Keywords
compositional data, coda, balances, ilr, visualization, rstats, r
This article is included in the RPackage gateway.
compositional data, coda, balances, ilr, visualization, rstats, r
A composition is a vector of positive measurements that sum to an arbitrary total1. Examples of compositions include measurements recorded in parts per million (ppm) or percentages, but also include measurements that are less obviously parts of the whole (e.g., count data generated by next-generation sequencing2). A component is one part of a composition. Compositional data analysis (CoDA) deals with the analysis of compositions. Compositional data, because they contain values bounded from zero to one, exist in a non-Euclidean space that render conventional statistical methods invalid. To deal with compositionality, CoDA typically begins with a log-ratio transformation that maps data into an unbounded space where conventional statistical methods can be used. The simplest transformations, the centered log-ratio transformation and the additive log-ratio transformation, use a simple reference as the denominator of the log-ratio. A more complex transformation, the isometric log-ratio transformation, transforms the composition with respect to an orthonormal basis3. Alternatively, one could analyze the log-ratio of each component to the other directly4,5.
Balances use a sequential binary partition (SBP) to define an orthonormal basis that splits the composition into a series of non-overlapping groups6. This design allows for an interpretation of the data at the level of the isometric log-ratio coordinates7. This SBP contains a diverging set of contrasts that are each interpretable as a measure of “Group 1 vs. Group 2” (following an isometric log-ratio transformation). For a D-part composition, the SBP defines D − 1 balances that decompose the variance such the sum of the sample-wise variances for each balance in the tree equals the total sample-wise variance6. Balances (like the centered log-ratio transformation and the isometric log-ratio transformation) satisfy all properties required for compositional data analysis: scale invariance, permutation invariance, perturbation invariance, and sub-compositional dominance (reviewed in 8 and elsewhere).
Although balances have proved useful for the analysis of compositional data, their usual application depends on generating a meaningful SBP. Sometimes, this involves manually creating an SBP based on expert opinion, with or without the assitance of exploratory analyses6. However, using expertise to build an SBP is not always desirable, especially for high-dimensional data (where each composition can measure thousands of components). Principal balance analysis is a data-driven alternative that, similar to principal component analysis, seeks to identify an SBP whose balances successively explain the maximal variance of a data set (a computationally expensive procedure approximated with heuristics)9,10. In the field of meta-genomics, where next-generation sequencing is used to count the relative abundance of microbe taxa, scientists have applied balances of SBPs to summarize and classify microbiome samples11. One study defined the SBP by hierarchically clustering the microbe taxa based on the outcome of interest12. Another defined the SBP based on the phylogenetic relationship between microorganisms13.
Once an SBP is generated, its balances can be visualized using a balance dendrogram14. The balance dendrogram illustrates (a) the distribution of samples across the balance, (b) the relationship between balances along the SBP tree, and (c) the decomposition of variance6,15. In addition, a balance dendrogram can show differences between sub-groupings of samples by coloring facets of the box plots. Although balance dendrograms capture a vast amount of data, the balance dendrogram may not provide the optimal visualization of balances. First, by building the figure around a tree, balance dendrograms place emphasis on the relationship between the balances, and not on the balances themselves. Second, each box plot has a unique scale positioned sporadically along the tree such that direct comparisons between one balance and all others become difficult. Third, the decomposition of variance uses lines that run parallel to the dendrogram branches, potentially confusing these concepts through use of a common symbol. In this software article, I present the R package balance for visualizing balances of compositional data. This package provides an alternative to the balance dendrogram that I hope will simplify balances for scientists less familiar with compositional data analysis.
Within the R package universe, there are three standalone and well-documented tools for general compositional data analysis: compositions16, robCompositions17, and zCompositions18. The compositions::CoDaDendrogram function plots an archetypal balance dendrogram. There are also a number of domain-specific tools, tailored to next-generation sequencing data, and shown to work effectively19,20: ALDEx221,22 and ANCOM23 for differential abundance analysis, SparCC24 and SPIEC-EASI25 for the correlation analysis of sparse networks, propr26,27 for proportionality analysis, and philr13 for the analysis of phylogeny-based balances. Of these, the philr package computes balances and visualizes them with dendrograms, but does not plot a balance dendrogram per se.
The balance package is available for the R programming language and uses ggplot228 to visualize the distribution of samples across balances of a sequential binary partition (SBP) matrix. Each balance is calculated by the formula:
for bi = [b1, ..., bD−1] balances where g(x) is the geometric mean of x, ip is the sub-composition of positively-valanced components, and in is the sub-composition of negatively-valanced components. Here, |ip| describes the norm, or length, of the sub-composition.
The balance package29 computes and visualizes balances of compositional data. It requires few package dependencies, has negligible system requirements, and runs fast on a standard laptop computer (e.g., any modern budget CPU with 4GB RAM). To use balance, the user must provide a compositional data set (e.g., Table 1: samples as rows and components as columns) and a serial binary partition (SBP) matrix (e.g., Table 2: components as rows and balances as columns). Below, balance is shown for an example data set from robCompositions17.
library(robCompositions) library(balance) data(expenditures, package = "robCompositions") y1 <− data.frame(c(1,1,1,−1,−1),c(1,−1,−1,0,0), c(0,+1,−1,0,0),c(0,0,0,+1,−1)) res <− balance(expenditures, y1)
As compositional data, the total expenditure for each individual is arbitrary. These example data are taken from robCompositions17.
These example data are taken from robCompositions17.
| z1 | z2 | z3 | z4 |
|---|---|---|---|
| 1 | 1 | 0 | 0 |
| 1 | -1 | 1 | 0 |
| 1 | -1 | -1 | 0 |
| -1 | 0 | 0 | 1 |
| -1 | 0 | 0 | -1 |
Optionally, users can color components or samples based on user-defined groupings. To do this, users must provide a vector of group labels for each component via the d.group argument (or for each sample via the n.group argument). The boxplot.split argument facets the box plots similar to the balance dendrogram15.
group <− c(rep("A", 10), rep("B", 10)) res <− balance(expenditures, y1, n.group = group, boxplot.split = TRUE)
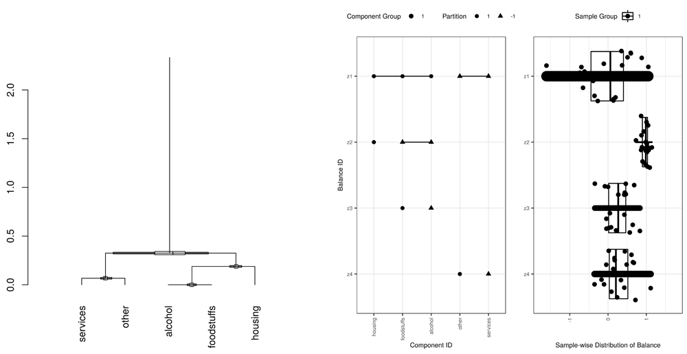
Figure 1 compares the balance dendrogram to its alternative using the robCompositions data17.

On the left, first branch of the balance dendrogram shows how the “services” and “other” components are contrasted against the remaining components. The box plot positioned at the branch shows the distribution of samples within this balance. The length of trunk shows the proportion of variance explained by this balance. On the right, this same information gets captured by a two-panel figure. The top balance in the left panel shows how the “services” and “other” components are contrasted against the remaining components. The top balance in the right panel shows the distribution of samples within this balance. In the right panel, the line length shows the range of the sample distribution, while its thickness shows the proportion of variance explained. Note that the median of this first contrast sits slightly positive, meaning that the most samples spend more on [“alcohol”, “foodstuff”, “housing”].
As a use case, a publicly available microbiome data set is analyzed using balances. These data measure the abundance of microbe taxa in the feces of diabetics and their non-diabetic relatives30, making it a true relative data set. Since these data contain many zeros that disrupt the log-ratio transformations, the zeros are first replaced through imputation by the zCompositions package. See the Supplementary Information for a demonstration of other pre-processing steps.
To identify balances for visualization, a serial binary partition (SBP) matrix is made by hierarchically clustering components based on their proportionality measure ϕs (used here as a dissimilarity measure27), thus joining together components that covary similarly across all samples. The ape31 and philr13 packages transform the tree object into an SBP ready for analysis and visualization.
# for compositional data with samples as rows data.no0 <− zCompositions::cmultRepl(data, method = "CZM") pr <− propr::propr(data.no0, metric = "phs") h <− hclust(as.dist(pr@matrix)) phylo <− ape::as.phylo(h) sbp <− philr::phylo2sbp(phylo) # it is helpful to name the balances colnames(sbp) <− paste("z", 1:ncol(sbp)) res <− balance::balance(data.no0, sbp, size.text = 4,size.pt = 1)
Supplementary Figure 1 visualizes all 499 balances and contains the same information that a balance dendrogram would contain: (a) the left panel dot plot shows the components being contrasted, (b) the right panel box plot shows the distribution of samples across each balance, and (c) the right panel line length shows the range of the balance (the range should cleanly approximate the decomposition of variance for purpose of exploratory visualization, though line width can optionally show the actual proportion of explained variance if desired). However, unlike a balance dendrogram, components and samples are projected on a common scale that facilitates direct comparisons and accommodates high-dimensional data. Yet, the main advantage of the balance package is that, by stripping the branches from the tree, it becomes possible to visualize any subset of balances without disrupting the interpretation of the remaining balances. In Figure 2, we subset the visualization to include only the top 10 most explanatory balances, ranked by the proportion of variance explained.
# full balances stored in results of balance plot balances <− res[[3]] vars <− apply(balances, 2, var) rank <− order(vars, decreasing = TRUE)[1:10] res <− balance::balance(data.no0, sbp[,rank], size.text = 4) # then view for further study sbp[,rank]

The left panel shows how select microbe taxa are contrasted against others. The right panel shows the corresponding distribution of samples within each balance, with the line length showing the range of the distribution. Many of the most explanatory balances occur toward the base of the serial binary partition (SBP) matrix. Yet, this subset visualization is not feasible with the balance dendrogram. Note that the order among the top 10 balances is determined procedurally to place the base of the tree at the top of the figure.
The d.group and n.group arguments offer a way to organize the results in a meaningful way. For example, the d.group can label microbes that most interest investigators, while the n.group can label patients based on clinical findings. Here, colored components (d.group) indicate the availability of supplemental meta-transcriptomic data, while colored samples (n.group) indicate the presence or absence of type-1 diabetes. In Figure 3, we repeat the visualization of the top 10 most explanatory balances, with points colored by the user-defined groupings.

The left panel shows how select microbe taxa are contrasted against others. The right panel shows the corresponding distribution of samples for each group within each balance, with the line length showing the total range of the distribution. There is apparently a difference in the median values of diabetics and non-diabetics for some balances. One could test the significance of these differences using conventional statistical methods like the Student’s t-test32. Note that the order among the top 10 balances is determined procedurally to place the base of the tree at the top of the figure.
Compositional data measure parts of a whole such that the total sum of the composition is irrelevant and each part is only interpretable relative to others. The analysis of composition data requires interpreting the parts of the composition relative to the others. Log-ratio transformations offer a way to transform the data into an unbounded space where the analyst can apply conventional statistical methods. One transformation is the isometric log-ratio transformation which transforms the composition with respect to an orthonormal basis. Balances use a sequential binary partition (SBP) to define an orthonormal basis that splits the composition into a series of non-overlapping groups. Balances can help the investigator identify trends in relative data, and are often visualized using a balance dendrogram. However, the balance dendrogram is not necessarily intuitive and does not scale well for large data. This paper introduces the balance package for the R programming language, a package for visualizing balances of compositional data using an alternative to the balance dendrogram. This alternative contains the same information coded by the balance dendrogram, but projects data on a common scale that facilitates direct comparisons and accommodates high-dimensional data. By stripping the branches from the tree, balance can cleanly visualize any subset of balances without disrupting the interpretation of the remaining balances.
All data used for this analysis were acquired from the supplement of Heintz-Buschart et al.30. The supplement of this manuscript contains code to pre-process these data and reproduce the analysis.
Software and source code available from: https://github.com/tpq/balance
Archived source code at time of publication: https://doi.org/10.5281/zenodo.132686029
Software license: GPL-2
T.P.Q. designed the project, implemented the package, and wrote the manuscript.
Supplementary Information. All data and scripts needed to reproduce the analysis.
Supplementary Figure 1. Visualization of all 499 balances of the example microbial taxa data set. While this figure contains the same information as a balance dendrogram, it projects data on a common scale that facilitates direct comparisons and accommodates high-dimensional data.
They can now be found at the top of the panel on the right, linked from the box entitled Open Peer Review. Choose the reviewer report you wish to read and click the 'read' link. You can also read all the peer review reports by downloading the PDF.
| Views | Downloads | |
|---|---|---|
| F1000Research | - | - |
| PubMed Central Data from PMC are received and updated monthly. | - | - |
Is the rationale for developing the new software tool clearly explained?
Yes
Is the description of the software tool technically sound?
Yes
Are sufficient details of the code, methods and analysis (if applicable) provided to allow replication of the software development and its use by others?
Yes
Is sufficient information provided to allow interpretation of the expected output datasets and any results generated using the tool?
Yes
Are the conclusions about the tool and its performance adequately supported by the findings presented in the article?
Yes
Competing Interests: No competing interests were disclosed.
Reviewer Expertise: Bioinformatics, Data Analysis, Metagenomics
Is the rationale for developing the new software tool clearly explained?
Yes
Is the description of the software tool technically sound?
Partly
Are sufficient details of the code, methods and analysis (if applicable) provided to allow replication of the software development and its use by others?
No
Is sufficient information provided to allow interpretation of the expected output datasets and any results generated using the tool?
Partly
Are the conclusions about the tool and its performance adequately supported by the findings presented in the article?
Partly
References
1. Lovell D, Pawlowsky-Glahn V, Egozcue JJ: Have you got things in proportion? A practical strategy for exploring association in high-dimensional compositions. Proceedings of the 5th International Workshop on Compositional Data Analysis, CoDaWork. 2013.Competing Interests: No competing interests were disclosed.
Reviewer Expertise: Statistics - compositional data analysis
Alongside their report, reviewers assign a status to the article:
| Invited Reviewers | ||
|---|---|---|
| 1 | 2 | |
| Version 1 14 Aug 18 | read | read |
Competing Interests
Provide sufficient details of any financial or non-financial competing interests to enable users to assess whether your comments might lead a reasonable person to question your impartiality. Consider the following examples, but note that this is not an exhaustive list:
Sign up for content alerts and receive a weekly or monthly email with all newly published articles
Already registered? Sign in
The email address should be the one you originally registered with F1000.
You registered with F1000 via Google, so we cannot reset your password.
To sign in, please click here.
If you still need help with your Google account password, please click here.
You registered with F1000 via Facebook, so we cannot reset your password.
To sign in, please click here.
If you still need help with your Facebook account password, please click here.
We have sent an email to , please follow the instructions to reset your password.
If you don't receive this email, please check your spam filters and/or contact .
Comments on this article Comments (0)