ALL Metrics
-
Views
-
Downloads
Get PDF
Get XML
Cite
Export
Track
Review

Novel antifungal agents in clinical trials

[version 1; peer review: 1 approved, 1 approved with reservations]
PUBLISHED 28 Jun 2021
Author details Author details
OPEN PEER REVIEW
REVIEWER STATUS

This article is included in the Pathogens gateway.

Abstract

Invasive fungal diseases due to resistant yeasts and molds are an important and increasing public health threat, likely due to a growing population of immunosuppressed hosts, increases in antifungal resistance, and improvements in laboratory diagnostics.  The significant morbidity and mortality associated with these pathogens bespeaks the urgent need for novel safe and effective therapeutics.  This review highlights promising investigational antifungal agents in clinical phases of development: fosmanogepix, ibrexafungerp, rezafungin, encochleated amphotericin B, oteseconazole (VT-1161), VT-1598, PC945, and olorofim.  We examine three first-in-class members of three novel antifungal classes, as well as new agents within existing antifungal classes with improved safety and tolerability profiles due to enhanced pharmacokinetic and pharmacodynamic properties.

Keywords

Antifungal Agents, novel treatments, pharmacokinetic and pharmacodynamic, clinical trials

Introduction

Invasive fungal diseases (IFDs) are a growing public health concern in an expanding population of immunocompromised hosts1. Three classes of antifungal drugs are currently available for prevention and treatment of IFDs: triazoles, polyenes, and echinocandins. However, use of these agents is often hampered by drug toxicity, drug-drug interactions, and lack of oral formulation. Furthermore, novel therapeutic options are needed due to increasing rates of antifungal resistance and increasing IFDs due to emerging pathogens, many of which are resistant to approved antifungal agents. Herein, we review the antifungal pipeline for agents in clinical phases of development. We give particular attention to investigational drugs with novel mechanisms targeting cellular and biochemical pathways.

Agents targeting the cell wall

Fosmanogepix

Mechanism of action. Glycosylphosphatidylinositol (GPI)-anchored mannoproteins are one of the major cell wall components of fungi. Inhibition of GPI-anchored protein biosynthesis therefore has the potential to compromise cell wall integrity and restrict fungal growth. Fosmanogepix (previously APX001 and E1210; Eisai Company, Japan) is a first-in-class antifungal prodrug that inhibits the fungal Gwt1 (GPI-anchored wall protein transfer 1) gene that encodes a new acyltransferase involved in an early step of the GPI post-translational biosynthetic pathway2. Fosmanogepix undergoes rapid and complete metabolism by systemic phosphatases to its active moiety, manogepix. The chemical structure, mechanism of action, spectrum of activity, clinical trials status, and potential advantages of fosmanogepix and other investigational antifungal agents included in this review are provided in Table 1.

Table 1. Novel investigational antifungal agents in clinical trials.

ClassNovel agentMechanism of actionSpectrum of activityCompleted/ongoing phase 2 and 3 clinical trialsPotential advantages
Glycosylphos-
phatidylinositol (GPI)
inhibitors
Fosmanogepix (APX001)
22e132f7-21ca-4f57-8a18-ce4ba8a202d0_T1.gif
Inhibits the fungal
enzyme Gwt1 to
disrupt GPI-anchor
post-translational
protein
modification
Candida spp. except
C. krusei
Cryptococcus spp.
Aspergillus spp.
Fusarium spp.
Scedosporium spp.
Lomentospora prolificans
Purpureocillium lilacinum
Rhizopus arrhizus
Coccidioides spp.
Ongoing
•   Treatment of IFIs due to Aspergillus spp or
rare moulds (NCT04240886)
•   Treatment of candidemia or invasive
candidiasis due to C. auris (NCT04148287)
•   Treatment of candidemia in non-neutropenic
patients (NCT03604705)
Broad spectrum
and active against
highly resistant
fungi
TriterpenoidsIbrexafungerp (SCY-078)
22e132f7-21ca-4f57-8a18-ce4ba8a202d0_T2.gif
Inhibits (1(3)- β-D-
glucan synthase
Candida spp.
including
echinocandin-
resistant C. glabrata
and C. auris
Aspergillus spp.
Paecilomyces variotii
Pneumocystis jirovecii
Completed
•   Step-down therapy for candidemia and/or
invasive candidiasis (NCT02244606)
•   Treatment of acute VVC (DOVE,
NCT03253094; VANISH-303, NCT03734991;
NCT02679456)

Ongoing
•   Treatment in patients with refractory
or intolerant fungal diseases (FURI,
NCT03059992)
•   Ibrexafungerp and voriconazole combination
for treatment of invasive pulmonary
aspergillosis (NCT03672292)
•   Treatment of Candida auris infection (CARES,
NCT03363841)
•   Prevention of recurrent VVC (CANDLE,
NCT04029116)
•   Treatment of acute VVC (Vanish 306,
NCT03987620)
•   Active against
resistant Candida
species
•   First orally
bioavailable
inhibitor of
(1(3)- β-D-glucan
synthase
•   Combination
therapy against
invasive
aspergillosis
•   Oral fungicidal
therapy against
Candida spp.,
including
step-down for
candidemia
EchinocandinsRezafungin (CD101)
22e132f7-21ca-4f57-8a18-ce4ba8a202d0_T3.gif
Inhibits (1(3)- β-D-
glucan synthase
Candida spp.
Aspergillus spp.
Pneumocystis jirovecii
Completed
•   Treatment of candidemia and/or invasive
candidiasis with fluconazole stepdown
(STRIVE, NCT02734862)
•   Treatment of acute moderate to severe VVC
(RADIANT, NCT02733432)
Ongoing
•   Treatment of candidemia and/or invasive
candidiasis (ReSTORE, NCT03667690)
•   Prevention of invasive fungal disease
in patients undergoing allogeneic HCT
(ReSPECT, NCT04368559)
•   Long half-life
allows once
weekly dosing;
•   Not hepatotoxic
•   Activity may
prevent
Pneumocystis
pneumonia
PolyenesEncochleated amphotericin B (MAT2203)
22e132f7-21ca-4f57-8a18-ce4ba8a202d0_T4.gif
Binds to ergosterol
to form pores
in fungal cell
membrane
Candida spp.
Aspergillus spp.
Cryptococcus spp.
Completed
•   Treatment of VVC (NCT02971007)
Ongoing
•   Treatment of refractory mucocutaneous
candidiasis (NCT02629419)
•   Treatment of cryptococcal meningitis in HIV-
infected patients (EnACT, NCT04031833)
•   Oral formulation
•   Less toxicity than
deoxycholate
and lipid
formulations of
amphotericin B
TetrazolesOteseconazole (VT-1161), VT-1598
22e132f7-21ca-4f57-8a18-ce4ba8a202d0_T5.gif
Oteseconazole
22e132f7-21ca-4f57-8a18-ce4ba8a202d0_T6.gif
Inhibition of
lanosterol 14-
alpha-demethylase
enzyme to
disrupt ergosterol
synthesis
Candida spp.
including
fluconazole- and
echinocandin-
resistant C. glabrata
Cryptococcus spp.
Coccidioides spp.
Histoplasma
capsulatum
Blastomyces dermatitidis
Aspergillus spp.
Rhizopus arrhizus
Completed (Oteseconazole)
•   Treatment of toenail onychomycosis
(NCT02267356)
•   Treatment of recurrent VVC (NCT02267382)
•   Treatment of acute vaginal candidiasis
(NCT01891331)
Ongoing (Oteseconaole)
•   Treatment of recurrent VVC (NCT02267382,
NCT03562156, NCT03561701,
NCT03840616)
•   Treatment of tinea pedis (NCT01891305)
•   Fungal-specific
enzyme target
leads to fewer
drug-drug
interactions
•   Broad spectrum
against yeasts,
endemic fungi,
and moulds (VT-
1598)
TriazolesPC945
22e132f7-21ca-4f57-8a18-ce4ba8a202d0_T7.gif
Inhibition of
lanosterol 14-
alpha-demethylase
enzyme to
disrupt ergosterol
synthesis
Candida spp.
including
fluconazole-resistant
C. glabrata, C. krusei
and C. auris
Cryptococcus
spp.
Trichophyton rubrum
Aspergillus fumigatus
and A. terreus
None•   Inhaled delivery
•   Activity against
azole-resistant
Aspergillus
fumigatus
OrotomidesOlorofim (F901318)
22e132f7-21ca-4f57-8a18-ce4ba8a202d0_T8.gif
Inhibits the
pyrimidine
biosynthesis
enzyme
dihydroorotate
dehydrogenase
Aspergillus spp.
Scedosporium spp.
Lomentospora
prolificans
Fusarium spp.
Histoplasma
capsulatum
Blastomyces dermatitidis
Coccidioides spp.
Ongoing
•   Treatment of IFIs due to resistant fungi
(FORMULA-OLS, NCT03583164)
•   Active against
highly-resistant
moulds

IFI, invasive fungal infection; VVC, vulvovaginal candidiasis

Activity in vitro and in vivo. Fosmanogepix has broad-spectrum activity against a range of yeasts and molds. Potent in vitro activity is demonstrated against most Candida species with the exception of Candida krusei2. Fosmanogepix also shows in vitro activity against fluconazole-resistant Candida species, including C. auris, as well as echinocandin-resistant C. albicans and C. glabrata with fks mutations25. Among 16 C. auris isolates from Europe and Asia, fosmanogepix demonstrated a minimum inhibitory concentration (MIC) required to inhibit growth of 90% of organisms (MIC90) value that was 8-fold lower than that of anidulafungin, the next most active agent. Highly potent in vitro activity was also observed in six pan-resistant C. auris isolates from New York (MIC range 0.008 µg/mL to 0.015 µg/mL)6. Furthermore, in a neutropenic mouse model of disseminated C. auris, treatment with fosmanogepix led to significantly improved survival and decreased fungal burden in brain tissue as compared to anidulafungin5. Fosmanogepix also was shown to have efficacy in treatment of experimental Candida endophthalmitis and hematogenous meningoencephalitis7.

Fosmanogepix has activity against Cryptococcus neoformans and C. gattii, as well as Coccidioides species8,9. In mice with cryptococcal meningitis, the combination of fosmanogepix and fluconazole was observed to decrease fungal burden in a synergistic manner in brain tissue but not in lung tissue9.

Amongst moulds, fosmanogepix has in vitro activity against a range of hyaline moulds including Aspergillus spp., Fusarium spp., Scedosporium spp., Lomentospora prolificans, and Purpureocillium lilacinum2,3,10. These organisms pose formidable therapeutic challenges, particularly in immunocompromised patients11. In immunocompromised mouse models of invasive pulmonary aspergillosis, hematogenously disseminated fusariosis, and pulmonary scedosporiosis, fosmanogepix demonstrated improved survival and tissue clearance versus placebo; whereas, comparable outcomes were observed between mice treated with fosmanogepix and posaconazole (Aspergillus-infected mice) or high dose liposomal amphotericin B (Fusarium- and Scedosporium-infected mice)12,13. Fosmanogepix also has activity against fungi in the order Mucorales (MIC ranges of 1 to 8 µg/mL). In a mouse model of pulmonary mucormycosis with two strains of Rhizopus arrhizus [minimum effective concentration (MEC) values of 0.25µg/mL and 4 µg/mL], fosmanogepix lead to improved survival and reduced lung and kidney fungal burden compared to placebo and similar outcomes as compared to isavuconazole14.

Pharmacokinetics/pharmacodynamics. Fosmanogepix is available in oral and intravenous (IV) formulations, achieving more than 90% bioavailability in humans. In rats and monkeys administered fosmanogepix via oral or IV route, rapid and extensive absorption to most tissues including lung, brain, liver, kidney, and eye were observed. Elimination was primarily biliary (rats) and fecal (monkeys)15. In phase 1 studies, plasma exposure to fosmanogepix was linear and dose proportional with a half-life of approximately 2.5 days16. Fosmanogepix was well-tolerated; there was no dose-limiting toxicity, and the most common adverse event was headache16. A phase 1b study of fosmanogepix safety and pharmacokinetics in patients with acute myeloid leukemia is completed, but results are not yet available (NCT03333005).

Clinical development. Clinical development of fosmanogepix has thus far focused on its role in the treatment of infections due to Candida spp., Aspergillus spp., and rare moulds. The U.S. Food and Drug Association (FDA) has granted Fast Track, Qualified Infectious Disease Product (QIDP), and orphan drug designation to fosmanogepix for the following indications: treatment of invasive candidiasis, invasive aspergillosis, scedosporiosis, fusariosis, mucormycosis, cryptococcosis, and coccidioidomycosis. Phase 2 trials are ongoing for the treatment of IFDs caused by Aspergillus spp. or rare moulds (NCT04240886), treatment of candidemia or invasive candidiasis due to C. auris (NCT04148287), and treatment of candidemia in non-neutropenic patients (NCT03604705).

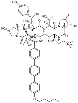
Ibrexafungerp

Mechanism of action. Similar to the echinocandins, ibrexafungerp (previously MK-3118 and SCY-078; Scynexis, Jersey City, NJ, USA) disrupts fungal cell wall synthesis through inhibition of (1→3)-β-D-glucan synthase with fungicidal activity against Candida spp. However, ibrexafungerp is structurally distinct as a semisynthetic derivative of the naturally occurring hemiacetal triterpene glycoside enfumafungin that incorporates a pyridine triazole at position 15 of the core phenanthropyran carboxylic acid ring system and a 2-amino- 2,3,3-trimethyl-butyl ether at position 14 to enhance its antifungal potency and pharmacokinetic properties; thus, representing the first compound in the novel class of triterpenoid antifungals17. As compared to echinocandins, ibrexafungerp has distinct advantages of oral bioavailability, broad activity against pan-resistant C. auris, and maintaining activity against most echinocandin-resistant Candida spp.

Activity in vitro and in vivo. Ibrexafungerp exhibits potent fungicidal activity against Candida species, including C. glabrata and multiple clades of C. auris1820. Notably, ibrexafungerp retains in vitro activity against most echinocandin-resistant C. glabrata with fks mutations (MIC mode, MIC50, and MIC90 of 0.25µg/mL, 0.25µg/mL, and 1.0µg/mL, respectively)21. Amongst C. auris isolates with echinocandin resistance or pan-antifungal resistance, ibrexafungerp demonstrates MIC ranges from 0.25µg/mL to 1µg/mL and 0.12µg/mL to 1µg/mL, respectively19,22,23. In addition, C. auris biofilms treated with ibrexafungerp show reduced metabolic activity and thickness as compared to untreated control biofilms24.

Ibrexafungerp has fungistatic activity against Aspergillus species (MIC range <0.06µg/mL to 32µg/mL, MIC50 8µg/mL, MIC90 16µg/mL)25. The combination of ibrexafungerp with voriconazole, amphotericin B, or isavuconazole demonstrates in vitro synergy against wild-type (WT) Aspergillus species but not against azole-resistant strains25. Little in vitro activity is observed with ibrexafungerp against the Mucorales and non-Aspergillus hyaline moulds (Fusarium spp, Scopulariopsis spp, Lomentospora prolificans) with the exception of Paecilomyces variotii (MEC <0.02µg/mL to 0.03µg/mL)26. However, synergistic interaction between ibrexafungerp and isavuconazole is observed in vitro against Cunninghamella bertholletiae, S. apiospermum, F. solani and F. oxysporum; whereas, indifference or antagonism are observed with Mucor circinelloides and Rhizopus species, respectively27.

In a murine invasive candidiasis model with WT and echinocandin-resistant (ER) C. glabrata, ibrexafungerp significantly reduced kidney fungal burden in both groups as compared to placebo. In contrast, caspofungin administered by intraperitoneal injection reduced fungal burden in the WT group but not the ER group28. Reduced tissue fungal burden and improved survival with ibrexafungerp versus control also were observed in immunocompromised mice with disseminated C. auris29.

In a murine model of disseminated aspergillosis, treatment with ibrexafungerp led to significant reduction in Aspergillus kidney burden and serum galactomannan (GM) levels and improved survival as compared to control30. This in vivo activity of ibrexafungerp was observed in both wild type and azole-resistant isolates of A. fumigatus.

The combination of ibrexafungerp and isavuconazole also demonstrates synergy in a neutropenic rabbit model of experimental invasive pulmonary aspergillosis. As compared to isavuconazole alone, mice treated with ibrexafungerp and isavuconazole had significantly improved survival, decreased pulmonary infarct scores, and diminished serum GM levels31.

Ibrexafungerp is also efficacious in a murine model of Pneumocystis murina pneumonia, in which reductions in asci burden and improvements in survival were similar to those of trimethoprim-sulfamethoxazole and significantly better than in untreated controls32.

Pharmacokinetics/pharmacodynamics. Ibrexafungerp is orally bioavailable and highly protein bound (~99.6%) in humans. The maximum plasma concentration (Cmax) and area under the concentration-time curve (AUC) increase approximately 20% with high fat meals33. It has a large volume of distribution in mice, rats, and dogs. Concentration in multiple tissues including liver, spleen, lungs, bone marrow, kidney, and skin exceeds that of plasma. However, there is low distribution to central nervous system (CNS) tissue34. In rats, approximately 90% of drug is eliminated in feces and bile, and 1.5% eliminated in urine34. Ibrexafungerp is a substrate of CYP3A and P-glycoprotein, though it neither induces or nor inhibits CYP3A. When ibrexafungerp and tacrolimus are co-administered, there is a 1.4-fold increase in AUC and no change in tacrolimus Cmax35. Thus, initial tacrolimus dose adjustment is not needed when co-administered with ibrexafungerp.

Clinical development. Ibrexafungerp will likely play an important role in management of invasive candidiasis due to WT and resistant Candida species and invasive aspergillosis; the drug has received QIDP and orphan drug designations for both indications.

In a phase 2 open-label, randomized study, 27 patients with invasive candidiasis were randomized to receive step-down therapy to one of three treatment arms: two dosing regimens of ibrexafungerp (1000mg loading dose followed by 500mg daily or 1250mg loading dose followed by 750mg daily) or standard of care (SOC) following initial echinocandin therapy. Similar rates of adverse events were observed across study arms; study-drug related treatment-emergent adverse events were reported in two patients (vomiting and diarrhea) and did not require drug discontinuation. There was no difference in favorable global response rates (clinical and microbiologic): 86%, 71%, and 71% in the ibrexafungerp 750mg, ibrexafungerp 500mg, and SOC arms, respectively, although the study was not powered to detect statistical superiority36.

A phase 3 open-label, single arm study of ibrexafungerp in patients with refractory or intolerant fungal diseases is ongoing (FURI; NCT03059992). An interim analysis was performed in 20 patients with proven or probable invasive candidiasis (N=11) or severe mucocutaneous candidiasis (N=9). Eleven (55%) patients achieved a complete or partial response and 6 (30%) had stable disease. The most common treatment-related adverse events were gastrointestinal37. Target enrollment is 200 patients, and the estimated study completion date is December 2021.

Ibrexafungerp has also been studied for the treatment of vulvovaginal candidiasis (VVC). Day 10 and day 25 clinical cure and mycological eradication rates were similar or improved with ibrexafungerp 300mg twice daily x 2 doses compared to fluconazole 150mg x 1 dose. Diarrhea was the most common adverse event in the ibrexafungerp arm, observed in 10% of subjects38. An new drug application has since been submitted for treatment of VVC.

Other ongoing clinical trials include a multicenter, randomized, double-blind study to evaluate the efficacy and safety of ibrexafungerp and voriconazole in patients with invasive pulmonary aspergillosis (NCT03672292). Ibrexafungerp is also in open-label clinical trials in India and the United States for treatment of Candida auris infection (CARES; NCT03363841). Thus far, outcomes of two patients enrolled in the CARES Study have been reported; both had C. auris bloodstream infections and were successfully treated with ibrexafungerp39.

Combination antifungal therapy with a cell wall active agent and an antifungal triazole is a potentially important strategy in treatment of invasive aspergillosis [33]. Ibrexafungerp may develop a key role in combination antifungal therapy with an antifungal triazole in treatment of invasive aspergillosis. Simultaneous administration of an orally administered triazole and ibrexafungerp may allow patients to receive the potential therapeutic benefit of combination therapy in treatment of invasive pulmonary aspergillosis on an ambulatory basis.

Rezafungin

Mechanism of action. Rezafungin (formerly SP3025 and CD101; Cidara Therapeutics, San Diego, CA, USA) is a novel agent in the echinocandin antifungal drug class that inhibits (1→3)-β-D-glucan synthesis. Rezafungin is a structural analogue of anidulafungin but it is differentiated by a choline moiety at the C5 ornithine position, conferring increased stability and solubility40. Due to its long half-life, rezafungin has the advantage of once weekly dosing as compared to other drugs within the echinocandin class that require daily dosing.

Activity in vitro and in vivo. Rezafungin has potent in vitro activity that mirrors that of other echinocandins against WT and azole-resistant Candida species, as well as WT and azole-resistant Aspergillus species4143. In immunocompromised mouse models of C. albicans and A. fumigatus infection, decreased fungal tissue burden and improved 10-day survival, respectively, were observed with rezafungin as compared to controls44. Rezafungin also had activity in a mouse model of disseminated C. auris, leading to decreased fungal tissue burden as compared to amphotericin B and control45. Furthermore, rezafungin was efficacious as prophylaxis against Pneumocystis in a mouse model, supporting its potential for development for prevention of Pneumocystis pneumonia in immunocompromised hosts46.

Pharmacokinetics/pharmacodynamics. Similar to other echinocandin drugs, rezafungin demonstrates a concentration-dependent pattern of fungicidal activity. Therefore, a front-loaded dosing regimen conferring higher plasma drug exposure may theoretically enhance pathogen killing and raise the barrier to drug resistance47. In phase 1 ascending dose studies evaluating single doses up to 400mg and multiple doses up to 400mg once weekly for 3 weeks in healthy adults, rezafungin demonstrated dose-proportional plasma exposures, long half-life (approximately 80 hours after the first dose and 152 hours after the third dose), and minimal renal excretion48. The Cmax ranged from ~5 µg/mL with the 100mg dose to ~22 to 30 µg/mL with the 400mg dose. Overall, rezafungin was well tolerated. There were no serious adverse events; most adverse events were mild and gastrointestinal (constipation and nausea). Mild infusion reactions characterized by nausea, flushing, and chest discomfort were also observed, most often with the third dose of 400mg of rezafungin. These reactions resolved within minutes without drug interruption or discontinuation.

Clinical development. Rezafungin has received U.S. FDA QIDP and Fast Track designations for prevention of invasive fungal infections as well as QIDP, Fast Track, and orphan drug designations for treatment of invasive candidiasis.

A phase 2 multicenter, randomized, double-blinded trial in 207 adult patients with candidemia and/or invasive candidiasis compared the efficacy and safety of treatment with rezafungin versus caspofungin with fluconazole stepdown once clinically stable (STRIVE; NCT02734862)49. Patients were randomized to one of three treatment arms: rezafungin 400mg once weekly, rezafungin 400mg on week 1, then 200mg weekly, and caspofungin 70mg loading dose followed by 50mg daily for ≤4 weeks. The primary endpoint was overall cure, defined as resolution of signs of candidemia or invasive candidiasis and mycological eradication at day 14. The study was not designed for statistical comparison of the efficacy assessment, but overall cure rates and 30-day mortality, respectively, were similar across groups: rezafungin 400mg weekly (60.5% and 15.8%), rezafungin 400mg/200mg weekly (76.1% and 4.4%), and caspofungin (67.2% and 13.1%). In patients with candidemia, blood cultures cleared in 19.5 and 22.8 hours in the rezafungin and caspofungin groups, respectively. Rezafungin was also well-tolerated. The most common adverse events – hypokalemia, diarrhea, and vomiting – were observed in similar proportions of patients in the rezafungin and caspofungin groups. Study drug-related serious adverse events occurred in one patient in each rezafungin group and two patients in the caspofungin group.

Based on the promising results of STRIVE, a phase 3 clinical trial of rezafungin versus caspofungin for treatment of candidemia and invasive candidiasis is ongoing (ReSTORE; NCT03667690). Another ongoing phase 3 trial compares rezafungin to standard of care for prevention of IFD due to Candida spp., Aspergillus spp., and Pneumocystis in patients undergoing allogeneic hematopoietic cell transplantation (ReSPECT; NCT04368559). The primary outcome is fungal-free survival at Day 90. In both phase 3 trials, rezafungin is dosed 400mg for the first week followed by 200mg once weekly.

Agents targeting the cell membrane

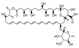
Encochleated Amphotericin B (MAT2203)

Mechanism of action and pharmacology. Amphotericin B (AmB), a polyene antifungal agent, disrupts fungal cell wall synthesis by binding to ergosterol to form pores that allow leakage of intracellular contents, resulting in potent fungicidal activity against a wide range of yeasts and moulds. However, AmB and its lipid formulations are only available via intravenous injection due to low solubility, a tendency to self-aggregate in aqueous media, and low permeability50. Encochleated AmB (CAmB; Matinas BioPharma, Bedminster, NJ, USA) is a novel formulation that allows for oral administration with reduced toxicity. Cochleates form a multilayered structure composed of a negatively charged lipid (phosphatidylserine) and a divalent cation (calcium). This structure protects AmB from degradation within the gastrointestinal tract51. AmB is released to the fungus only when the cochleates interact with the target cells and subsequently destabilize in the setting of low intracellular calcium concentration.

Activity in vitro and in vivo. Comparable in vitro activity against Candida spp. and Aspergillus spp. are observed with CAmB and deoxycholate AmB52,53. CAmB has been successfully administered in immunocompromised mouse models of disseminated C. albicans infection and disseminated aspergillosis. In both studies, oral CAmB and intraperitoneal deoxycholate amphotericin B demonstrated similar improvement in survival and reduction in tissue fungal burden as compared to untreated control animals52,54. Furthermore, CAmB was evaluated in a mouse model of cryptococcal meningoencephalitis where CAmB plus flucytosine had similar efficacy to parenteral AmB plus flucytosine and demonstrated potent activity55.

Pharmacokinetics/pharmacodynamics. A single dose of CAmB demonstrates extensive tissue distribution and penetration into target tissues in animal models56. In a phase 1 study in healthy adults evaluating escalating doses of 200, 400, and 800mg, CAmB was well tolerated at doses of 200mg and 400mg. The most common adverse events were gastrointestinal, occurring in 6%, 38%, and 56% of patients in the 200mg, 400mg, and 800mg groups, respectively. There were no serious adverse events or renal toxicity observed. Dose-dependent increases in Cmax and AUC were observed, comparable to those of animal toxicity studies57.

Clinical development. A phase 2a single-arm study of CAmB for refractory mucocutaneous candidiasis is ongoing (NCT02629419). Preliminary results indicate that all enrolled patients met the primary endpoint of ≥ 50% improvement in clinical signs and symptoms. CAmB was well tolerated at 400mg and 800mg with no observed renal or hepatic toxicity. In a phase 2 study of CAmB 200mg and 400mg and fluconazole 150mg for VVC in 137 patients, lower rates of clinical cure and more adverse events were observed with CAmB 200mg and 400mg as compared to fluconazole (NCT02971007). There were no serious adverse events58. Phase 1 and 2 studies of CAmB for treatment of cryptococcal meningitis in HIV-infected patients in Uganda are ongoing (EnACT; NCT04031833). CAmB has FDA-granted Fast Track, QIDP, and orphan drug designations for treatment of invasive candidiasis and aspergillosis, prevention of IFDs in patients on immunosuppressive therapy, and treatment of cryptococcosis.

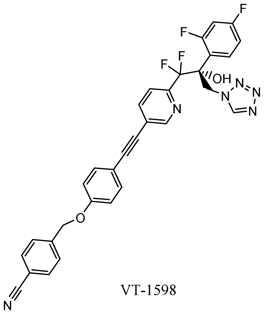
Oteseconazole (VT-1161), VT-1598, VT-1129

Mechanism of action. Second-generation triazole antifungal agents, such as voriconazole, are highly effective against a range of yeasts and moulds; however, they are associated with significant drug-drug interactions due to off-target inhibition of human cytochrome P450 enzymes. Oteseconazole (VT-1161), VT-1598, and VT-1129 (Mycovia Pharmaceuticals, Inc., Durham, NC, USA) are next-generation azoles in which selective inhibition of the fungal enzyme CYP51 is more readily achieved by replacing the 1-(1,2,4-triazole) metal-binding group with a tetrazole59.

Activity in vitro and in vivo. Oteseconazole, VT-1598, and VT-1129 have potent in vitro activity against Cryptococcus spp. and Candida spp. including C. krusei and fluconazole- and echinocandin-resistant C. glabrata60,61. VT-1598 has the broadest spectrum, which includes C. auris, moulds (Aspergillus spp. and Rhizopus spp.) and endemic dimorphic fungi (Histoplasma capsulatum, Blastomyces dermatitidis, Coccidioides posadasii, and C. immitis)6264. In murine models of CNS coccidioidomycosis, VT-1598 treatment leads to improved survival and reduced fungal burden in brain tissue as compared to fluconazole. Oteseconazole has similarly demonstrated efficacy in murine models of pulmonary and CNS coccidioidomycosis as well as disseminated mucormycosis due to Rhizopus arrhizus var. arrhizus65,66.

Clinical development. The FDA has granted QIDP, fast track, and orphan drug designation to VT-1598 for the treatment of coccidioidomycosis (Valley fever)67. VT-1598 is in phase 1 studies (NCT04208321). Oteseconazole is in phase 3 clinical trials for treatment of recurrent vaginal candidiasis (NCT02267382, NCT03562156, NCT03561701) after demonstrating safety and efficacy in a phase 2 study and has FDA QIDP and Fast-Track designations for this indication68. A phase 2 trial for toenail onychomycosis demonstrated higher week 48 cure rates with oteseconazole (32 to 42%) versus placebo (0%) (NCT02267356)69. In these completed trials, oteseconazole was well-tolerated with no evidence of hepatotoxicity or QT prolongation.

PC945

Mechanism of action. As compared to systemic therapy, aerosolized delivery of antifungal agents to the lung results in higher concentrations in epithelial lining fluid and bronchoalveolar lavage fluid; however, for successful activity, drug levels must be sustained in lung tissues with minimal systemic absorption70. PC945 (Pulmocide, London, United Kingdom) is a novel triazole antifungal agent that is being developed specifically for inhaled administration for treatment and prevention of invasive fungal infections of the sinopulmonary tract. The structure of PC945 is similar to but distinct from that of posaconazole. The structures are similar in having 2,4-difluorophenyl and 1H-1,2,4-triazole substitutions on the asymmetric carbon atom. However, PC945 differs structurally in having a central oxolane ring (in place of the dioxalane ring) and a long hydrophobic 3-ylmethoxy-3-methylphenyl[piperazin-1-yl]-N-(4-fluorophenyl)benzamide substitution. This hydrophobic moiety likely contributes to the sustained intrapulmonary concentrations of PC945.

Activity in vitro and in vivo. PC945 has in vitro activity against azole-susceptible A. fumigatus [median MIC 0.031µg/mL (IQR 0.02 – 0.031µg/mL)] and most azole-resistant A. fumigatus71. Activity against A. terreus is comparable to posaconazole and more potent than that of voriconazole; however, PC945 has poor in vitro activity against A. flavus and A. niger. PC945 lacks activity against most Mucorales; although a MIC 2µg/mL was observed for Rhizopus oryzae71. Against Candida albicans (both azole-susceptible and azole-resistant strains), C. glabrata, and C. krusei, PC945 is generally more active than voriconazole and shares equal potency with posaconazole71. Using a global collection of 50 clinical Candida auris isolates, PC945 had more potent in vitro activity than posaconazole, voriconazole, and fluconazole [PC945 GM MIC (MIC50, MIC90): 0.14µg/mL (0.13, 1µg/mL)]72.

An in vitro model of the human alveolus has been developed to better understand the pathogenesis of invasive pulmonary aspergillosis and the relationship between the kinetics of GM and outcomes of antifungal therapy73. Using this model, combination therapy with apical PC945 and basolateral posaconazole or voriconazole for azole-susceptible and azole-resistant A. fumigatus demonstrated synergistic activity as compared to either agent alone74.

The therapeutic potential of intranasal PC945 has been investigated in transiently neutropenic mice with invasive pulmonary aspergillosis. Intranasal PC945 leads to reduced concentrations of GM in bronchoalveolar lavage fluid (BALF) and serum and improved survival as compared to controls, and reduced GM concentration and similar survival as compared to intranasal posaconazole71,75. Combination therapy with intranasal PC945 and oral posaconazole was also evaluated in immunocompromised neutropenic mice with azole-susceptible A. fumigatus infection. Suboptimal dosages of PC945 and posaconazole were administered simultaneously, (i.e., doses at which either agent alone led to zero survival at Day 7), and Day 7 survival improved to 83%74. As a potential prophylactic agent, PC945 was administered in the same A. fumigatus-infected mouse model from days -7 to +3 and days -1 to +3. Extended prophylaxis (days -7 to +3) yielded greater inhibition of fungal load in lung tissue and GM concentrations in BALF and serum as compared to shorter duration, suggesting that the antifungal effects of PC945 accumulated in the lung upon repeat dosing75.

Pharmacokinetics/pharmacodynamics. Using the human alveolus, topical PC945 demonstrates sustained residency and antifungal activity in epithelial cells74.

Clinical development. A phase 1 trial of PC945 in 29 healthy subjects and patients with mild asthma is completed; results are not yet available on clinicaltrials.gov (NCT02715570). A phase 3 study of PC945 for adults, who have limited or no alternative treatment options, for the treatment of invasive pulmonary aspergillosis as part of a combined antifungal regimen is planned to start in 2021.

In a report of two lung transplant recipients with bronchial anastomotic masses due to A. fumigatus, PC945, administered in combination with systemic antifungal agents, was well-tolerated, and clinical resolution of infection was observed76.

Agents targeting nucleic acid metabolism

Olorofim

Mechanism of action. Olorofim (previously F910318, discovered by F2G Ltd, Australia), a member of the novel antifungal class, orotomides, is in an inhibitor of the pyrimidine biosynthesis fungal enzyme dihydroorotate dehydrogenase. Interruption of pyrimidine synthesis impairs nucleic acid production and leads to the arrest of hyphal extension77.

Activity in vitro and in vivo. Olorofim is unique among existing antifungal agents in that it has no activity against Candida species. Rather, olorofim has potent activity in vitro against WT and azole-resistant Aspergillus spp., some other highly resistant hyaline moulds, and Coccidioides spp.78 Amongst 133 azole-resistant A. fumigatus isolates due to TR34/L98H,TR46/Y121F/T289A, cyp51A-associated point mutations, or unknown resistance mechanisms, MIC range was 0.031µg/mL to 0.125µg/mL, 0.062µg/mL to 0.25µg/mL, and 0.01µg/mL to 0.125µg/mL, respectively79. Several studies have also shown excellent activity in vitro against Scedosporium species (MIC50/MIC90 0.06/0.25µg/mL) and L. prolificans (MIC50/MIC90 0.12/0.2µg/mL) including biofilm formation by the latter8082. The geometric mean MICs of olorofim were significantly lower for all Scedosporium species and L. prolificans compared with those of voriconazole, posaconazole, amphotericin B, and caspofungin80. Less in vitro data are available for Fusarium species, but susceptibility appears to be species-specific, with lower MICs observed for F. proliferatum than F. solani species complex and F. dimerum83. Olorofim has no activity against the Mucorales or the dematiaceous pathogen Exophiala dermatitidis77,84.

In murine models of profound neutropenia and chronic granulomatous disease with disseminated and pulmonary aspergillosis, respectively, intraperitoneal administration of olorofim lead to significantly reduced serum GM levels and organ fungal DNA burden and improved survival as compared to controls85. In a murine model of acute sinopulmonary aspergillosis due to A. flavus, olorofim had comparable antifungal activity to posaconazole for the outcomes of decline in GM, histologic clearance of lung tissue, and survival86.

Pharmacokinetics/pharmacodynamics. Olorofim is available in oral and IV formulations and demonstrates time-dependent antifungal activity86,87. Olorofim initially has a fungistatic effect on Aspergillus isolates but prolonged exposure is fungicidal88. Pharmacokinetic studies in mice have identified good distribution of olorofim to tissues including the kidney, liver, and lung, with lower levels of detection in the brain77. In a phase 1 study of multiple doses of an immediate-release tablet (360mg daily for 10 days), steady state was reached within three days of dosing, and once attained, mean plasma trough levels were 1 to 2µg/mL and exceeded 0.7µg/mL in all subjects. There was evidence of enterohepatic recirculation. Olorofim was well-tolerated in all eight subjects with no serious adverse events and no subject withdrawn due to an AE. Drug-related adverse events included increased ALT (N=2), nausea and diarrhea (N=1), and dizziness (N=1)89. Olorofim is a weak inhibitor of CYP3A490.

Clinical development. Olorofim received designation from the U.S. FDA as a breakthrough therapy in 2019 and as an orphan drug in 2020. The European Medicines Agency Committee for Orphan Medicinal Products also granted orphan drug status to olorofim for the treatment of invasive aspergillosis and scedosporiosis in March 2019. A phase 2 clinical trial of olorofim for the treatment of IFDs due to resistant fungi including azole-resistant aspergillosis, scedosporiosis, and lomentosporiosis is ongoing (FORMULA-OLS; NCT03583164) as is a phase 1 drug-drug interaction study with itraconazole and rifampicin (NCT04171739).

Conclusion

Despite significant advances in prevention, diagnostic, and management of IFDs over the past several decades, IFDs remain a formidable threat to immunocompromised hosts. Indeed, attributable mortality may still approach 90% in the most vulnerable patients infected with highly-resistant pathogens1. In addition to strategies to augment host response and reduce immunosuppression, novel therapeutics with potent fungicidal activity and low toxicity are urgently needed. We review investigational drugs in clinical phases of development, including three agents within three novel antifungal classes targeting the fungal cell wall and nucleic acid metabolism, which demonstrate early promise to combat these life-threatening infections.

Data availability

No data is associated with this article.

Comments on this article Comments (0)

Version 2
VERSION 2 PUBLISHED 28 Jun 2021
Comment
Author details Author details
Competing interests
Grant information
Copyright
Download
 
Export To
metrics
Views Downloads
F1000Research - -
PubMed Central
Data from PMC are received and updated monthly.
- -
Citations
CITE
how to cite this article
Jacobs SE, Zagaliotis P and Walsh TJ. Novel antifungal agents in clinical trials [version 1; peer review: 1 approved, 1 approved with reservations]. F1000Research 2021, 10:507 (https://doi.org/10.12688/f1000research.28327.1)
NOTE: If applicable, it is important to ensure the information in square brackets after the title is included in all citations of this article.
track
receive updates on this article
Track an article to receive email alerts on any updates to this article.

Open Peer Review

Current Reviewer Status: ?
Key to Reviewer Statuses VIEW
ApprovedThe paper is scientifically sound in its current form and only minor, if any, improvements are suggested
Approved with reservations A number of small changes, sometimes more significant revisions are required to address specific details and improve the papers academic merit.
Not approvedFundamental flaws in the paper seriously undermine the findings and conclusions
Version 1
VERSION 1
PUBLISHED 28 Jun 2021
Views
10
Cite
Reviewer Report 02 Dec 2021
Shahram Mahmoudi, Department of Parasitology and Mycology, School of Medicine, Iran University of Medical Sciences, Tehran, Iran 
Approved with Reservations
VIEWS 10
The study by Jacobs et al. summarizes the antifungal drugs in clinical trials. The corresponding author is experienced, the study is well written, and when looked alone, it seems perfect.

However, I think the following points need ... Continue reading
CITE
CITE
HOW TO CITE THIS REPORT
Mahmoudi S. Reviewer Report For: Novel antifungal agents in clinical trials [version 1; peer review: 1 approved, 1 approved with reservations]. F1000Research 2021, 10:507 (https://doi.org/10.5256/f1000research.31334.r99295)
NOTE: it is important to ensure the information in square brackets after the title is included in all citations of this article.
  • Author Response 12 Jan 2022
    Samantha Jacobs, Division of Infectious Diseases, Icahn School of Medicine, New York, 10029-5674, USA
    12 Jan 2022
    Author Response
    Response to Reviewer #2 Comments
    12.27.2021
    The study by Jacobs et al. summarizes the antifungal drugs in clinical trials. The corresponding author is experienced, the study is well written, and ... Continue reading
COMMENTS ON THIS REPORT
  • Author Response 12 Jan 2022
    Samantha Jacobs, Division of Infectious Diseases, Icahn School of Medicine, New York, 10029-5674, USA
    12 Jan 2022
    Author Response
    Response to Reviewer #2 Comments
    12.27.2021
    The study by Jacobs et al. summarizes the antifungal drugs in clinical trials. The corresponding author is experienced, the study is well written, and ... Continue reading
Views
24
Cite
Reviewer Report 23 Jul 2021
Charalampos Antachopoulos, Third Department of Pediatrics, Faculty of Medicine, School of Health Sciences, Hippokration General Hospital, Aristotle University, Thessaloniki, Greece 
Approved
VIEWS 24
This is a well-written and comprehensive paper summarizing recent data on novel antifungal agents in clinical development. Table 1 is very helpful. I have only few minor comments:
  1. Abstract: consider change “we examine” to: “we review
... Continue reading
CITE
CITE
HOW TO CITE THIS REPORT
Antachopoulos C. Reviewer Report For: Novel antifungal agents in clinical trials [version 1; peer review: 1 approved, 1 approved with reservations]. F1000Research 2021, 10:507 (https://doi.org/10.5256/f1000research.31334.r89343)
NOTE: it is important to ensure the information in square brackets after the title is included in all citations of this article.
  • Author Response 12 Jan 2022
    Samantha Jacobs, Division of Infectious Diseases, Icahn School of Medicine, New York, 10029-5674, USA
    12 Jan 2022
    Author Response
    Response to Reviewer #1 Comments
    12.27.2021

    This is a well-written and comprehensive paper summarizing recent data on novel antifungal agents in clinical development. Table 1 is very helpful. I ... Continue reading
COMMENTS ON THIS REPORT
  • Author Response 12 Jan 2022
    Samantha Jacobs, Division of Infectious Diseases, Icahn School of Medicine, New York, 10029-5674, USA
    12 Jan 2022
    Author Response
    Response to Reviewer #1 Comments
    12.27.2021

    This is a well-written and comprehensive paper summarizing recent data on novel antifungal agents in clinical development. Table 1 is very helpful. I ... Continue reading

Comments on this article Comments (0)

Version 2
VERSION 2 PUBLISHED 28 Jun 2021
Comment
Alongside their report, reviewers assign a status to the article:
Approved - the paper is scientifically sound in its current form and only minor, if any, improvements are suggested
Approved with reservations - A number of small changes, sometimes more significant revisions are required to address specific details and improve the papers academic merit.
Not approved - fundamental flaws in the paper seriously undermine the findings and conclusions
Sign In
If you've forgotten your password, please enter your email address below and we'll send you instructions on how to reset your password.

The email address should be the one you originally registered with F1000.

Email address not valid, please try again

You registered with F1000 via Google, so we cannot reset your password.

To sign in, please click here.

If you still need help with your Google account password, please click here.

You registered with F1000 via Facebook, so we cannot reset your password.

To sign in, please click here.

If you still need help with your Facebook account password, please click here.

Code not correct, please try again
Email us for further assistance.
Server error, please try again.