ALL Metrics
-
Views
-
Downloads
Get PDF
Get XML
Cite
Export
Track
Research Article
Revised

A Validated Trigonelline-Based Method for the Standardization and Quality Control of Trigonella foenum-graecum L.

[version 2; peer review: 1 approved, 1 approved with reservations]
PUBLISHED 04 Dec 2024
Author details Author details
OPEN PEER REVIEW
REVIEWER STATUS

Abstract

Background

Fenugreek, or Trigonella foenum-graecum L, is an edible and medicinal plant of the Fabaceae family. Fenugreek seeds are rich in proteins, lipids, and essential nutrients, and they also contain various phytochemicals, including flavonoids, steroidal saponins, coumarin, and alkaloids such as trigonelline. Trigonelline (TG) is a bioactive plant alkaloid initially extracted from fenugreek seeds. A substantial portion of fenugreek’s health benefits may rely on the presence of TG. This study addresses the critical need for a fast, green, and economical method that overcomes inefficiencies, high solvent usage, and sensitivity limitations in the quantification of TG.

Methods

Fenugreek seeds from various origins were extracted using three green solvents: acetone (ACt), ethanol (EtOH), and water (H2O). The UPLC-MS/MS method was developed and validated using a green mobile phase of H2O: EtOH, and an r2-value of 0.999 in the linearity range of 0.1-500 ppb was adopted. The method was validated with an accuracy of 98.6% for trace analysis of TG using a small amount (10 mg) of fenugreek samples from five different origins.

Results

The average extract yield was 5.36 mg/100 mg with a standard deviation (SD) of 6.3, with the highest extract yield observed in H2O. The ESI (+ve) of the UPLC-MS/MS resulted in the fragmentation pattern (m/z) 138→94.10→92.05→78.20. The TG quantification revealed an average TG concentration of 181.4 ppb (SD = 176.4), with the highest amount of TG in H2O extract (mean = 392.7, SD = 132.4 ppb), followed by EtOH (mean = 91.9, SD = 83.3 ppb) and ACt (mean = 59.5, SD = 30.9 ppb). The TG amount observed in the validation step substantiated the efficiency and reproducibility of the developed method.

Conclusions

The method may be used as an effective tool for a green, rapid, economical, and eco-friendly extraction and quantification of TG in diverse matrices of pharmaceutical, cosmeceutical, herbal, and food products.

Keywords

Fenugreek, UPLCMSMS, green, extraction, analysis

Revised Amendments from Version 1

This version of the article incorporates significant revisions based on reviewers' insightful feedback, enhancing the clarity, accuracy, and overall quality of the manuscript. Key updates include a more comprehensive discussion of the disadvantages of traditional TG quantification methods compared to the developed UPLC-MS/MS approach. The abstract has been revised to better articulate the research gap and include units for extract yield and TG concentration. Additionally, formatting has been standardized throughout the manuscript, including consistent use of "UPLC-MS/MS" and descriptive phrasing for standard deviations.
Specific improvements have been made to the results section, including the addition of TG percentages in all samples for comparative purposes. However, comparisons with literature values were considered challenging due to differences in sample preparation methods, with this study focusing on intact seeds rather than powdered ones. The discussion was streamlined to eliminate repetitive content and emphasize findings addressing the research gap, along with comparisons of TG content expressed in percentages to strengthen contextual relevance.
Further refinements were made to the methodology and conclusion sections for clarity and precision. For example, redundant phrasing such as "and other countries" was removed, and sentences highlighting the simplicity and eco-friendliness of the method were split for improved readability. The definition of phytochemicals in the abstract was also revised to distinguish between non-nutritive bioactive compounds and nutritional components like proteins and amino acids.
These revisions ensure the manuscript meets high scientific standards, addresses reviewer concerns, and conveys the study's innovative contributions to TG quantification using green, efficient, and sensitive analytical methods.

See the authors' detailed response to the review by Abdul Sadiq
See the authors' detailed response to the review by Abdulrahman Koshak

Introduction

Trigonella foenum-graecum L. (fenugreek) is a medicinal and food plant that belongs to the family Fabaceae, which includes common medicinal and food plants such as Pisum sativum (pea), Cicer arietinum (chickpeas), Phaseolus (beans), Glycine max (soybean), Arachis hypogaea (peanut), and Glycyrrhiza glabra (licorice).1 Fenugreek is cultivated in several countries worldwide, including the Mediterranean region, North Africa, and India.2 The seed is consumed as a condiment and seasoning in food preparations and is believed to possess nutritional and health benefits.2 For several centuries, fenugreek has been consumed orally as a traditional treatment for a wide range of diseases, including diabetes, fever, and abdominal colic, and applied topically for abscesses, boils, and carbuncles.3 Various pharmacological and clinical studies have confirmed significant medicinal properties of fenugreek seeds, including antidiabetic activity, anti-obesity activity, hypolipidemic activity, anticancer activity, antioxidant activity, anti-inflammatory activity, and antibacterial activity due to the presence of numerous bioactive components.4 Fenugreek seeds contain several classes of compounds, including proteins, lipids, amino acids, vitamins, minerals, galactomannan fibre (a carbohydrate), flavonoids, steroidal saponins, coumarin, and alkaloids such as trigonelline (TG).2

TG is a bioactive plant alkaloid that was first isolated from fenugreek seeds but is also abundant in other plant-derived food products, such as coffee beans.5 It is an N-methylated form of nicotinic acid or vitamin B3 ( Figure 1), hence chemically known as N-methylnicotinic acid (C7H7NO2). This fenugreek alkaloid has been reported to have antidiabetic, antihyperlipidemic, antimigraine, sedative, antibacterial, antiviral, anticancer, and phytoestrogenic effects; also it inhibits platelet aggregation and improves memory function.2,4 It has been reported to demonstrate its antidiabetic efficacy by enhancing the insulin signalling pathway, alleviating endoplasmic reticulum stress, and reducing oxidative damage in individuals with type 2 diabetes.4 TG has been shown to enhance the axonal formation of neurons and recover memory function in Alzheimer’s disease model mice.6 It has also been demonstrated to incorporate into the nicotinamide adenine dinucleotide (NAD+) pool and increase NAD+ levels, improving muscle function during ageing.5 Therefore, this fenugreek bioactive compound appears to be a significant contributor to the medicinal properties of fenugreek seeds.

92a7972f-2393-4256-bdf5-9a1bbc1034df_figure1.gif

Figure 1. Chemical structures of trigonelline and nicotinic acid.

Since a significant part of the fenugreek health benefits potentially depends on the presence of TG in the utilised product, there is a critical need to develop TG-based extraction and analysis methods for the standardization and quality control of fenugreek products to ensure their efficacy and safety. The optimal extraction and analysis methods should be fast, efficient, and accurate, using an economical, eco-, and human-friendly approach. Additionally, the developed methods should avoid the use of high temperatures, as it has been reported that trigonelline breaks down to niacin at high temperatures.2 Previous studies reported the use of HPLC-UV-Vis and LC-MS techniques for TG quantification, but they have the disadvantage of involving non-green and toxic solvents in the mobile phase system.7–12 Therefore, a loophole still exists for the extraction and determination of TG in fenugreek samples using a fast, green, economical, eco-friendly, and less toxic methodology. The current study aims to investigate the efficiency of three green solvents for extraction of TG from fenugreek using an ultrasonic dismembrator (20 kHz), develop an economical, eco-, and human-friendly analysis method, and practically apply the method to fenugreek samples from different origins.

Methods

Solvents, chemicals, and instruments

Analytical-grade acetone (ACt, Cat. 107021) and ethanol (EtOH, Cat. 107017), as well as HPLC-grade ethanol (EtOH, Cat. 111727), were purchased from Merck (Darmstadt, Germany). Water (H2O) used for extraction and LCMSMS analysis was produced in-house using Millipore equipment (Millipore, Bedford, MA, USA). The standard chemical trigonelline (TG, Cat. 1686411) was obtained from Sigma Aldrich St Louis, MO, USA.

Fisher Scientific (2000 Park Lane Pittsburgh, PA, USA) ultrasonics dismembrator [power (50 Watt), frequency (20 kHz), transducer (Model CL-334), horn (220 A), titanium probe (420 A; 1 mm diameter)] was used for extraction. Ultra-pressure liquid chromatography-mass spectrometry (UPLC-MS/MS) instrument (Shimadzu, Japan, LCMS-8050) consisting of binary pumps (LC-30AD), thermostatted column compartment (CTO30A), UV-DAD detector (SPD-M20A), and triple-quadrupole mass detector with electrospray-ionisation-source (TQMS-ESI) was used for quantitative analysis. The data was processed and analysed with the help of LabSolutions software (Kyoto, Japan V 5.93). The evaporation and drying of the solvents from the samples were accomplished with the help of a miVac Quattro Concentration System (Genevac Ltd., Ipswich, United Kingdom). The analytical column used for the separation was a C18 Acquity UPLC column from Waters (2.1 × 100 mm; 1.7 mm).

Fenugreek samples collection and preparation

Dried fenugreek seed samples originating from five different countries consisting of India, Egypt, Iran, Saudi Arabia, and Yemen were collected from local markets in the Kingdom of Saudi Arabia, as reported in our previous study.13 Three different types of fenugreek seeds (based on color and size) were collected for each origin, resulting in fifteen fenugreek samples (3 × 5 = 15).

Green Ultrasonics Extraction (USE) for TG

Fenugreek seed samples were extracted for the three accessions from each origin using three green solvents of ACt, EtOH, and H2O, resulting in forty-five fenugreek extracts (3 × 5 × 3 = 45). The samples were properly coded from F1 to F15 plus A, B, and C letters standing for ACt, EtOH, and H2O, respectively. The extraction procedure was adopted with slight modification from the previously developed in-house USE method.14 Briefly, 100 mg of the fenugreek seeds from each accession were weighed, and 10 mL of the respective solvent was added. The amplitude and pulse were set at 30% and 30/10 s, respectively. The five-minute extraction was followed by the evaporation of solvents using the miVac Quattro Concentration System (Genevac Ltd., Ipswich, United Kingdom). The dried samples were weighed for extract yield calculation (mg/100 mg).

Green UPLC-MS/MS analytical method for TG

Method development for green UPLC-MS/MS analysis

The standard drug TG was dissolved (1 mg/mL) in HPLC-grade EtOH to prepare a stock solution. For working standards, the stock solution was further diluted in the required solvent volume to construct six points in the linearity range of 0.1-500 ppb (0.1, 5, 10, 50, 100, and 500 ppb). The extracts, stock, and working standard solutions were prepared in HPLC-grade EtOH and filtered through a syringe filter (0.2 mm). For separation and quantitation of TG, the mobile phase of H2O (A) and EtOH (B) was used to run the TG standard solutions with a gradient of 5-95% B using the C18 column. Mobile phase at different gradient and isocratic elution compositions, flow rates (0.1, 0.2, 0.3 mL/min), and injection volumes (1, 2, 5 mL) were tested for the efficient separation of TG.

The conditions used for mass spectrometry were optimised to obtain the most appropriate ionisation and fragmentation pattern. The ESI (electrospray ionisation) interface was used for the mass analysis, and a positive MRM (multiple reaction monitoring) mode was applied to quantify and analyse the daughter fragments using an external standard calibration curve. Following the successful fragmentation via optimal collision energy (CE) selection, the fragment (m/z) with the highest intensity (base peak), along with the retention time (Rt) of the peak, were used to identify the target analyte in all samples. The final LC and MS conditions are presented in Section Chromatographic separation and MS optimisation.

Method validation for green UPLC-MS/MS analysis

The UPLCMSMS-MD was validated in terms of accuracy, linearity, LOD (limit of detection), and LOQ (limit of quantification). The linearity of the method was evaluated using six different calibration points in the range of 0.1-500 ppb, where the regression equation and r2-value were calculated. The accuracy, LOD, and LOQ were calculated via in-built LabSolutions software using the ICH guidelines15 and previously validated parameters for the UPLC-MS/MS analytical method.16

Applicability of the USE-UPLC-MS/MS for trace analysis

The developed USE-UPLC-MS/MS was further tested in terms of efficiency and applicability of the method for trace analysis by H2O extraction and analysis of lower amounts (10 mg) of the fenugreek samples containing the lowest TG quantity from each origin (F1, F5, F8, F10, and F15), as mentioned previously. The extracted samples were dried, diluted, and prepared for UPLC-MS/MS analysis to determine TG concentrations.

Results

Extracts yield

Determination of the extract yield in different fenugreek samples

The extract yield for the forty-five fenugreek extracts (N=45) exhibited a sum of 241.0 mg/4500 mg, with a mean of 5.36 (SD = 6.3). The range for the extract yield observed was (minimum to maximum) 1.1-30.6 mg (N=45). For the average extract yield/origin (N=9: mg/100 mg), the descending order observed was Egypt (mean = 7.1, SD = 8.5 mg)> Yemen (mean = 6.6. SD = 9.2 mg)> Saudi Arabia (mean = 6.0, SD = 6.0 mg)> Iran (mean = 3.7, SD = 2.9 mg)> India (mean = 3.4, SD = 2.0 mg). With regard to the highest extract yield in individual fenugreek samples of each origin (N=9), the following samples exhibited the highest extract yield in each origin: F3C in H2O (6.3 mg) for the Indian samples, F5C in H2O (21.5 mg) for the Saudi Arabian, F7A in ACt (9.6 mg) for the Iranian, F11C in H2O (28.1 mg) for the Egyptian, and F15C in H2O (30.6 mg) for the Yemeni origin. The fenugreek samples noted with the highest yield among the 45 samples were F15C (30.6 mg)> F11C (28.1 mg)> F5C (21.5 mg)> F11A (10.8 mg). The results of average and individual yields in different origins are summarized in Table 1.

Table 1. Average and individual extract yields for fenugreek samples (F1-F15) extracted with ACt (A), EtOH (B), and H2O (C).

Country of originSample codeExtract yield (mg/100 mg)Average Yield/origin (mg/100 mg) SD
IndiaF1A5.63.42.0
F1B1.3
F1C1.1
F2A5.3
F2B2.1
F2C4.2
F3A3.0
F3B1.8
F3C6.3
Saudi ArabiaF4A4.36.06.0
F4B3.7
F4C6.0
F5A3.4
F5B1.8
F5C21.5
F6A5.9
F6B2.2
F6C5.5
IranF7A9.63.72.9
F7B1.4
F7C2.9
F8A7.5
F8B1.7
F8C3.8
F9A3.1
F9B1.1
F9C2.1
EgyptF10A7.67.18.5
F10B1.4
F10C4.9
F11A10.8
F11B4.2
F11C28.1
F12A3.1
F12B1.1
F12C2.4
YemenF13A3.26.69.2
F13B1.2
F13C3.9
F14A3.6
F14B1.4
F14C4.2
F15A7.5
F15B3.6
F15C30.6

Variation of extract yield in green solvents

For the green solvents, the sum and mean of extract yield in each solvent (N=15) were 83.5 and 5.6 mg for ACt, 30.0 mg and 2.0 mg for EtOH, and 127.5 and 8.5 for H2O, respectively. The average extract yield for each individual origin in the extraction solvents resulted in the following descending order: India, mean = 4.6, SD = 1.4 mg (ACt) > mean = 3.9, SD = 2.6 mg (H2O) > mean = 1.7, SD = 0.4 mg (EtOH); Saudi Arabia, mean = 11.0, SD = 9.1 (H2O)> mean = 4.5, SD = 1.3mg (ACt)> mean = 2.6, SD = 1.0 mg (EtOH); Iran, mean = 6.7, SD = 3.3 mg (ACt)> mean = 2.9, SD = 0.9 mg (H2O)> mean = 1.4, SD = 0.3 mg (EtOH); Egypt, mean =11.8, SD = 14.2 mg (H2O)> mean = 7.2, SD = 3.9 mg (ACt)> mean 2.2, SD = 1.7 mg (EtOH)); and Yemen, mean = 12.9, SD = 15.3 mg (H2O)> mean = 4.8, SD = 2.4 mg (ACt)> mean = 2.1, SD = 1.3 mg (EtOH).

On an individual basis, the highest extract yield was observed for H2O (30.6 mg/100 mg) in the Yemeni fenugreek sample, followed by ACt (10.8 mg/100 mg) in the Egyptian fenugreek sample, and EtOH (3.7 mg/100 mg) in the Saudi Arabian fenugreek sample. The total and average extract yield data for the fenugreek samples suggest a descending order of extract yield with the superior solvent to be H2O>ACt> EtOH. The data for the extract yield in green solvents is shown in detail in Table 2.

Table 2. Yield/Origin (mg) and total extract yield (mg) in green solvents for fenugreek samples with SD.

Origin CodeYield in Act (A)Yield in EtOH (B)Yield in H2O (C)
Yield/sample Average/Origin SD Yield/sample Average/Origin SD Yield/sample Average/Origin SD
India F15.64.61.41.31.70.41.13.92.6
F25.32.14.2
F33.01.86.3
Saudi Arabia F44.34.51.33.72.61.06.011.09.1
F53.41.821.5
F65.92.25.5
Iran F79.66.73.31.41.40.32.92.90.9
F87.51.73.8
F93.11.12.1
Egypt F107.67.23.91.42.21.74.911.814.2
F1110.84.228.1
F123.11.12.4
Yemen F133.24.82.41.22.11.33.912.915.3
F143.61.44.2
F157.53.630.6
Sum 83.530.0127.5
Mean 5.62.08.5
SD 2.51.09.7

Chromatographic separation and MS optimisation

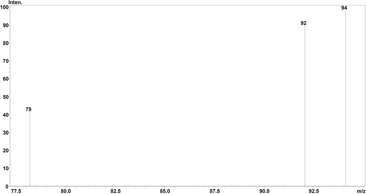
The chromatographic method development resulted in a mobile phase of H2O (A)+EtOH (B) with an isocratic elution of 30 (A):70 (B). The retention time for TG was 0.882 min with a runtime of 1.5 min at a flow rate of 0.3 mL/min. The method was validated using ICH guidelines in the linearity range of 0.1-500 ppb, where an accuracy of 98.6% with an r2-value of 0.999 was obtained, showing the efficiency and reproducibility of the method. For MS optimisation, a positive (+ve) MRM mode with an ESI interface resulted in the daughter fragments (m/z) of 138 →94.10 →92.05 →78.20. The base peak of 94.10 was selected for the data analysis and calibration curve development using the six different concentrations of calibration points. The details regarding LC separation and MS optimisation are presented in Table 3. A representative chromatogram showing the Rt for the TG-peak is given in Figure 2 whereas the mass fragmentation pattern with the base peak for TG is shown in Figure 3. The details regarding the calibration curve, regression equation, and r2-value with the linearity range points are presented in Figure 4.

Table 3. LC and MS conditions for the analysis of TG in fenugreek samples.

LC and MS parameters
Mobile phase H2O (A)+EtOH (B)
Mobile phase composition Isocratic at 30 (A):70 (B)
Flow rate (FR) 0.3 mL/min
Rt (retention time) 0.882 min
Runtime 1.5 min
LOD (limits of detection) 0.5 ppb
LOQ (limits of quantification) 1.4 ppb
Accuracy 98.6%
Regression equation Y=22846.9x+100685
r 2-value 0.999
Linearity range 0.1-500 ppb
TG-fragmentation pattern Precursor mass Product m/z Q1 pre-bias (V) CE Q3 pre-bias (V)
13894.10-12.0-22.0-17.0
13892.05-10.0-20.0-22.0
13878.20-13.0-25.0-14.0
MRM mode +ve
Dwell time 100 msec
Event time 0.309
Mass end time 1.5
Interface ESI
Nebulizing gas flow 3 L/min
Drying gas flow 10 L/min
Heating gas flow 10 L/min
Interface temperature 300°C
DL temperature 250°C
Heat block temperature 400°C
Interface current 0.4 uA
92a7972f-2393-4256-bdf5-9a1bbc1034df_figure2.gif

Figure 2. UPLC-MS/MS chromatogram of TG standard.

92a7972f-2393-4256-bdf5-9a1bbc1034df_figure3.gif

Figure 3. MSMS fragmentation pattern of TG (m/z).

92a7972f-2393-4256-bdf5-9a1bbc1034df_figure4.gif

Figure 4. Standard calibration curve of TG.

TG quantification

UPLC-MS/MS analysis of TG in different fenugreek samples

The TG amount observed was within the range of (minimum to maximum) 22.2-535.0 ppb (N = 45). The sum, mean, and SD for the TG amount in the fenugreek samples (N = 45) were 8161 ppb, 181.4, and 176.4 ppb, respectively. The average TG amount/individual origin (N=9; ppb) created a descending order of Yemen (mean = 220.0, SD = 191.7)> India (mean = 211.3, SD = 198.1)> Saudi Arabia (mean = 190.8, SD = 210.7)> Egypt (mean = 189.5, SD = 165.2)> Iran (mean = 95.2, SD = 110.4). The greatest TG amounts were observed in the following fenugreek samples: 535.0 ppb for F3C (Indian)> 510.0 ppb for F6C (Saudi Arabian)> 491.0 ppb for F4C (Saudi Arabian)> 475.0 ppb for F14C (Yemeni).

For the highest TG amount in each individual origin (N = 9), an amount of 535.0 ppb in H2O was observed for F3C (India), 510.0 ppb in H2O for F6C (Saudi Arabia), 370.0 ppb in H2O for F9C (Iran), 423.0 ppb in H2O for F12C (Egypt), and 475.0 ppb in H2O for F14C (Yemen). Detailed data regarding the TG amount in 45 different samples of fenugreek seeds is provided in Table 4.

Table 4. Average and individual TG amounts in fenugreek samples (F1-F15) extracted with ACt (A), EtOH (B) and H2O (C).

Country of originSample codeTG amount (ppb)TG %Average TG amount/origin (ppb) SD
India F1A56.60.00011211.3198.1
F1B105.50.00021
F1C434.00.00087
F2A43.20.00009
F2B146.00.00029
F2C437.00.00087
F3A36.70.00007
F3B108.10.00022
F3C535.00.00107
Saudi Arabia F4A37.00.00007190.8210.7
F4B46.70.00009
F4C491.00.00098
F5A80.40.00016
F5B62.30.00012
F5C405.00.00081
F6A34.30.00007
F6B50.10.00010
F6C510.00.00102
Iran F7A27.30.0000595.2110.4
F7B22.20.00004
F7C92.60.00019
F8A22.60.00005
F8B24.30.00005
F8C82.90.00017
F9A133.20.00027
F9B81.70.00016
F9C370.00.00074
Egypt F10A100.70.00020189.5165.2
F10B107.50.00022
F10C391.00.00078
F11A47.20.00009
F11B35.40.00007
F11C407.00.00081
F12A91.60.00018
F12B102.30.00020
F12C423.00.00085
Yemen F13A49.10.00010220.0191.7
F13B102.70.00021
F13C452.00.00090
F14A74.30.00015
F14B359.20.00072
F14C475.00.00095
F15A58.40.00012
F15B24.40.00005
F15C385.00.00077

Variation of TG amount in green solvents

The UPLC-MS/MS analysis of the green extracts of fenugreek seeds exhibited the highest average amount of TG (N=15) in H2O (mean = 392.7, SD = 132.4 ppb) followed by EtOH (mean = 91.9, SD = 83.3 ppb) and ACt (mean = 59.5, SD = 30.9 ppb). On an individual basis, the highest amount of TG was detected in H2O extracts of all fenugreek samples (N = 45) when compared to the EtOH and ACt extracts of the same samples.

For the average TG amount in the three solvent extracts of each individual origin, a descending order may be constructed (N=9) as follows: India, mean = 468.7, SD = 57.5 ppb (H2O)> mean = 119.9, SD = 22.7 ppb (EtOH)> mean = 45.5, SD = 10.1 ppb (ACt); Saudi Arabia, mean 468.7, SD = 55.9 ppb (H2O)> mean = 53.0, SD = 8.2 ppb (EtOH)> mean = 50.6, SD = 25.9 ppb (ACt); Iran, mean = 181.8, SD = 163.0 ppb (H2O)> mean = 61.0, SD = 62.6 ppb (ACt)> mean = 42.7, SD = 33.8 ppb (EtOH); Egypt, mean = 407.0, SD = 16.0 ppb (H2O)> mean = 81.7, SD = 40.2 ppb (EtOH)> mean = 9.8, SD = 28.6 ppb (ACt); and Yemen, mean = 437.3, SD = 46.8 ppb (H2O)> mean = 162.1, SD = 175.1 ppb (EtOH)> mean = 60.6, SD = 12.8 ppb (ACt). The average and individual TG amounts suggest the descending order for solvents with optimal TG amount to be H2O> EtOH> ACt. The data regarding the TG amount is provided in detail in Table 5.

Table 5. TG amount/Origin (ppb) and total TG amount (ppb) quantified via UPLC-MS/MS in the green extracts of fenugreek.

Origin CodeTG in Act (A)TG in EtOH (B)TG in H2O (C)
TG/sample Average/Origin SD TG/sample Average/Origin SD TG/sample Average/Origin SD
IndiaF156.645.510.1105.5119.922.7434.0468.757.5
F243.2146.0437.0
F336.7108.1535.0
Saudi ArabiaF437.050.625.946.753.08.2491.0468.755.9
F580.462.3405.0
F634.350.1510.0
IranF727.361.062.622.242.733.892.6181.8163.0
F822.624.382.9
F9133.281.7370.0
EgyptF10100.779.828.6107.581.740.2391.0407.016.0
F1147.235.4407.0
F1291.6102.3423.0
YemenF1349.160.612.8102.7162.1175.1452.0437.346.8
F1474.3359.2475.0
F1558.424.4385.0
Sum892.61378.45890.5
Mean59.591.9392.7
SD30.983.3132.4

Applicability of USE-UPLC-MS/MS for trace analysis

The developed USE-UPLC-MS/MS was further tested in terms of the efficiency and applicability of the method for trace analysis by H2O extraction and analysis of lower amounts (10 mg) of fenugreek samples. A sample from each origin (F1 for India, F5 for Saudi Arabia, F8 for Iran, F10 for Egypt, and F15 for Yemen) was selected for this purpose. The developed USE-UPLC-MS/MS was able to extract and detect TG in the low-amount samples (10 mg) with a minimum amount of 20 ppb in F8 (Iran). The TG amount from the 10 mg extracts of fenugreek samples (N=5) showed a sum of 403.4 ppb with a mean of 80.68 (SD = 34.28 ppb). The TG amount ranged from a minimum of 20 ppb to a maximum amount of 103.5 ppb. The data for the TG amounts in all five samples is presented in Figure 5.

92a7972f-2393-4256-bdf5-9a1bbc1034df_figure5.gif

Figure 5. Trace analysis of TG in 10 mg of five fenugreek samples.

Discussion

The USE protocol was selected for extraction due to its numerous advantages, including high extraction efficiency and the use of the least possible sample amount, solvent volume, and extraction time.14,16 The USE method used three green solvents (ACt, EtOH, and H2O) to assess the optimal solvent with the highest TG amount. Compared to toxic solvents, these green solvents significantly reduce health risks, environmental contamination, and regulatory challenges, while also addressing consumer demands for sustainable and safe extraction methods. The combined benefits of these solvents highlight their superiority as extraction solvents, particularly for food bioactive compounds like trigonelline in fenugreek. The extraction results, represented by the individual and total extract yield, suggested H2O as an appropriate solvent for extraction. This study reports a high aqueous extract yield and TG amount for H2O among the three green solvents, which agrees with previous studies reporting H2O as an efficient extraction medium for TG.7,8 The total extract yield for the green solvents exhibited an order of H2O>ACt>EtOH. Moreover, the highest yield on an individual basis was observed for H2O in the Yemeni fenugreek sample. The aim of this study was to quantify the TG amount in these fenugreek samples; hence, an advanced analytical instrument of UPLC-MS/MS was employed to develop and validate a green in-house method for TG trace quantification.

A rapid, sensitive, green, and reproducible method was developed using a green mobile phase of H2O and EtOH with a low flow rate of 0.3 mL/min in a short runtime of 1.5 min with equilibration. The developed method was validated for accuracy, detection and quantification limits, and coefficient value determination as per ICH guidelines, where all the results were obtained within the specified limits. To the best of our knowledge, this is the first green, sensitive, and rapid UPLC-MSMS analysis method for the quantification of TG in fenugreek samples. Previous studies reported the use of HPLC-UV-Vis and LC-MS techniques for TG quantification in coffee beans, fenugreek, and dietary supplements available in the market, but non-green and toxic solvents were used in the mobile phase system.7–10 Therefore, the main strength of this study is the use of green solvents for extraction and analysis of TG in fenugreek samples. A successful green and rapid extraction and analysis method was developed in this study.

Following a successful UPLC-MS/MS, the extracted samples were analysed using the in-house method. A similar pattern was observed for the extracted samples, where the highest TG amounts were observed in the H2O samples. A descending order for the solvent with the highest quantities was constructed for all the forty-five extracted samples as H2O> EtOH> ACt. Previous studies have reported trigonelline to be freely soluble in water.7–12 Therefore, the solubility and extraction behaviour for TG in the aqueous medium complements the concept of TG aqueous solubility, which corroborates the outcomes.

This is the first time to report a comprehensive assessment of TG in fifteen samples from different origins marketed in Saudi Arabia using a green, rapid, efficient, and reliable method of USE-UPLC-MS/MS. The method assessed the quality of the fenugreek samples in terms of their TG concentration, where significant variation was observed among the samples from different origins. Previous TG quantification studies were conducted using coarsely powdered fenugreek samples, as demonstrated in a study by Bakhtiar et al. (2024) in Iran.17 In that study, the fenugreek samples were analyzed using HPLC–PDA, and the average TG concentrations ranged between 0.426% and 0.678%. The variation in concentration was attributed to differences in geographical location and extraction procedures. In another study, the trigonelline content varied between 0.74% and 0.97%.18 The high TG concentrations reported in previous studies might be explained by the preparation and crushing of fenugreek seeds into powder, which facilitates more efficient extraction.

The real challenge is to validate the efficiency and reproducibility of the developed USE-UPLC-MS/MS method to be applied practically for the assessment and evaluation of low concentrations of target analytes in complex matrices. At times, the challenge of trace analysis for TG in samples of dietary supplements or marketed products may be encountered; hence, it becomes essential to authenticate the scope of the developed method for quantification of TG at low amounts in a matrix. To prepare the method for the mentioned challenge, an extra validation step was undertaken for extraction and trace analysis of TG. A small amount (10x lower in concentration) of the fenugreek amount for the five different origin samples was weighed and extracted with USE as previously described. The extracted samples were diluted and analyzed via the UPLC-MS/MS analytical method. The quantification of TG was successfully accomplished at the lowest TG concentration present in the tested fenugreek samples, ensuring the applicability and reliability of the developed method.

The USE-UPLC-MS/MS method developed in this study extends the benefit of using TG as a marker for the quality control and standardization of any pharmaceutical, cosmeceutical, herbal, and dietary products containing TG. The method avoids the need for additional steps, such as seed crushing and sieving, by using an ultrasonic dismembrator. Furthermore, the method employs small sample amounts (10 mg) and low solvent volumes, ensuring cost-efficiency and eco-friendliness. Another add-on advantage is the use of H2O as a medium for extraction, which is usually produced within the labs using Millipore apparatus. Overall, this method offers high levels of convenience, reliability, sensitivity, and accuracy for the quality evaluation and standardization of any TG-containing samples.

Conclusions

The study developed a green, fast, economical, and reliable method (USE-UHPLCMSMS) for the extraction and analysis of TG in different fenugreek seed extracts collected from different geographical origins. The method was further validated to ensure the efficiency in matrices containing trace amounts of TG. The use of water with the lowest possible amount of samples is considered a superior economical point of the developed extraction method, in addition to the green and short analysis time of the UPLC-MS/MS analytical method. The USE-UPLC-MS/MS method may serve as a tool in research labs and for the quality control and standardization of TG amounts in different commercial herbal products and dietary supplements.

Ethics and consent

The present study did not involve the use of human or animals; therefore, ethical approval and consent were not required.

Authors’ contributions

Conceptualization, S.H., M.A., and R.A.; Methodology, M.A., R.A. and S.H.; Software, M.A. and R.A.; Validation, M.A., S.H. and R.A.; Formal Analysis, M.A. and R.A.; Investigation, A.A. and R.A.; Resources, M.A. and R.A.; Data Curation, S.H. and R.A.; Writing—Original Draft Preparation, M.A., R.A., A.A. and S.H.; Writing—Review and Editing, M.A., R.A., S.H. and A.A.; Visualization, M.A., S.H. and R.A.; Supervision, S.H. and R.A.; Project Administration, S.H. and R.A. All authors have read and agreed to the final version of the manuscript.

Comments on this article Comments (0)

Version 3
VERSION 3 PUBLISHED 11 Nov 2024
Comment
Author details Author details
Competing interests
Grant information
Copyright
Download
 
Export To
metrics
Views Downloads
F1000Research - -
PubMed Central
Data from PMC are received and updated monthly.
- -
Citations
CITE
how to cite this article
Aldholmi M, Ahmad R, Hago S and Alabduallah A. A Validated Trigonelline-Based Method for the Standardization and Quality Control of Trigonella foenum-graecum L. [version 2; peer review: 1 approved, 1 approved with reservations]. F1000Research 2024, 13:1350 (https://doi.org/10.12688/f1000research.157659.2)
NOTE: If applicable, it is important to ensure the information in square brackets after the title is included in all citations of this article.
track
receive updates on this article
Track an article to receive email alerts on any updates to this article.

Open Peer Review

Current Reviewer Status: ?
Key to Reviewer Statuses VIEW
ApprovedThe paper is scientifically sound in its current form and only minor, if any, improvements are suggested
Approved with reservations A number of small changes, sometimes more significant revisions are required to address specific details and improve the papers academic merit.
Not approvedFundamental flaws in the paper seriously undermine the findings and conclusions
Version 2
VERSION 2
PUBLISHED 04 Dec 2024
Revised
Views
12
Cite
Reviewer Report 12 Dec 2024
Abdulrahman Koshak, King Abdulaziz University, Jeddah, Saudi Arabia 
Approved with Reservations
VIEWS 12
The manuscript is much clearer now; however, there are still two minor comments to address:
  1. Under the section Method Validation for Green UPLC-MS/MS Analysis, what do you mean by "UPLCMSMS-MD"? Is it the same as UPLC-MS/MS?
... Continue reading
CITE
CITE
HOW TO CITE THIS REPORT
Koshak A. Reviewer Report For: A Validated Trigonelline-Based Method for the Standardization and Quality Control of Trigonella foenum-graecum L. [version 2; peer review: 1 approved, 1 approved with reservations]. F1000Research 2024, 13:1350 (https://doi.org/10.5256/f1000research.175377.r345766)
NOTE: it is important to ensure the information in square brackets after the title is included in all citations of this article.
  • Author Response 18 Dec 2024
    Salma Hago, Faculty of Pharmacy, Department of Pharmacognosy, University of Gezira, Wad Madani, Sudan
    18 Dec 2024
    Author Response
    Response to the reviewer comment No. 1:
    This typo error and we modified it in the manuscript into UPLC-MS/MS

    Response to the reviewer comment No. 2
    The higher TG ... Continue reading
COMMENTS ON THIS REPORT
  • Author Response 18 Dec 2024
    Salma Hago, Faculty of Pharmacy, Department of Pharmacognosy, University of Gezira, Wad Madani, Sudan
    18 Dec 2024
    Author Response
    Response to the reviewer comment No. 1:
    This typo error and we modified it in the manuscript into UPLC-MS/MS

    Response to the reviewer comment No. 2
    The higher TG ... Continue reading
Views
5
Cite
Reviewer Report 06 Dec 2024
Abdul Sadiq, University of Malakand, Chakdara, Khyber Pakhtunkhwa, Pakistan 
Approved
VIEWS 5
I approve the manuscript ... Continue reading
CITE
CITE
HOW TO CITE THIS REPORT
Sadiq A. Reviewer Report For: A Validated Trigonelline-Based Method for the Standardization and Quality Control of Trigonella foenum-graecum L. [version 2; peer review: 1 approved, 1 approved with reservations]. F1000Research 2024, 13:1350 (https://doi.org/10.5256/f1000research.175377.r345767)
NOTE: it is important to ensure the information in square brackets after the title is included in all citations of this article.
Version 1
VERSION 1
PUBLISHED 11 Nov 2024
Views
17
Cite
Reviewer Report 26 Nov 2024
Abdul Sadiq, University of Malakand, Chakdara, Khyber Pakhtunkhwa, Pakistan 
Approved with Reservations
VIEWS 17
The manuscript presents a scientifically sound and innovative method for the extraction and analysis of trigonelline in fenugreek seeds. The approach is environmentally sustainable, reproducible, and suitable for widespread application. Minor enhancements could be considered for future work, but the ... Continue reading
CITE
CITE
HOW TO CITE THIS REPORT
Sadiq A. Reviewer Report For: A Validated Trigonelline-Based Method for the Standardization and Quality Control of Trigonella foenum-graecum L. [version 2; peer review: 1 approved, 1 approved with reservations]. F1000Research 2024, 13:1350 (https://doi.org/10.5256/f1000research.173145.r340136)
NOTE: it is important to ensure the information in square brackets after the title is included in all citations of this article.
  • Author Response 04 Dec 2024
    Salma Hago, Faculty of Pharmacy, Department of Pharmacognosy, University of Gezira, Wad Madani, Sudan
    04 Dec 2024
    Author Response
    Reviewer Comment 1: Phytochemicals usually refer to biologically active compounds produced by plants, which typically include non-nutritive substances such as alkaloids, flavonoids, phenolic acids, tannins, terpenes, and saponins. If proteins ... Continue reading
COMMENTS ON THIS REPORT
  • Author Response 04 Dec 2024
    Salma Hago, Faculty of Pharmacy, Department of Pharmacognosy, University of Gezira, Wad Madani, Sudan
    04 Dec 2024
    Author Response
    Reviewer Comment 1: Phytochemicals usually refer to biologically active compounds produced by plants, which typically include non-nutritive substances such as alkaloids, flavonoids, phenolic acids, tannins, terpenes, and saponins. If proteins ... Continue reading
Views
25
Cite
Reviewer Report 22 Nov 2024
Abdulrahman Koshak, King Abdulaziz University, Jeddah, Saudi Arabia 
Approved with Reservations
VIEWS 25
The article presents a novel analytical technique for quantifying the marker compound TG in fenugreek using UPLC-MS/MS. However, it would benefit from a more comprehensive discussion of the disadvantages associated with traditional methods in comparison to the developed approach. For ... Continue reading
CITE
CITE
HOW TO CITE THIS REPORT
Koshak A. Reviewer Report For: A Validated Trigonelline-Based Method for the Standardization and Quality Control of Trigonella foenum-graecum L. [version 2; peer review: 1 approved, 1 approved with reservations]. F1000Research 2024, 13:1350 (https://doi.org/10.5256/f1000research.173145.r340140)
NOTE: it is important to ensure the information in square brackets after the title is included in all citations of this article.
  • Author Response 04 Dec 2024
    Salma Hago, Faculty of Pharmacy, Department of Pharmacognosy, University of Gezira, Wad Madani, Sudan
    04 Dec 2024
    Author Response
    Title Reviewer Comment: Include the keywords "green" and "UPLC-MS/MS" to emphasize the innovative and advantageous aspects of the study. Response: While we appreciate this suggestion, we have chosen to retain ... Continue reading
COMMENTS ON THIS REPORT
  • Author Response 04 Dec 2024
    Salma Hago, Faculty of Pharmacy, Department of Pharmacognosy, University of Gezira, Wad Madani, Sudan
    04 Dec 2024
    Author Response
    Title Reviewer Comment: Include the keywords "green" and "UPLC-MS/MS" to emphasize the innovative and advantageous aspects of the study. Response: While we appreciate this suggestion, we have chosen to retain ... Continue reading

Comments on this article Comments (0)

Version 3
VERSION 3 PUBLISHED 11 Nov 2024
Comment
Alongside their report, reviewers assign a status to the article:
Approved - the paper is scientifically sound in its current form and only minor, if any, improvements are suggested
Approved with reservations - A number of small changes, sometimes more significant revisions are required to address specific details and improve the papers academic merit.
Not approved - fundamental flaws in the paper seriously undermine the findings and conclusions
Sign In
If you've forgotten your password, please enter your email address below and we'll send you instructions on how to reset your password.

The email address should be the one you originally registered with F1000.

Email address not valid, please try again

You registered with F1000 via Google, so we cannot reset your password.

To sign in, please click here.

If you still need help with your Google account password, please click here.

You registered with F1000 via Facebook, so we cannot reset your password.

To sign in, please click here.

If you still need help with your Facebook account password, please click here.

Code not correct, please try again
Email us for further assistance.
Server error, please try again.