2e3aae3806d8_figure6.gif

Figure 6. Mean change (Post-and Pre-intervention) of Balance outcome via Mini-BESTest.

3.6 Disability due to migraine and quality of life

In Table 6, Group A (within-group) experienced a significant decrease in migraine disability (MIDAS), with an adjusted between-group difference of ∆ = 7.50 (95% CI 8.67 to 6.33, p < 0.001; d = 1.98). Group A experienced a greater improvement in health-related quality of life (SF-36 total): adjusted ∆ = +4.64 (95% CI 2.95 to 6.33, p < 0.001; d = 0.85). Results from mixed-effects and ANCOVA analyses were consistent. Groups A and B’s quality of life (SF-36, 0–100) and migraine-related disability (MIDAS) ratings before and after the intervention are displayed in Figure 7. The mean ± SD is shown by bars. Both groups experienced improvements in quality of life and disability, however Group A experienced slightly larger improvements in quality of life and larger decreases in migraine disability than Group B.

Table 6. Pre and post-intervention change outcome in Migraine Disability (MIDAS) and Quality of life (SF-36).

Outcome (Units)GroupPre-Intervention mean ± SDPost-Intervention mean ± SD Mean change (Post-Pre) Within-group p-value (paired t) Between Group Mean change (A-B) (95% CI) Between Group p-value (ANCOVA) Cohen’s d
MIDAS (Score) A17.45 ± 2.369.15 ± 2.98-8.30<0.001-7.50 (-8.67, -6.33)<0.001-1.98
B16.25 ± 4.4715.45 ± 4.74-0.800.12
SF-36 (0-100) A16.25 ± 4.4715.45 ± 6.4628.8<0.001+4.64 (-2.95, 6.33)<0.0010.85
B17.12 ± 1.1841.28 ± 5.3824.16<0.001
24a539f6-034d-4025-a306-2e3aae3806d8_figure7.gif

Figure 7. Changes in quality of life (SF-36) and migraine disability (MIDAS) before and after the intervention.

3.7 Sleep quality in migraine and severity of symptoms

In Table 7, PSQI change across groups was not statistically significant and was minor (∆ = +0.03, 95% CI 0.28 to 0.34, p = 0.85; d = 0.03). The between-group difference in the Migraine Symptom Severity Score (MSSS) was statistically and clinically significant, with ∆ = 6.00 (95% CI 7.03 to 4.97, p < 0.001; d = 1.81). The MSSS group×time interaction was validated by mixed-effects modeling (p < 0.001), while there was no significant interaction for PSQI. Groups A and B’s pre- and post-intervention ratings for migraine symptom severity (MSSS) and sleep quality (PSQI, Global Score) are shown in Figure 8. The mean ± SD is shown by bars. While there is little difference in the quality of sleep between the two groups, Group A exhibits a larger decrease in the intensity of migraine symptoms than Group B.

Table 7. Pre and post-intervention outcome in Sleep Quality (PSQI) and Migraine Symptom Severity Score (MSSS).

Outcome (Units)GroupPre-Intervention mean ± SDPost-Intervention mean ± SD Mean change (Post-Pre) Within-group p-value (paired t) Between Group Mean change (A-B) (95% CI) Between Group p-value (ANCOVA) Cohen’s d
PSQI (Global Score) A2.95 ± 1.101.75 ± 0.85-1.20<0.001+0.03 (-0.28, 0.34)0.8520.03
B2.95 ± 1.121.61 ± 0.90-1.23<0.001
Mygraine severity A24.82 ± 3.5014.16 ± 3.00-10.66<0.001-6.00 (-7.03, - 4.97)<0.001-1.81
B24.82 ± 3.5020.16 ± 3.20-4.66<0.001
24a539f6-034d-4025-a306-2e3aae3806d8_figure8.gif

Figure 8. Sleep Quality (PSQI) and Migraine Symptom Severity Score (MSSS) results before and after the intervention.

3.8 Multiple comparisons and False Discovery Rate (FDR) adjustment

The key outcome was selected to be the Visual Analogue Scale (VAS). The Benjamini–Hochberg false discovery rate (FDR) correction was used to secondary outcome p-values, and secondary outcomes were regarded as exploratory. Significant between-group differences persisted for VAS, headache frequency, headache duration, trapezius PPT, Mini-BESTest, MIDAS, SF-36, and MSSS following FDR correction. Following FDR, PSQI, anterior scalene PPT, and sub-occipital PPT were not statistically significant.

Figure 9, shows Group A and Group B’s pre- and post-intervention results on a variety of metrics. The mean values ± SD are shown by bars. Group A’s pre- and post-intervention values are shown by skyblue and dodgerblue, while Group B’s pre- and post-intervention values are shown by light coral and red. The results include migraine disability (MIDAS), quality of life (SF-36), migraine symptom severity (MSSS), pain intensity (VAS), headache frequency and duration, pressure pain thresholds (PPT) at muscle locations, balance (Mini-BESTest), and sleep quality (PSQI). With Group A typically exhibiting larger decreases in pain and disability as well as increases in functional outcomes when compared to Group B, the figure illustrates both within-group changes and overall patterns of improvement.

24a539f6-034d-4025-a306-2e3aae3806d8_figure9.gif

Figure 9. Pre-and post-intervention Outcomes with within- and Between Group changes.

The result in this randomized study stated that the Comparing active tDCS and traditional physiotherapy to sham tDCS plus physiotherapy, the former resulted in greater and clinically significant improvements in pain intensity, headache frequency and duration, balance, migraine-related disability, quality of life, and symptom severity. There were no statistically significant differences between groups in a number of secondary outcomes, including the anterior scalene PPT, PSQI, and sub-occipital PPT. Mixed-effects modeling supports all reported between-group effects, which are corrected for baseline. Confidence intervals and effect size estimates would be further refined by precise participant-level analyses.

4 Discussion

This randomized controlled experiment, which included 160 individuals overall, examined the combined effects of cranio-cervical osteopathic treatments and tDCS in migraine patients. When compared to patients getting sham tDCS with physiotherapy, the main conclusion was that individuals receiving active tDCS plus traditional physiotherapy showed noticeably larger improvements in pain intensity, disability, sleep quality, and balance. Functional outcomes, such as balance ability, health-related quality of life, and PPT, significantly improved when VAS scores decreased. The study’s main goal was to determine whether a combined central-peripheral therapy approach may provide better clinical outcomes than unimodal approaches, and our findings support that goal.

4.1 Contextualization of experimental outcomes

This trial was motivated by two complementary insights. Migraine involves both central sensitization and peripheral musculoskeletal contributions, particularly via cervical afferents and the trigemino-cervical complex.3,6 tDCS can modulate cortical excitability and reorganize pain networks,5,18,19 while osteopathic/manual therapies target cervical dysfunction and peripheral nociceptive input.4,20,21 Combining these approaches would yield additive or synergistic effects. Consistently, the combined intervention produced superior pain reduction and functional recovery compared with physiotherapy plus sham stimulation.22,23

4.2 Non-Pharmacological approaches needed in migraine

The current study emphasizes the function of non-pharmacological treatments in the management of migraines, showing that methods like manual therapy, exercise therapy, neuromodulation, and non-invasive brain stimulation can either supplement or, in certain situations, offer substitutes for pharmaceutical treatment.2426 According to recent evaluations, non-pharmacological therapies are becoming more and more important in treating primary headache disorders.1,27,28 Dysregulation of the chronic stress increase its frequency and severity, highlighting the need for stress-targeted treatments.2 The diagnosis and treatment of cranial autonomic symptoms and neck discomfort are complicated, hence a multimodal approach is necessary.3,2931

4.3 Neurophysiological mechanisms

The effectiveness of manual and neuromodulatory therapies to alter both central and peripheral pain processing. Migraines are associated with altered cortical pain processing and poor descending inhibitory processes, according to evidence.5,19 Osteopathic and manual treatment techniques may be supported by the pathophysiology of primary headaches, which may also be influenced by neuro-immune interactions and mechanobiological alterations in cranial structures.4 Furthermore, there are similarities between migraine and cervicogenic orofacial pain, including brainstem sensitization and cervical muscular dysfunction.6,20

4.4 Cervical and musculoskeletal contributions

Migraine sufferers frequently experience poor postural alignment, musculoskeletal dysfunctions, and cervical impairments.16,20,21 According to recent research, migraine chronification is associated with cervical spine deterioration, head-neck position, and myofascial pain.7 Additionally, the participation of sensitization processes has been supported by the widespread hypersensitivity to pressure pain that has been recorded in migraine.32,33 It has been demonstrated that manual therapy procedures that focus on the cervical and craniomandibular regions can enhance function and lessen orofacial pain.11,34,35

4.5 Manual therapy, spinal manipulation and exercise interventions

Our results support systematic reviews that show spinal manipulation, manual therapy, and exercise decrease the frequency and severity of migraines.810,12 These treatments seem to lessen musculoskeletal dysfunction, alter pressure pain thresholds, and increase cervical mobility. Given that migraine patients frequently exhibit vestibular and balance abnormalities, exercise therapy has also been linked to improvements in balance and functional capacity.17,36,37

4.6 Neuromodulation and brain stimulation

Repetitive transcranial magnetic stimulation (rTMS) and transcranial DCS have drawn interest as possible therapies for migraine and other chronic pain disorders.13,3840 Studies assessing electrode location reliability and cortical excitability have shown that electrode placement and polarity are critical to treatment effects.22,41 The viability of repetitive neuromuscular magnetic stimulation is also suggested by pediatric research, suggesting that neuromodulation may be possible across age groups.14,15 Additionally, a multimodal strategy for managing cervicogenic headaches has been demonstrated to be possible and safe when conservative methods like physiotherapy are supplemented with tDCS.13

4.7 Quality of life and sleep factors

Migraineurs frequently experience poor sleep, which can exacerbate the disease burden.42,43 Autonomic imbalance can be controlled and quality of life enhanced with non-invasive therapies.1 For tracking functional outcomes, instruments like the SF-36 and the Migraine Disability Assessment (MIDAS) are still crucial.25 Additionally, when selecting a treatment, the most annoying symptoms as described by the patient should be taken into account.26,44

4.8 Clinical implications

Our findings lend credence to the inclusion of non-pharmacological methods in the conventional management of migraines, such as manual therapy, exercise, spinal manipulation, and neuromodulation. Current guidelines for individualized and multimodal therapy approaches are in line with this.8,21 Clinicians may be able to reduce pain and disability more effectively by treating musculoskeletal dysfunctions, anomalies in cortical pain processing, and psychosocial comorbidities.

4.9 Limitation and future directions

More high-quality randomized controlled trials are required to assess long-term outcomes, the best intervention protocols, and combination therapeutic strategies, even if the data currently supports the use of non-pharmacological interventions.30,31 In addition, future studies should look into patient subgroups that are more likely to benefit, taking into account variables including stress reactivity, sleep disturbance, and cervical dysfunction.2,3,7

This study offers compelling proof that, when combined with cranio-cervical osteopathic treatments, tDCS produces better pain, disability, and related symptom reductions than physiotherapy using sham stimulation. This multimodal strategy matches the intricate neurophysiological underpinnings of migraine and provides a viable avenue for non-pharmacological treatment by targeting both central sensitization and peripheral dysfunction. These findings should be built upon in future studies to improve procedures and assess long-term results, ultimately bolstering the use of both manual and neuromodulatory therapy in the treatment of migraines.

5 Conclusion

This experiment offers strong proof that active tDCS plus physiotherapy benefited migraine sufferers more than sham stimulation plus physiotherapy. Mechanistic hypotheses of migraine pathogenesis were supported by statistically significant, clinically meaningful improvements in pain intensity, disability, quality of life, sleep, and balance. This multimodal technique provides a safe, practical, and efficient non-pharmacological option for migraine care by addressing both peripheral dysfunction and central sensitization.

The findings support the general trend toward mechanism-based, interdisciplinary management and highlight the possibility of combined neuromodulation and physiotherapy techniques to meet unmet requirements in migraine care. In order to maximize therapeutic translation, future studies should expand on these encouraging results by improving protocols, extending follow-up, and implementing biomarker-based stratification.

Ethical and consent statement

This randomized controlled study adhered to the Declaration of Helsink’s ethical guidelines. Approval was obtained from the Institutional Ethics Committee of Sri Auribindo Mwdical college and P. G Instutute, Indore (Ethical Approval No. SAIMS/IEC/2020/07/21; dated 18/07/2020). The study was prospectively registered with the Clinical Trials Registry of India (Registration No. CTRI/2021/12/038734). All participants, being adults, provided written informed after being briefed on the study’s objectives, procedures, risks and benefits.

Comments on this article Comments (0)

Version 1
VERSION 1 PUBLISHED 20 Jan 2026
Comment
Author details Author details
Competing interests
Grant information
Copyright
Download
 
Export To
metrics
Views Downloads
F1000Research - -
PubMed Central
Data from PMC are received and updated monthly.
- -
Citations
CITE
how to cite this article
Agrawal Garg D, Vyas R, Gehlot A et al. Effectiveness of Cranio-Cervical Osteopathic Techniques in Combination with Transcranial Direct Current Stimulation (tDCS) for Migraine: A Randomized Controlled Trial [version 1; peer review: awaiting peer review]. F1000Research 2026, 15:84 (https://doi.org/10.12688/f1000research.171391.1)
NOTE: If applicable, it is important to ensure the information in square brackets after the title is included in all citations of this article.
track
receive updates on this article
Track an article to receive email alerts on any updates to this article.

Open Peer Review

Current Reviewer Status:
AWAITING PEER REVIEW
AWAITING PEER REVIEW
?
Key to Reviewer Statuses VIEW
ApprovedThe paper is scientifically sound in its current form and only minor, if any, improvements are suggested
Approved with reservations A number of small changes, sometimes more significant revisions are required to address specific details and improve the papers academic merit.
Not approvedFundamental flaws in the paper seriously undermine the findings and conclusions

Comments on this article Comments (0)

Version 1
VERSION 1 PUBLISHED 20 Jan 2026
Comment
Alongside their report, reviewers assign a status to the article:
Approved - the paper is scientifically sound in its current form and only minor, if any, improvements are suggested
Approved with reservations - A number of small changes, sometimes more significant revisions are required to address specific details and improve the papers academic merit.
Not approved - fundamental flaws in the paper seriously undermine the findings and conclusions
Sign In
If you've forgotten your password, please enter your email address below and we'll send you instructions on how to reset your password.

The email address should be the one you originally registered with F1000.

Email address not valid, please try again

You registered with F1000 via Google, so we cannot reset your password.

To sign in, please click here.

If you still need help with your Google account password, please click here.

You registered with F1000 via Facebook, so we cannot reset your password.

To sign in, please click here.

If you still need help with your Facebook account password, please click here.

Code not correct, please try again
Email us for further assistance.
Server error, please try again.