Keywords
carpal tunnel syndrome, CTS, entrapment neuropathy, dentists, dental surgeons, prevalence, meta-analysis
This article is included in the HEAL1000 gateway.
carpal tunnel syndrome, CTS, entrapment neuropathy, dentists, dental surgeons, prevalence, meta-analysis
Carpal tunnel syndrome (CTS) is one of the most frequent and well-studied entrapment neuropathies. It occurs as the median nerve is being compressed and damaged through its passage within the narrow osteofibrous canal (carpal tunnel).27,34 Among the great variety of symptoms it may occur, pain, paraesthesias (especially, during the night) and dysaesthesias in the distribution of the median nerve (in the first three and a half digits of the affected hand), are the predominant ones. During the evolution of this neuropathy, all the relevant muscles (flexor pollicis brevis, abductor pollicis brevis, opponens pollicis) which are innervated by branches of the median nerve are being atrophied and weakened, resulting the patient’s declined functionality.9,14,23,24 Regarding the type of diagnostic method, a combination of a comprehensive patient’s history as well as a thorough clinical examination (including Tinel, Phalen and Durkan’s tests) seems to be the most value option available. Other advanced procedures (electrodiagnostic tests) such as the nerve conduction studies, which can validate nerve dysfunction with extreme sensitivity, are usually performed in treatment decision making.27 Many risk factors have been identified throughout the years such as obesity, diabetes, hypothyroidism, pregnancy, lupus erythematosus, Reynaud’s phenomenon however, specific interest exists regarding the occurrence of CTS in certain occupations, such as in the field of dentistry.2,13,20,21 Dental procedures require the use of vibratory tools, strong griping, uncomfortable hand position and the performance of long-lasting repetitive tasks.29 Due to the nature of this occupation, it is expected to have higher rates of CTS occurrence.31 Mainly, the prevalence of CTS is estimated between 4% and 5% of the general middle-aged population.12 Therefore, we conducted a systematic review and meta-analysis in order to gain a reliable estimation regarding the prevalence of CTS among dentists.
This review is reported in line with the PRISMA guidelines.38
A literature search of Medline (PubMed search engine) and Embase (Scopus search engine) database was conducted through inception up to December 16th, 2022, following the Preferred Reporting Items for Systematic Reviews and Meta-Analysis (PRISMA) guidelines.28 The literature search was independently performed by two reviewers, using the following algorithm: (carpal tunnel syndrome OR CTS OR entrapment neuropathy OR median nerve compression) AND (“dentists” OR “dental surgeon”).
The reference lists of all identified eligible studies were evaluated by both reviewers for potentially missed articles from the initial literature search. Following the aforementioned procedure, all studies were stored in the Zotero reference management software (version 6.0.18) and the duplicate citations were removed.36 The remaining articles were independently screened by two investigators to identify studies that met the pre-determined inclusion criteria. The study selection was conducted in two stages. First, article titles and abstracts were reviewed and those that did not meet our inclusion/exclusion criteria were removed. Secondly, the full texts of the remaining articles were retrieved and evaluated. If an absence in studies selection procedure was notified, the final decision was reached by team consensus.
Articles that examined specifically the prevalence rates of CTS among dentists were included. Only observational studies written in English language were inserted with no restriction on publication date. Case reports, case series with less than ten participants, review articles, clinical trials, animals studies, letters to the editor, books, expert opinion, conference abstracts, studies with no full-text available, studies not written in English language, articles reported solely the prevalence of CTS’ symptoms, studies regarding dental laboratory technicians and dental hygienists were excluded. In articles with overlapping populations, the most recent or most complete publication was considered eligible. The following variables were obtained from each study: the first author’s name, year of publication, study design, continent of origin, study period, total number of patients, proportion of males, mean age, participants with CTS and diagnostic procedures.
Quality appraisal was independently performed by two investigators using the National Heart, Lung, and Blood Institute (NHLBI) Quality Assessment Tools. The NHLBI quality assessment tool for Observational Cohort and Cross-Sectional Studies was employed. Individual studies were assessed for potential flaws in accordance the study methodology or the conduct of each survey that could jeopardize internal validity. For each of the fourteen questions, investigators could select one of the following answers: “yes”, “no”, “cannot determine” (e.g. data were unclear or contradictory) or “not reported” (e.g. missed data) or “not applicable” (e.g. not relevant question regarding this type of study). Study quality was defined as “low”, “moderate” or “high” risk of bias.25
Statistical analysis was carried out using RStudio (version: 022.12.0+353) software (RStudio Team (2022)).32 The meta-analysis was conducted through metafor package.33 The DerSimonian and Laird random-effects model was used to estimate the pooled prevalence and its respective 95% confidence intervals (CI). Logit transformation was performed. Heterogeneity presence between studies was evaluated through visual inspection of the forest plot and by using the Cochran’s Q statistic and its respective p value. The Higgins I2 statistic and its respective 95% CI were used for quantifying the magnitude of true heterogeneity in effect sizes. An I2 value of 25%, 50%, and 75% indicated low, moderate, and high heterogeneity, respectively. To determine if the potential outlying effect sizes (as evaluated in the forest plot) were also influential, screening for externally studentized residuals with z-values larger than two in absolute value and leave-one-out diagnostics were performed.34 Due to high heterogeneity remaining, a moderator analysis was performed. In the conducted subgroup analysis, the continent of origin and the diagnostic procedure (verified during the implementation of each study or previously diagnosed) were chosen as the categorical moderators on effect sizes. In the performed meta-regression analysis with continuous variables, the year of publication and the proportion of males were assessed as moderators on effect sizes. Owing to the limited availability of data (less than ten studies for each covariate) regarding other variables (e.g mean age, obesity, diabetes, hypothyroidism, pregnancy, autoimmune diseases), these data were not included in this analysis.17 Unless otherwise stipulated, the statistical significance was established at p=0.05 (two-tailed). Tests to evaluate publication bias, such as Egger’s test,10 Begg’s test5 and funnel plots, were developed in the context of comparative data. They assume studies with positive results are more frequently published than studies with negative results, however in a meta-analysis of proportions there is no clear definition or consensus about what a positive result is.4 Therefore, publication bias in this current meta-analysis was assessed qualitatively.
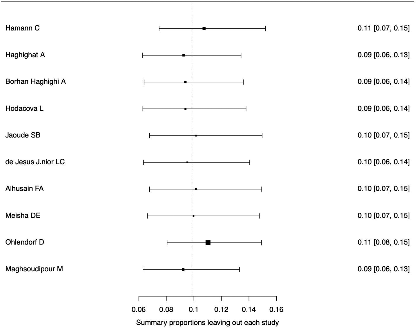
As reported in the relevant section (Criteria for study selection and data extraction), manuscript that were only related to the prevalence of CTS’ symptoms (such as the study conducted from Prasad, D.A. et al.30) and studies regarding dental hygienists (such as the study conducted from Anton D., et al3 and Cherniack M., et al.8) were excluded. In total, ten (n=10) eligible studies (3,547 participants) were finally included in this analysis (see Figure 1 for the PRISMA flow chart).37 The descriptive characteristics of the incorporated research are presented in Table 1. All articles were published from 2001 to 2021 (conducted from 1997 to 2019). All of them were found to be of cross-sectional design. Most studies were contemplated in Asia (Iran, Lebanon, Saudi Arabia, n=6), followed by America (USA, Brazil, n=2) and Europe (Czech, Germany, n=2). The average percent of males was 54.22% while the mean age of participants ranged from 35 years to 46.4 years (median=38.2 years). Lastly, two studies were estimated as high quality (low risk of bias) and the remaining ones as moderate quality (moderate risk of bias).

| Author | Year of publication | Study design | Continent of origin | Study period | Total participants | Proportion of males | Mean age | CTS | Diagnosis | Quality assessment |
|---|---|---|---|---|---|---|---|---|---|---|
| Hamann C14 | 2001 | Cross-sectional | America (USA) | 1997-1998 | 1079 | 83.6 | NR | 52 | Q, EDT | Moderate |
| Haghighat A15 | 2012 | Cross-sectional | Asia (Iran) | NR | 240 | 72 | NR | 40 | Q, CE | Moderate |
| Borhan Haghighi A6 | 2013 | Cross-sectional | Asia (Iran) | NR | 40 | 62.5 | 37.2 | 7 | Q, CE, EDT | Moderate |
| Hodacova L18 | 2014 | Cross-sectional | Europe (Czech) | 2010-2011 | 575 | 28 | 46.4 | 84 | Q | Moderate |
| Jaoude SB19 | 2017 | Cross-sectional | Asia (Lebanon) | 2014 | 314 | 58.6 | 39.2 | 24 | Q | Moderate |
| de Jesus Júnior LC9 | 2018 | Cross-sectional | America (Brazil) | 2014 | 286 | 50 | NR | 38 | Q | Moderate |
| Alhusain FA1 | 2019 | Cross-sectional | Asia (Saudi Arabia) | 2017 | 223 | 60 | NR | 17 | Q | High |
| Meisha DE22 | 2019 | Cross-sectional | Asia (Saudi Arabia) | NR | 234 | 54.3 | NR | 21 | Q | Moderate |
| Ohlendorf D26 | 2020 | Cross-sectional | Europe (Germany) | 2018-2019 | 450 | 36.2 | 35 | 14 | Q | Moderate |
| Maghsoudipour M21 | 2021 | Cross-sectional | Asia (Iran) | NR | 106 | 37 | NR | 19 | Q, CE, EDT | High |
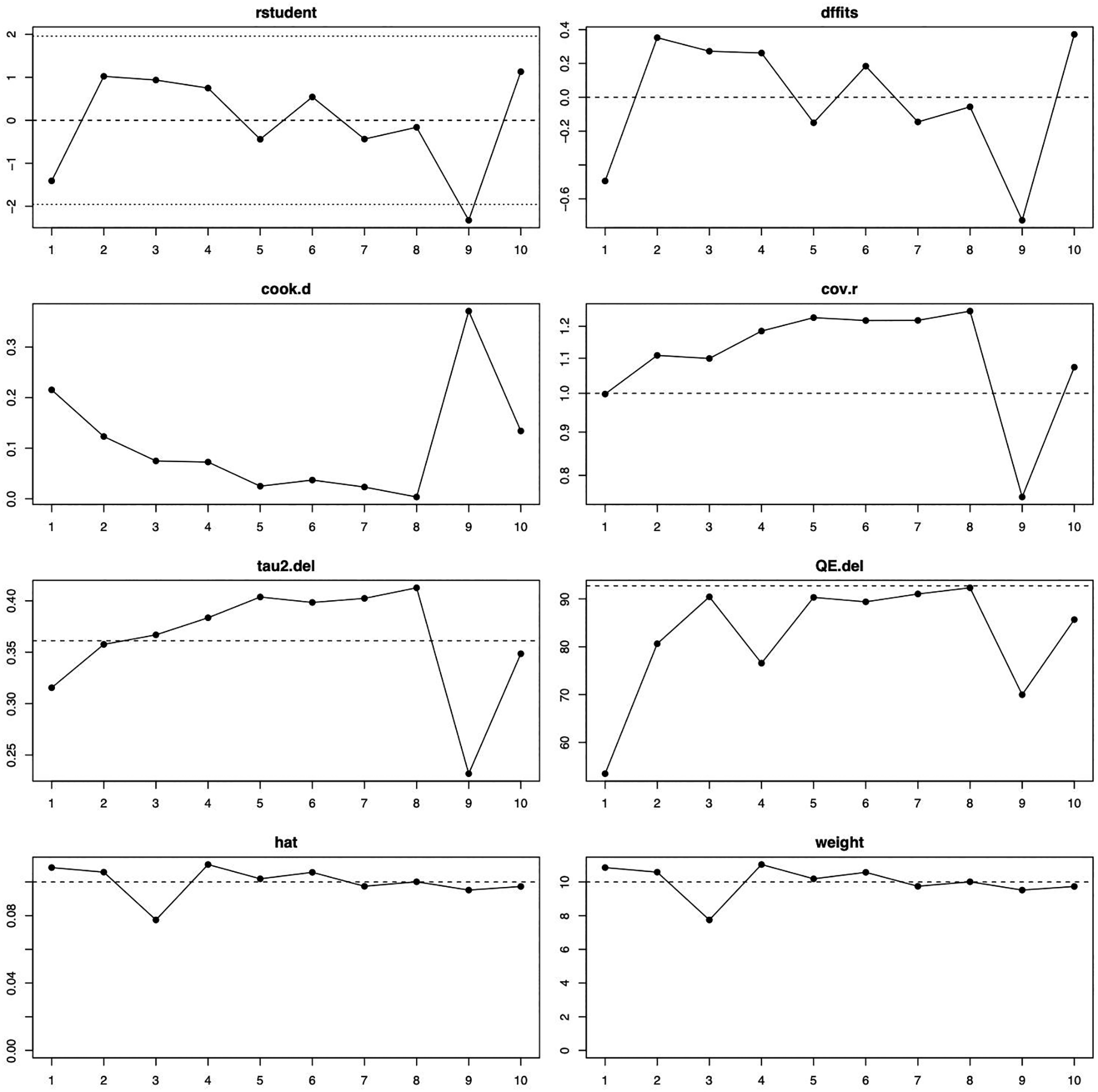
A random-effects model analysis yielded an initial overall CTS prevalence of 9.87% (95%CI 6.84%-14.03%) with significant heterogeneity between studies I2=90.55% (95%CI 79.29%-97.31%, p<0.01) (Figure 2). The influence diagnostics are presented in Figure 3. The forest plot illustrating the results of the leave-one-out analysis is presented in Figure 4. As per them, no study was identified as being influential. In other words, there was no study identified that was capable of turning the effect of the analysis into some direction.


Abbreviations used—rstudent: studentized deleted residuals; dffits: DFFITS values; cook.d: Cook’s distances; cov.r: covariance ratio; tau2.del: estimated τ2 values; QE.del: estimated Cochran’s Q values.
To investigate the effect of potential risk factors in the heterogeneity, a moderator analysis was performed. Forest plots of the subgroup analysis are illustrated in Figure 5 and Figure 6. The prevalence was 7.02% (95%CI 1.44%-27.99%) among studies conducted in Europe, 8.06% (95%CI 2.88%-20.60%) among studies conducted in America and higher among those conducted in Asia (11.71%) (95%CI 8.25%-16.35%). The prevalence was 12.47% (95%CI 6.38%-22.95%) for the group identified as having CTS through medical history and at least clinical examination or electrodiagnostic testing and 8.56% (95%CI 5.53%-13.01%) among those who identified solely through questionnaire (previously diagnosed, self-reported). Heterogeneity remained high in the subgroup analysis by both continent of origin and type of diagnostic procedure. In the meta-regression analysis with continuous variables, the year of publication and the proportion of males, no statistically significant (positive or inverse) modification was found as presented in Table 2.


CTS is one of the most frequently diagnosed entrapment neuropathy, accounting for high disability among different occupations.24 To date, only systematic reviews regarding musculoskeletal disorders (which is a general term referring to injuries in muscles, ligaments, tendons, nerves, blood vessels, bones and joints) among dental healthcare providers exist in the scientific literature. One indicative example of the above is the meta-analysis conducted by Chenna et al, in which the authors combined data from 88 studies and found out that seven out of ten dental healthcare workers (including dentist, dental students, dental hygienist and dental auxiliaries) experienced a musculoskeletal disorder. As per the location of the disorders, the most affected sites were the neck, the back, the lower back, the shoulder, the upper back and the wrist with a prevalence of 51%, 50%, 46%, 41%, 35% and 31%, respectively.7
This is the first attempt to calculate the prevalence of CTS among dentists, through a systematic review. We do not have previously published data to compare our pooled estimate with. The prevalence of the existing observational studies varies considerably in the scientific literature. Our study provides evidence for 9.87% (95%CI 6.84%-14.03%) prevalence of CTS among dentists. Overall, the results are based on highly heterogeneous articles. Through the moderator analysis, we do not manage to identify sources of heterogeneity between the eligible studies. In the subgroup analysis, the prevalence was 12.47% (95%CI 6.38-22.95) for the group identified as having CTS through medical history and at least clinical examination or electrodiagnostic testing while, the prevalence was 8.56% (95%CI 5.53%-13.01%) among those who identified solely through questionnaire (previously diagnosed, self-reported). It should be noted that the latter pooled estimate may underestimate the dental surgeons with CTS due to the diagnostic method used. In matter of other oral health care professionals, Anton D., et al, found an 8.4% prevalence of CTS among 95 dental hygienists3 while, Cherniack M., et al, calculated a 14.9% prevalence among 94 dental hygienists.8 In a recent meta-analysis, Epstein S., et al, combining data from seven eligible studies, found a 9% (95%CI 5%-16%) prevalence of CTS among 2449 physicians (from different specialties including general surgeons, plastic surgeons, orthopedic surgeons and urologists) with significant heterogeneity between studies I2=94.5%.11 All the aforementioned results align with our estimation, providing more evidence that CTS can be considered as an occupational hazard among health care professionals.
It should be noted that there are many treatments available for this entrapment neuropathy. Patients developing mild or moderate symptoms should be treated conservatively through splinting, local corticosteroid injection or oral prednisone. Other treatments available, such as physical therapy, have not proven their effectiveness yet. Surgical decompression is the treatment of choice for patients developing severe symptoms.16,35 Our study reports a considerable prevalence, consequently, the importance of awareness among dentists, regarding the etiology of this issue is more than necessary. More research should be conducted in order to explore the association between CTS among dentists and potential risk factors, such as gender, obesity, endocrine conditions (hypothyroidism, acromegaly and diabetes) and trauma.
The main strength was the comprehensive methodology applied for literature search, study selection, specific inclusion/exclusion criteria, screening for eligibility, quality assessment and pooling analysis of prevalence data from ten studies. Nonetheless, the present study had several limitations. It should be noted that the unidentified heterogeneity remained on high levels, therefore, the results should be interpreted with caution. The highly heterogenous outcomes across the included studies were expected due to the nature of this type of studies. Owing to the limited availability of data (less than ten studies for each covariate) regarding variables such as mean age, obesity, diabetes, hypothyroidism, pregnancy, autoimmune diseases, these data were not included in this analysis. Lastly, only observational studies written in English language were included resulting in the occurrence of reporting bias.
In conclusion, the prevalence of CTS among dentists is estimated at 9.87% (95%CI 6.84%-14.03%). Our results were based on highly heterogeneous studies. Sources of heterogeneity were not identified. Our findings point to several directions for future research. Therefore, further studies, both prospective and retrospective need to be conducted in order this issue to be fully investigated.
Figshare: Main characteristics and data outcome of the included studies. https://doi.org/10.6084/m9.figshare.22087427.v1. 37
Figshare: PRISMA_2020_checklist.pdf. figshare. https://doi.org/10.6084/m9.figshare.22069034.v1. 38
Data are available under the terms of the Creative Commons Zero “No rights reserved” data waiver (CC0 1.0 Public domain dedication).
| Views | Downloads | |
|---|---|---|
| F1000Research | - | - |
|
PubMed Central
Data from PMC are received and updated monthly.
|
- | - |
Are the rationale for, and objectives of, the Systematic Review clearly stated?
No
Are sufficient details of the methods and analysis provided to allow replication by others?
No
Is the statistical analysis and its interpretation appropriate?
Partly
Are the conclusions drawn adequately supported by the results presented in the review?
No
Competing Interests: No competing interests were disclosed.
Reviewer Expertise: Oral and Maxillofacial Surgery
Alongside their report, reviewers assign a status to the article:
| Invited Reviewers | ||
|---|---|---|
| 1 | 2 | |
|
Version 3 (revision) 31 Jul 23 |
read | |
|
Version 2 (revision) 20 Mar 23 |
read | read |
|
Version 1 20 Feb 23 |
read | |
Provide sufficient details of any financial or non-financial competing interests to enable users to assess whether your comments might lead a reasonable person to question your impartiality. Consider the following examples, but note that this is not an exhaustive list:
Sign up for content alerts and receive a weekly or monthly email with all newly published articles
Already registered? Sign in
The email address should be the one you originally registered with F1000.
You registered with F1000 via Google, so we cannot reset your password.
To sign in, please click here.
If you still need help with your Google account password, please click here.
You registered with F1000 via Facebook, so we cannot reset your password.
To sign in, please click here.
If you still need help with your Facebook account password, please click here.
If your email address is registered with us, we will email you instructions to reset your password.
If you think you should have received this email but it has not arrived, please check your spam filters and/or contact for further assistance.
Comments on this article Comments (0)