Keywords
COVID-19; Inflammation; Mortality; Neutrophil-to-lymphocyte ratio, platelet-to-lymphocyte ratio, Hospital stay, age
This article is included in the Coronavirus (COVID-19) collection.
This study investigated the utility of platelet-to-lymphocyte ratio (PLR) and Neutrophil-to-Lymphocyte ratio (NLR) in patients with COVID-19 with respect to age, early (a week) vs. delayed recovery (> a week) and mortality.
This was a retrospective study including 1,016 COVID-19 patients. The discriminatory power and multivariate logistic regression analysis were performed.
The mean age of patients was 45 (± 13.9), and 75.7% were males. Older patients had elevated NLR, PLR, D-dimer, CRP, and Interleukin-6 levels and longer hospital stay than the younger group (p < 0.001). In-hospital mortality was higher in older adults (26.9% vs. 6.6%, p =0.001). On-admission NLR (5.8 vs. 3.2; P= 0.001) and PLR (253.9±221.1 vs. 192.2±158.5; p = 0.004) were higher in the non-survivors than survivors. Both PLR and NLR displayed significant discriminatory ability for mortality. NLR had a higher AUC and specificity, while PLR exhibited slightly higher sensitivity. In individuals aged ≤55, NLR showed superior discrimination (AUC=0.717) compared to PLR (AUC=0.620). Conversely, for older adults, PLR displayed enhanced discrimination (AUC=0.710), while NLR showed AUC=0.693.
Higher admission NLR and PLR levels were associated with delayed recovery, whereas an enhanced NLR was associated with considerably higher mortality in older COVID-19 patients.
COVID-19; Inflammation; Mortality; Neutrophil-to-lymphocyte ratio, platelet-to-lymphocyte ratio, Hospital stay, age
- Simple, instant bedside laboratory tests on admission are of utmost value for patients’ stratification during a pandemic.
- COVID-19 patients with elevated NLR and PLR levels are associated with delayed recovery, more ICU admissions, and intubation.
- A greater NLR values are associated with higher mortality in older COVID-19 patients.
- However, none of these two parameters alone is an independent predictor of death.
The severe acute respiratory syndrome coronavirus-2 (SARS CoV-2) causing Coronavirus disease 2019 (COVID-19) has exhausted the healthcare infrastructure worldwide by causing recurrent waves.1 The SARS-CoV-2 infection has wide clinical variations, ranging from asymptomatic infection to moderate upper respiratory tract sickness to severe viral pneumonia with respiratory failure and death.2 Of note, reliable laboratory parameters of the severity of the disease, treatment response, and outcome were not thoroughly investigated during the early phase of the pandemic due to rapid onset and spread. As a result, early identification of clinical and laboratory variables linked with poor outcomes is critical for identifying low- and high-risk patients for triage and appropriate management.
Infectious diseases are associated with inflammation, and existing data supports its central contribution to the progression and pathogenesis of COVID-19.2 Because of SARS-COV-2 viral replication, cellular destruction leads to cytokines and chemokines from the activated macrophages.3 As a result, they set off immunological responses, which in turn cause cytokine storms and aggravate the situation. As a result, they elicit immune responses, which create cytokine storms and exacerbate the problem. This imbalance arises because the adaptive immune response depends on the inflammatory response’s strength.4 Therefore, patients with a pre-existing chronic inflammatory status might be vulnerable to a severe form of COVID-19 disease.
The Neutrophil-to-lymphocyte ratio (NLR) and platelet-to-lymphocyte ratio (PLR) are straightforwardly obtainable ratios from complete blood count (CBC) panels. Emerging evidence suggests that peripheral NLR and PLR can be used as markers of systemic inflammation in various disease processes.5–9 Several studies have reported the prognostic role of NLR in differentiating mild/moderate cases from severe COVID-19 cases and have proposed that NLR can be a reliable predictor of COVID-19 progression associated with high mortality in COVID-19.10–16 Moreover, several studies have also suggested PLR to be a promising and reliable indicator of disease severity, exhibiting good predictive values on progression and clinical outcomes in patients with COVID-19.17–22
However, an imitating factor of these ratios is the inability to collate with ethnic differences.23 Also, they can be profoundly influenced by age and gender,24,25 whose dependence has not yet been fully explored in COVID-19 disease. Moreover, Qatar has a distinct demographic profile, with around 88% of the expatriate workforce of Qatar’s 2.8 million citizens. While the bulk of the population (75%) is male gender, the pyramid shape of population distribution is disproportionately concentrated in the 20–50-year age group.25 COVID-19 affects males disproportionately, and older adults tend to have worse outcomes.26,27
We sought to evaluate the association of NLR and PLR and the recovery and mortality in patients with COVID-19. Also, to assess age-stratified differences in these outcomes.
A retrospective observational study was conducted, including patients with COVID-19 admitted to the different affiliated Hospitals of Hamad Medical Corporation (HMC) in Qatar at the beginning of the coronavirus pandemic (from March 01 to June 01, 2020). The subjects included in the study were laboratory-confirmed cases of COVID-19 disease (>18 years old) of both genders. Patients with an inconclusive diagnosis of COVID-19 by RT-PCR testing, undefined diagnosis, and missing data were excluded from the study. Data were extracted from the electronic medical record (CERNER), which included patients’ demographics such as (age, gender, nationality); recent exposure history, clinical symptoms and signs, comorbidities (Hypertension, diabetes mellitus, cancer, renal failure, chronic obstructive pulmonary disease, and others), initial vitals (Systolic blood pressure, diastolic blood pressure, pulse, respiratory rate, blood oxygen saturation), routine laboratory findings (initial and repeated readings) including CBC, blood chemistry and C-reactive protein (CRP), chest X-ray and computed tomographic scans, treatment, mechanical ventilation, hospital and intensive critical care (ICU) length of stay, speed of recovery (within one week, and more than one week), discharge from hospital and mortality.
TaqPath COVID-19 Combo KitTM (Thermo Fisher Scientific, Waltham, Massachusetts, USA) or Cobas SARS-CoV-2 Test® (Roche Diagnostics, Rotkreuz, Switzerland) were used to identify SARS-CoV-2 infection utilizing Nasopharyngeal and throat samples. All COVID-19 testing was performed at the central laboratory of the HMC, which manages over 85% of the country’s inpatient bed capacity and is responsible for delivering public healthcare.
- Every patient who experienced COVID-19-like manifestations and at the same time tested positive for COVID-19 in respiratory samples using a real-time reverse-transcription polymerase chain reaction (RT-PCR) assay was deemed a confirmed COVID-19 case.
- The platelet-to-lymphocyte ratio (PLR) was defined as the ratio between absolute Platelet counts to absolute lymphocyte count, and the neutrophil-to-lymphocyte ratio (NLR) was defined as the ratio between absolute neutrophil counts to absolute lymphocyte count.
- Recovery referred to two negative swab tests done consecutively.
The data were collated in Microsoft Excel, and statistical analysis was performed using SPSS, version 28.0. for Windows (Armonk, NY: IBM Corp, USA). Data were expressed as proportions, means ± standard deviations, or medians as appropriate for continuous variables or as absolute counts and percentages for categorical variables. Data were compared using the student-t-test for continuous variables and the Pearson χ2 test for categorical variables. The Fisher exact test was used if the expected cell frequencies were below five. For skewed continuous data, a nonparametric Mann-Whitney test was performed. The independent predictors of mortality were identified using multivariable logistic regression analysis after adjusting for age, gender, comorbidities, complications, NLR, and PLR as covariates of interest.
Areas under the curve (AUC) of ROC curves were employed to determine the ratios’ performance in age discrimination regarding NLR and PLR. The best cut-off points of the ratios were the points on the curves with the highest sensitivity and specificity. The sample size for the current study was not determined a priori as we intended to include all the laboratory-confirmed COVID-19 cases during the study period. A two-sided P-value < 0.05 was considered statistically significant.
This observational study was conducted in accordance with the STROBE principles. The study was authorized by the Institutional Review Board and Medical Research Council (MRC-01-20-672 & MRC-05-213) of Hamad Medical Corporation. A waiver of consent was granted for this retrospective study as there was no direct contact was made with the participants, and the data were collected anonymously.
During the study period, 1016 persons tested positive for SARS-CoV-2. The mean age of the cohort was 45 ±13.9 years, and an overwhelming majority of infected persons were male (75.7 %). The most common chronic medical conditions were hypertension (40.3%), followed by diabetes mellitus (39.0%), chronic kidney disease (14.0%), cancer (5.4%) and chronic obstructive pulmonary disease (4.8%).
Table 1 outlines the comparison of clinical characteristics, in-hospital complications, comorbidities, and outcomes of COVID-19 patients according to hospital length of stay. Patients in the long-stay group were older (45.9±13.9 vs.40.6±13.2), had significantly lower SpO2 (97.1±3.6 vs. 98.4±2.0), and were more likely to have significant medical comorbidities compared to ‘short stay’ group. Compared with the short-stay group, patients in the long-stay group were presented with lower lymphocyte and platelet counts and higher inflammation-related indices (CRP, IL-6). Further significant elevations in NLR [3.7 (0.3-72.0) vs. 2.8 (0.6(0.6-53.0); P=0.002] and the PLR indices was found [205.4±178.8 vs. 199.6±168.2; P=0.001). Concerning the major in-hospital complications, patients in the long-hospital stay group were more likely to have renal failure (16.7% vs. 5.1%; P=0.001) and ARDS (3.7% vs. 0.0%; P=0.009) than patients in the short-stay group. The in-hospital mortality rate was 11.9% (121/1016). Patients in the long-stay group had higher in-hospital mortality than those in the short-stay group (12.8% vs.7.9%; P<0.06).
Table 2 summarizes the impact of age. Of the total COVID-19 patients, 74% were aged ≤55, and 26% were >55. Hypertension (75% vs. 8.1%), diabetes mellitus (DM) (70.8% vs. 27.8%), and chronic kidney disease (30.3% vs. 8.2%) were more evident in older subjects than in the younger group. Regarding vital signs, the older patients had significantly lower diastolic blood pressure (DBP), pulse rate, and oxygen saturation than the younger patients. The initial laboratory results showed that, compared with the younger patients, older patients had significantly higher NLR, PLR, creatinine, CRP, IL-6, and D-dimer levels. Intubation was performed more in older patients (42% vs.17.7%; P=0.001). Besides, the median length of ICU [14.1 (0.1-74.3) vs. 11.7 (0.16-83.4) days] and ventilatory days [13.7 (0.4-74.7) vs. 9.3 (0.1-87.8)] were significantly longer in the older group. The older patient group experienced a higher frequency of renal failure (29.2% vs. 9.6%), ARDS (4.2% vs.2.7%), pulmonary embolism (1.5% vs. 0.5%), and a higher mortality rate than the younger group (26.9% vs. 6.6 %, P<0.001).
Table 3 compares clinical characteristics, laboratory results, and complications among COVID-19 patients stratified according to survival status. The deceased patients were significantly older than those who survived (56.4±11.4 vs. 43.5±13.25 years, respectively, P<0.001) with more comorbidities as well. Creatinine, CRP, D-dimer, ferritin, IL-6, neutrophil, troponin, PLR, and NLR were significantly higher, whereas lymphocyte and platelet counts were significantly lower in the deceased patients.
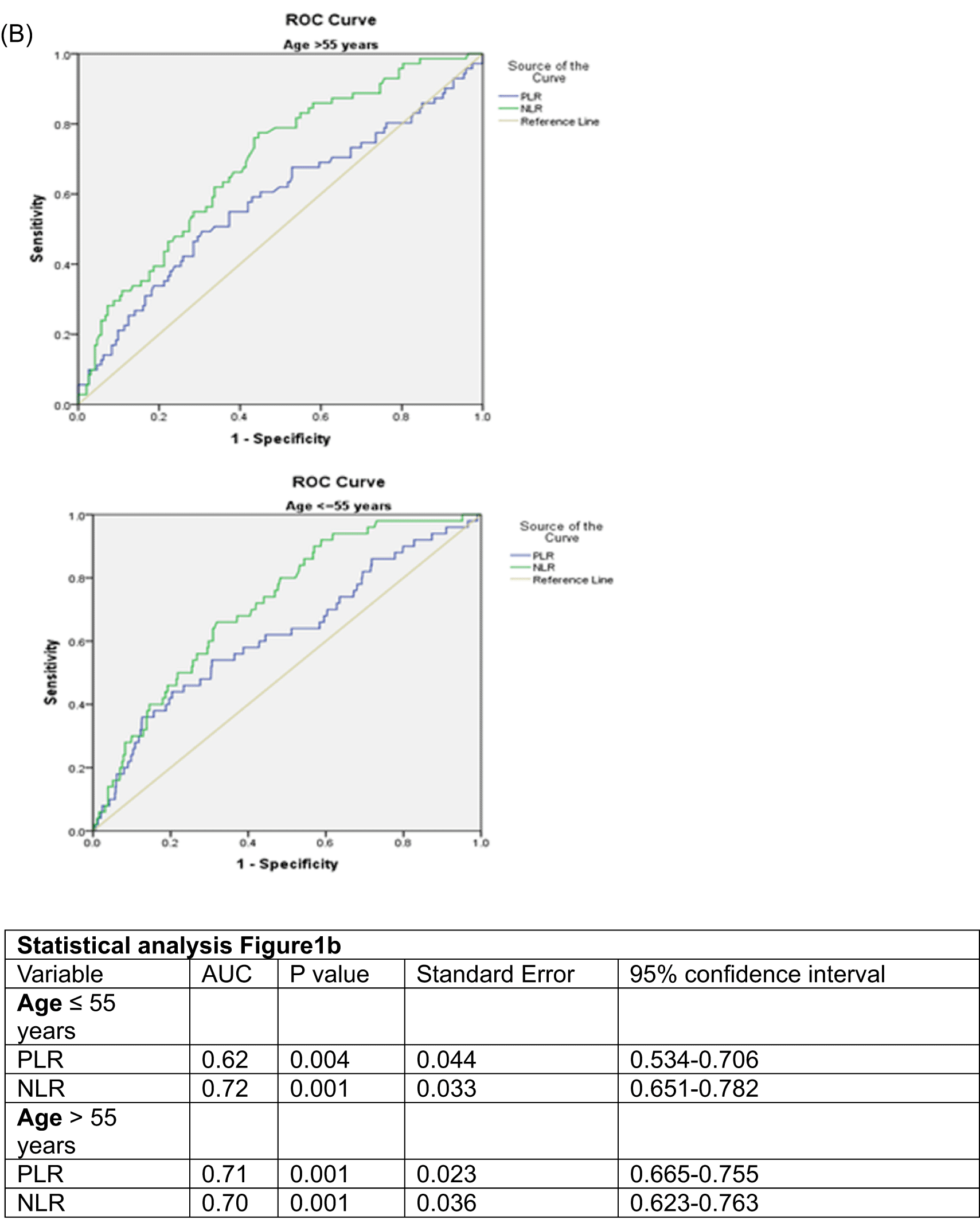
Figure 1(a) and (b) show the result of the ROC analysis plotting the sensitivity and specificity of the PLR and NLR and their discriminatory ability to predict overall mortality and their performance by age categories in COVID-19 patients, respectively.


The area under the curve (AUC) for NLR was 0.710, indicating a good discriminatory performance, and for PLR, 0.614 suggesting a fair discriminatory capacity, respectively. The optimal cut-off for NLR and PLR were 5.03 (Sensitivity 66.9% and specificity 46.5%) and 150.16 (Sensitivity 61.2% and specificity 68.4%). In individuals aged ≤55 years, the PLR demonstrated moderate discrimination with an AUC of 0.620, while the NLR exhibited a higher AUC of 0.717, signifying superior discrimination compared to the PLR. Conversely, for individuals aged >55 years, PLR showed an increased higher AUC of 0.710 in comparison to those ≤55 years, implying enhanced discrimination in this age group, while NLR exhibited moderate discrimination with an AUC of 0.693 (Figure 1(b)).
Table 4 shows the association of PLR and NLR in predicting mortality and delayed recovery in COVID-19 patients. The crude odd ratio for NLR was 1.078 (95% CI 1.049-1.109; P=0.001), and PLR was 1.001 (95% CI, 1.001-1.002; P=0.002) for mortality. The crude odd ratio for NLR was 1.034 (95% CI 0.996-1.072; P=0.078), and PLR was 1.002 (95% CI, 1.000-1.004; P=0.021) for delayed recovery.
Table 5 depicts the results of multivariate regression analysis to determine independent predictors of mortality. After adjusting for the relevant covariates, being older than 55 years (OR 1.068; 95% CI 1.045 to 1.091; P=0.001), hypertension (OR 0.437; 95% CI 0.255 to 0.751; P=0.003), diabetes mellitus, (OR 1.730; 95% CI 1.050 to 2.851; P=0.032), CRP (OR 1.004; 95% CI 1.002 to 1.007; P=0.001), and renal failure (OR 6.620; 95% CI 3.989 to 10.989; P=0.001) were found to be independent predictors of mortality. However, NLR (OR 1.039; 95% CI 0.998 to 1.082; P=0.051) and PLR (OR 1.000; 95% CI 0.998 to 1.001; P=0.581) were not independently associated with in-hospital mortality.
Ever since the first cases of the COVID-19 pandemic were reported, healthcare institutions have worked to develop diagnostic tools and prognostic indications. The current study investigates associations between NLR, PLR, age, duration of hospital length of stay, and mortality in COVID-19 patients. This study demonstrates that patients with higher admission NLR and PLR levels were associated with delayed recovery, more intubation, and ICU admissions. In contrast, an enhanced NLR was associated with considerably higher mortality in older COVID-19 patients than PLR.
Despite a high per capita SARS-CoV-2 infection rate in the early phase of the COVID-19 pandemic, the case fatality rate in Qatar was among the lowest in the world.28 In our analysis of 1016 COVID-19 patients, the overall in-hospital mortality was 11.9 %. The mortality in our study cohort was less than in previous reports from other countries.29,30 Lower mortality was also observed in the elderly population (aged >55). Several studies and meta-analyses have concluded that the predictive value of NLR and PLR could be used to stratify COVID-19 patients, and especially high NLR at admission has been associated with poor outcomes.11,12,30–32 Previous publications included older adults but did not perform a subgroup analysis to assess the estimated mortality risk for this age group. Ciccullo et al. demonstrated that younger age and NLR below three were associated with clinical improvement, while NLR over 4 predicted the transfer to ICU.31 Based upon the ROC analysis, the cut-off value for NLR was 5.03, and PLR was 150.16 to predict mortality. This result is in concordance with previous studies, in which the proposed optimum cut-off values for NLR ranged from 3 to 6,11,32,33 and cut-off PLR values were between 140-160.32,34 Liu et al. showed that older patients (>50 years old) with NLR ≥3.13 are more likely to develop a critical illness.35 Yang et al. showed that elevated NLR and advanced age were associated with severe COVID-19 illness and independently predicted the worse clinical outcomes.36
The NLR has emerged as a potent inflammatory marker with diagnostic and prognostic utility in various clinical conditions.11–13,15,16,21,22,35,37–39 NLR represents the equilibrium of innate and adaptive immune responses.18 A High NLR implies an aberrant immune response, with increased neutrophils and decreased lymphocytes. Also, neutrophil production can be augmented by virus-induced inflammatory factors such as IL-6, Interleukin-8 (IL-8), and tumor necrosis factor α (TNF- α).4,37,40 Furthermore, it appears to be a more reliable technique than PLR, absolute neutrophils, and lymphocyte counts since confounders influence it less. The current study’s asynchronous pattern of NLR and PLR highlights that NLR and PLR are both elevated during the onset of the COVID-19 disease. Still, NLR increases afterward, especially in older individuals. This would imply that NLR offers extra information regarding the ongoing inflammatory state in COVID-19 patients, especially those with poor prognoses. Our results suggest that NLR can be a more valuable predictor of poor prognosis in the different sub-categories of patients studied in the current study.
However, neither NLR nor PLR were shown to be independent predictors of mortality on multivariate analysis, which contrasts with previous reports.1,14,24,31,38,41,42 This discrepancy could be explained by one of two factors. First, the pathogenesis of SARS-CoV-2 infection is complicated. Secondly, this could be attributed to the small sample size reported in the previous studies.
The severity of infections, hematological derangements (NLR, PLR), and mortality rose sharply with age. This was especially true for infection criticality, in-hospital complications, and mortality, restricted for those under 50 but rapidly increased for those over 50. It has been established that patients of advanced age are more susceptible to COVID-19 mortality.43–46
Regarding the clinical outcome of patients concerning early and late recovery, we found that delayed recovery (HLOS> seven days) was associated with advanced age, prolonged ICU stay and mechanical ventilation, and higher mortality. Also, a significantly higher proportion of the older population with prolonged HLOS had comorbidities, suggesting that advanced age and associated comorbidities require more extended hospitalization and have a greater risk of mortality.47 Moreover, our cohort’s higher mean PLR demonstrated a significant association with delayed recovery. While NLR showed a modest and suggestive increase in the odds of delayed recovery, the association was non-significant. Studies have shown that HLOS is age-dependent.48 We could not find studies evaluating the impact of NLR and PLR as prognostic markers of early vs. delayed recovery.
Some limitations may have affected the study and warrant consideration. This retrospective analysis did not document the patient’s follow-up. Secondly, available input data were most complete at the national level, but the results’ generalizability could have been constrained by variations within Qatar’s very diversified population. Also, the selection bias and power of the study cannot be ignored; the study would have benefitted from a larger sample size to reflect better the importance of NLR/PLR in the prognosis of patients with COVID-19. The cycle threshold (cT) value has been proposed as a potential prognostic indicator in patients with COVID-19. While this information was not available in the current study, it may be more valuable in refining the prognostic evaluation of COVID-19 patients if researchers compare and combine the NLR/PLR with cT findings. Lastly, a prospective study should ideally test the predictive value of NLR and PLR longitudinally. Despite these limitations, the study, tailored to the complexity of the epidemic, reproduces the observed biochemical trends and provides profound insights into the utility of NLR and PLR as prognostic markers in COVID-19 patients.
Patients with higher NLR and PLR levels were associated with delayed recovery, ICU admissions, and intubation, whereas an enhanced NLR was associated with considerably higher mortality in older COVID-19 patients. However, none of these two parameters was found to be an independent predictor for death.
This study was approved by the Research Ethics Committee of the Medical Research Center, Hamad Medical Corporation (HMC), Doha, Qatar (MRC-01-20-672 & MRC-05-213) on 29 Sep 2020. A waiver of consent was granted for this retrospective study as there was no direct contact was made with the participants, and the data were collected anonymously.
All authors have substantially contributed to the acquisition, analysis, and interpretation of data for the work, drafting the work or revising it critically for important intellectual content, and final approval of the version to be published.
As the covid-19 data are owned by the medical research center and CDC department, I provided the email and condition by which the reader can access the de-identified data. All data are presented in the manuscript including tables and de-identified data can be accessed after a permission from the medical research center of HMC, Qatar (mrcinfo@hamad.qa), on a reasonable research request
| Views | Downloads | |
|---|---|---|
| F1000Research | - | - |
|
PubMed Central
Data from PMC are received and updated monthly.
|
- | - |
Is the work clearly and accurately presented and does it cite the current literature?
Partly
Is the study design appropriate and is the work technically sound?
Yes
Are sufficient details of methods and analysis provided to allow replication by others?
Yes
If applicable, is the statistical analysis and its interpretation appropriate?
Yes
Are all the source data underlying the results available to ensure full reproducibility?
Yes
Are the conclusions drawn adequately supported by the results?
Partly
Competing Interests: No competing interests were disclosed.
Reviewer Expertise: immunology
Is the work clearly and accurately presented and does it cite the current literature?
Partly
Is the study design appropriate and is the work technically sound?
Partly
Are sufficient details of methods and analysis provided to allow replication by others?
Partly
If applicable, is the statistical analysis and its interpretation appropriate?
Yes
Are all the source data underlying the results available to ensure full reproducibility?
Yes
Are the conclusions drawn adequately supported by the results?
Partly
References
1. Regolo M, Vaccaro M, Sorce A, Stancanelli B, et al.: Neutrophil-to-Lymphocyte Ratio (NLR) Is a Promising Predictor of Mortality and Admission to Intensive Care Unit of COVID-19 Patients.J Clin Med. 2022; 11 (8). PubMed Abstract | Publisher Full TextCompeting Interests: No competing interests were disclosed.
Reviewer Expertise: Internal and Clinical Medicine, Cardiology, Neutrophil-to-Lymphocyte Ratio
Alongside their report, reviewers assign a status to the article:
| Invited Reviewers | ||
|---|---|---|
| 1 | 2 | |
|
Version 2 (revision) 07 Jul 25 |
read | read |
|
Version 1 03 May 24 |
read | read |
Provide sufficient details of any financial or non-financial competing interests to enable users to assess whether your comments might lead a reasonable person to question your impartiality. Consider the following examples, but note that this is not an exhaustive list:
Sign up for content alerts and receive a weekly or monthly email with all newly published articles
Already registered? Sign in
The email address should be the one you originally registered with F1000.
You registered with F1000 via Google, so we cannot reset your password.
To sign in, please click here.
If you still need help with your Google account password, please click here.
You registered with F1000 via Facebook, so we cannot reset your password.
To sign in, please click here.
If you still need help with your Facebook account password, please click here.
If your email address is registered with us, we will email you instructions to reset your password.
If you think you should have received this email but it has not arrived, please check your spam filters and/or contact for further assistance.
Comments on this article Comments (0)