Keywords
Minimally processed, post-harvest, physicochemical, bioactive, texture, color, sensory.
This article is included in the Plant Science gateway.
Fresh-cut pitahaya (Selenicereus spp.) faces significant postharvest challenges due to rapid quality deterioration. This study evaluated the effects of combined preservation treatments (ascorbic acid, calcium chloride, and UV-C light) on the physicochemical, textural, and sensory properties of pitahaya during refrigerated storage. The experimental design evaluated eight treatments analysing quality parameters (physicochemical, bioactive, color, texture, and sensory). Results demonstrated that UV-C light treatment (T4) preserved color stability most effectively, showing the lowest ΔE values (<4.6) until day 12 of storage, while maintaining soluble solids content between 14.4–17.9°Brix. The combined treatment of ascorbic acid + calcium chloride + UV-C light (T8) showed greater stability over storage time, bioactive compounds, maintaining the pH below 4.0 until day 12 and reaching intermediate scores of purchase intention, but overall liking values similar to the application of UV-C light (T4) and the control treatment (T1) (>6.3/9). However, the use of ascorbic acid (T2) or its combination with UV-C light (T6) reduced its consumer overall liking (5.8/9). Texture analysis revealed that while all treatments experienced progressive loss of firmness (>90% by day 15), T4 and T8 maintained their cohesiveness with better structural integrity compared to the control sample. The study concludes that the use of UV-C light offers optimal quality preservation, while the combined use of ascorbic acid (1%) with calcium chloride (1%) and UV-C light allows for an increase in bioactive compounds. UV-C light represents the most viable option for industrial application, given its balance between effectiveness and cost. Furthermore, it is suggested that UV-C light exposure times be optimized by combining it with edible coatings.
Minimally processed, post-harvest, physicochemical, bioactive, texture, color, sensory.
Pitahaya (Hylocereus spp.), known as dragon fruit, is a tropical species valued for its visual appeal, nutritional properties, and high content of bioactive compounds. This fruit is rich in antioxidants, vitamin C, minerals such as iron and calcium, and dietary fiber, making it a functional food with potential benefits for human health (Verona-Ruiz et al., 2020). However, its high perishability and sensitivity to post-harvest deterioration represent a significant challenge for its commercialization and shelf life. During ripening, pitahaya undergoes accelerated biochemical changes, including pectin degradation, loss of firmness, and pigment oxidation, which reduces its quality within a few days after harvest (Martínez-González et al., 2017). These factors, combined with inadequate post-harvest handling, contribute to losses ranging from 30% to 50% of total production, generating a significant economic impact (Porat et al., 2018).
The increasing consumption of minimally processed fruits, such as fresh-cut pitahaya, has increased the need to develop technologies that preserve their quality and microbiological safety. However, minimal processing induces mechanical stress, which activates enzymes such as polyphenol oxidase (PPO) and peroxidase (POD), responsible for enzymatic browning, in addition to increasing the respiration rate and ethylene production (Contreras et al., 2020). These changes generate alterations in color, texture, and flavor, drastically reducing their commercial acceptance (Rico et al., 2007). Furthermore, the exposure of cut tissues facilitates microbial contamination, requiring effective disinfection and preservation methods (Soliva-Fortuny & Martín-Belloso, 2003).
Among conventional strategies, refrigeration (4–8°C) is widely used, but in tropical fruits it can cause chilling injury, manifested as surface browning and loss of organoleptic quality (Vargas et al., 2010). Therefore, complementary treatments have been explored, such as the use of antioxidants (ascorbic acid), firming agents (calcium chloride), and non-thermal technologies (UV-C light). Ascorbic acid inhibits browning by reducing quinones to colorless compounds, while CaCl2 strengthens cell structure by forming calcium bridges with pectins (Wang & Xu, 2007). UV-C light (200–280 nm) has demonstrated efficacy in microbial inactivation by damaging the DNA of pathogens, in addition to inducing defense responses in plant tissue (Bintsis et al., 2000). Studies on apple and pear have reported that combining UV-C with antioxidants improves color and texture stability during storage (Gómez et al., 2010).
In pitahaya, individual treatments, such as immersion in solutions of chlorine (500 ppm), ascorbic acid (1%), and CaCl2 (1%), have been evaluated, showing positive effects on firmness and color retention (Chuni et al., 2010; Lyzbeth et al., 2023). Likewise, the application of UV-C (3.2 kJ/m2) has reduced the microbial load without significantly affecting sensory attributes (Nimitkeatkai & Kulthip, 2016). However, studies that integrate these treatments in combination to evaluate possible synergistic effects are still scarce. Furthermore, most research has focused on isolated microbiological or physicochemical parameters, without comprehensively addressing their impact on textural and sensory properties, which are key to consumer acceptance (Obenland et al., 2016). The working hypothesis is that the synergy between these methods will reduce enzymatic browning, maintain firmness, and extend shelf life without compromising nutritional quality. Furthermore, it will allow the development of more efficient conservation protocols for minimally processed fruits, aligned with the demand for fresh, safe, and high-quality products (Razali et al., 2021). This study aims to evaluate the effect of combined treatments (ascorbic acid, CaCl2, and UV-C) on the physicochemical (color, acidity, soluble solids), textural (firmness, elasticity), and sensory properties of freshly cut pitahaya.
The commercially mature red pitahaya, classified under the Angiosperm Phylogeny Group IV system (APG, (2016), belongs to the order Caryophyllales Juss. ex Bercht. & J. Presl, family Cactaceae Juss., genus Hylocereus (A. Berger) Britton & Rose, and corresponds to the hybrid genotype Hylocereus “American Beauty.” The common name is “Pitahaya American Beauty” (voucher specimen Code N° 304-USM-MHN-2025; deposition certificate N° 050-2025-USM-MHN, issued by J. Alban-Castillo, Botanist of the San Marcos Herbarium (USM), Natural History Museum, Universidad Nacional Mayor de San Marcos, Lima, Peru). Fruits exhibiting 70–100% reddish-purple peel coloration were collected from the locality of Supe and purchased at the Barranca central market (Lima, Peru) during the harvest season (January–February 2025).
The pitahaya fruits were washed with water at 5°C for 1 min and disinfected by immersion in a sodium hypochlorite solution (1000 ppm, Clorox® brand) for 5 min, using a ratio of 20 L of solution per batch. Subsequently, they were drained and temporarily stored at 4°C until processing. The fruits were manually peeled using a previously sterilized stainless-steel knife and chopping board, obtaining 1.0 ± 0.1 cm cubes through cross-sections, according to the methodology described by Vargas et al. (2010). The cubes were immersed for 5 minutes in food-grade ascorbic acid (C6H8O6) and calcium chloride (CaCl2) solutions (Insuquímica® brand), in proportions established according to the experimental design. Combined UV-C light treatments were then applied using a chamber sterilizer (model M1 UV-Kammer, Dinies®, Germany) equipped with four 18 W lamps (λ = 254 nm), placing the samples 2 cm away from the radiation source (Nimitkeatkai & Kulthip, 2016). Finally, the treated cubes were packaged in crystalline plastic trays (13 × 20 cm) covered with medium-density polyethylene film (8 × 12 cm) and stored for 15 days at 4 ± 1°C and 95% relative humidity, maintaining a fruit-to-solution ratio of 1:2 (w/v). The UV-C doses applied were determined through preliminary tests that established the maximum levels without affecting the product’s sensory quality.
Eight treatments were applied corresponding to different combinations of ascorbic acid (AA), calcium chloride (CC), and UV-C light (UV) to minimally processed pitahaya. The treatments were randomly distributed and evaluated with three replicates per treatment. The combinations were as follows: T1 (control), T2 (1% AA), T3 (1% CC), T4 (3.9 kJ/m2 UV light), T5 (1% AA + 1% CC), T6 (1% AA + 3.9 kJ/m2 UV), T7 (1% CC + 3.9 kJ/m2 UV), and T8 (1% AA + 1% CC + 3.9 kJ/m2 UV). The experimental units were randomly assigned in order to reduce the effect of experimental variability and ensure the validity of the results.
Characterization physical of the fruit
A representative sample of pitahayas was selected, covering various dimensions and with a degree of commercial ripeness, ensuring that the collected data reflected the variability of the population (Sanmiguel et al., 2025). The diameter (cm) was quantified using a digital electronic vernier caliper (Control Company Traceable, model SR44, Mexico). The weight of the fresh fruit, peel, and pulp was recorded using a precision analytical balance (±0.0001 g) (Sartorius, model Entris 224-1S, Germany).
Physicochemical properties of fresh and minimally processed fruit
Moisture content was determined using an infrared moisture analyzer (Sartorius, model MA 160, Germany), and ash was incinerated in a muffle furnace (Thermo Concept, model KL15/11, Bremen, Germany) (AOAC, 2012). The % total soluble solids were measured using a digital refractometer (Atago, Japan), with results expressed in °Brix (Sanmiguel et al., 2025); pH was measured using a potentiometer (Hanna HI320, USA); and titratable acidity was measured gravimetrically (AOAC, 2012) using a titration device (Titronic, model 500, Spain), expressed as % citric acid.
The colorimetric parameters of the minimally processed samples were measured using a PCE Instruments colorimeter (Model CSM 3, Spain) with an 8° observation angle and a D65 blue LED illuminant with an 8 mm aperture. The CIELAB system was used (10° observer and D65 illuminator). The coordinate values L* (which symbolizes luminosity and can take values between 0 and 100), a* (which indicates the amount of red/green color), and b* (which indicates the yellow/blue color) were obtained (Cabanillas Montenegro & Aurora Vigo, 2020). The color measurements of the samples were performed in triplicate.
Texture profile analysis (TPA) parameters were determined using a Brookfield Metek CTX texturometer, from the USA, using TexturePro V1.0 Build 19 software from Brookfield Engineering Labs Inc. The minimally processed samples were analyzed in 1.0 ± 0.1 cm cubes. The center section was placed on the flat plate of the texturometer, and six measurements were taken per piece. A 2 mm diameter convex probe (TA5) was used, with 40% deformation and a crosshead speed of 1 mm/s, and a 5 kg load cell. The weight was expressed in grams (g) (n = 6). The texture profile (TPA) was determined by double compression, evaluating: firmness (hardness) of the first and second cycles, adhesive strength, elasticity, gumminess, cohesiveness, chewiness, and resilience as proposed by Razali et al. (2021).
Determination of total phenols
The total phenolic content was determined using the Folin-Ciocalteu method, adapted from Swain & Hillis (1959). 50 μL of sample plus 800 μL of distilled water were added to a 2 ml eppendor, a complete homogenization was performed, then 50 μL of Folin – Ciocalteu was added, the mixture was left to stand for 2 hours in the dark, once finished, 250 μL was placed in a 96-well plate and the absorbance was measured at 725 nm using a spectrophotometer (Synergy H1, Biotek, USA). The results were expressed in mg of gallic acid equivalents per mg of dry sample (mg EAG/g). Gallic acid (Sigma-Aldrich) was used to construct the standard curve.
Flavonoid determination
Total flavonoid content was determined according to the method proposed by Zhishen et al. (1999). 100 μl of sample was incorporated into 500 μl of distilled water, followed by the addition of 30 μl of 5% sodium nitrite (NaNO2). The samples were allowed to stand for 5 min, then 200 μl of 1 M NaOH was added to 310 μl of distilled water. Once homogenized, the reading was taken at 510 nm using a spectrophotometer (Synergy H1, Biotek, USA). A quercetin standard (Merck) was used for the standard curve, and the results were expressed in mg of quercetin equivalents per g of dry sample (mg EQ/mL).
Determination of antioxidant capacity by the ABTS method
Antioxidant capacity was determined using the ABTS+ radical method, following the methodology described by Re et al. (1999), with slight modifications. The ABTS solution was prepared by dissolving 38.8 mg of ABTS with 6.6 mg of potassium persulfate in 10 mL of distilled water, allowing it to stand in the dark for 16 h. The absorbance was then adjusted to 0.7 at a wavelength of 734 nm by adding ethanol. For the measurement, 50 μL of sample was combined with 950 μL of the ABTS solution, allowed to stand in the dark for 7 min, and the absorbance at 734 nm was measured. Readings were taken in 96-well plates, using pure methanol as a blank. Trolox (Merck) was used to perform the calibration curve, and the results were expressed in μmol TE/mL of dry sample, and Trolox μmol TE/g dry matter.
Determination of antioxidant capacity by the DPPH method
The antioxidant capacity of pitahayas was evaluated using the 2,2-diphenyl-1-picrylhydrazyl (DPPH) free radical method proposed by Brand-Williams, Cuvelier, & Berset (1995). A DPPH solution in methanol was prepared at an approximate concentration of 0.1 mM, adjusting its absorbance to 0.9 ± 0.1 at 515 nm. For the analysis, 25 μL of sample were mixed with 975 μL of the DPPH solution in 2-ml Eppendorf tubes. The mixture was incubated in the dark for 30 min at room temperature (20 °C). Subsequently, absorbance was measured at 515 nm using a spectrophotometer with a multimode reader (Synergy H1, Biotek, USA). Antioxidant activity was expressed as percentage inhibition of the DPPH radical. A calibration curve was constructed using Trolox as a standard, and the results were expressed as Trolox equivalents μmol TE/g dry matter.
Sixty to eighty consumers (aged 17 to 24), consisting of students and faculty from a Peruvian public university, participated in the sensory evaluation of the samples at 0, 5, and 9 days of storage using a 9-point hedonic scale assessing overall liking, color, odor, flavor, and texture (1 = strongly dislike - 9 = strongly like) (Ares & Jaeger, 2015) and purchase intention using a 5-point scale (1 = would not buy - 5 = would buy). Data collection was carried out using the Sensesbit sensory software (https://web.sensesbit.com/), which generated the online questionnaire, accessible via QR code. Approval was obtained from the Research Ethics Committee of the National University of Barranca, with registration code No. 004-2025, approved on May 12, 2025.
A completely randomized design was used to evaluate the effect of treatments on the response variables. The analysis was performed in two stages: first, treatments (T1–T8) were compared using a one-way ANOVA as a factor for each assessment time point; second, the time course of each treatment was analysed using a one-way ANOVA, evaluating time as a factor. In both cases, multiple comparisons were performed using Fisher’s test (α = 0.05), after checking for normality (Shapiro-Wilk test) and homoscedasticity (Levene test). Results were expressed as mean ± standard deviation, and analyses were processed using XLSTAT® 2023 software (Addinsoft, Paris, France), using capital letters for differences between treatments at the same time point and lowercase letters for variations over time within each treatment.
The pitahaya fruits analysed had an average diameter of 82.61 ± 10.01 mm and a length of 96.10 ± 8.41 mm, with a total weight of 391.50 ± 88.80 g, with the pulp representing 66.6% (260.80 ± 86.50 g), values consistent with previous reports for the genus (Sanmiguel et al., 2025). The high moisture content (78.27 ± 3.82%) and low ash percentage (0.43 ± 0.21%) confirm the typical characteristics of perishable tropical fruits (AOAC, 2012), highlighting the need to implement appropriate preservation technologies to preserve their post-harvest quality, particularly in minimally processed products where tissue damage during cutting accelerates degradation processes.
Table 1 presents the physicochemical parameters obtained for the minimally processed pitahaya. The results showed significant differences (p < 0.05) between treatments at each storage time. Regarding weight variation, treatment T3, treated with calcium chloride, showed the highest values compared to the other treatments on day 15, suggesting greater susceptibility to dehydration caused by fruit respiration and transpiration. For °Brix, T1 (control) and T4, treated with UV-C light, presented high values, indicating better retention of soluble solids compared to T8, treated with ascorbic acid, calcium chloride, and UV-C light. Regarding pH, T1 maintained more stable values compared to T2, T3, T5, and T6, which experienced reductions until day 15, revealing a greater acidifying effect in the latter, observing the influence of ascorbic acid and calcium chloride. Titratable acidity showed similar behaviour for T4 (UV-C light), T5, and T6 (a mixture of ascorbic acid and calcium chloride or UV-C light), with a significant reduction in T6, which had the lowest values at the end of storage, suggesting differences in metabolic activity.

Throughout storage, each treatment independently showed significant changes (p < 0.05) in the parameters evaluated. Weight variation progressively increased between days 12 and 15, with T3 reaching the greatest increase, reflecting accelerated water loss at the final stage. °Brix showed different behaviours: T1 maintained relatively stable values over time, while T8 experienced increases associated with the potential concentration of sugars generated by the application of ascorbic acid, calcium chloride, and UV-C light. The pH decreased consistently over time in each treatment, with a higher value observed for T1, associated with the accumulation of organic acids during ripening. Titratable acidity did not show a constant trend over time across treatments, although it stabilized at time points 12 and 15, except at T7 (calcium chloride with UV-C light), possibly linked to specific treatment effects on enzyme activity.
These differences in physicochemical parameters indicate that the weight variation is due to moisture loss or changes in mass. These values are consistent with those reported for pineapple (5–5.7% at 21 days) (Ulloa et al., 2015), mango (4–11%) (Dolores et al., 2004), and fresh pitahaya (5.6–7.8%) (Osuna et al., 2011). The application of only calcium chloride showed a greater loss, possibly due to the fruit’s own physiological process, while the use of only UV-C registered less variation, evidencing the protective effect of irradiation, associated with lower respiration and transpiration (Nimitkeatkai & Kulthip, 2016). The total soluble solids (°Brix) coincide with those described for fresh pitahaya (11.2–15.6°Brix) (Betancur et al., 2020), where the increase is attributed to the loss of moisture and heterogeneous distribution of sugars (Seki et al., 2023). Changes in pH are attributed to the formation of organic acids derived from carbohydrates during storage; these slight variations have been observed in other fruits such as guava and mandarins (Yirat et al., 2009; Mogollón et al. 2011). Modifications in titratable acidity are associated with the decrease in the consumption of organic acids such as malic and citric in cellular respiration (Kader, 2008).
Table 2 presents the values of bioactive compounds for each treatment applied to the processed pitahaya. Significant differences (p < 0.05) were found between treatments for each parameter evaluated. Regarding total phenols, T7 had the highest values on day 3, while T5 had the lowest levels during the same period. For flavonoids, T6 had the highest content at day 15, higher than T8 (19.29 mg/100 g). Regarding the % inhibition of antioxidant capacity (ABTS and DPPH), most treatments maintained similar values (>80%), except for T2 and T6, which showed <70% inhibition of DPPH on day 15. For Trolox equivalents (ABTS), T2 and T6 presented the highest values at the end of storage, while for DPPH, T1 and T2 maintained high levels until day 12, followed by a decrease on day 15.
During storage, the treatments exhibited patterns without any trend. Total phenols in T1 (control) and T2 (ascorbic acid) increased progressively over time, while T3 (calcium chloride) and T4 (UV-C light) showed an increase at day 9, although they subsequently decreased (~50%). Flavonoids in T6 (calcium chloride with UV-C light) increased steadily, unlike T8 (ascorbic acid, calcium chloride, and UV-C light), which reduced their content. The antioxidant inhibitory capacity (% ABTS and DPPH) remained stable until day 12 in all treatments, with significant reductions in T2 and T6 on day 15. For ABTS, T2 and T6 showed increases during storage, while in DPPH all treatments experienced reductions (~20-30%).
These changes demonstrate enzymatic and oxidative degradation; the application of ascorbic acid or calcium chloride limited the loss of phenols, while treatments with only calcium chloride (T3) or only UV-C did not show the same effect. Ascorbic acid favored flavonoid stability, in agreement with what was described by Pesantes-Gallardo et al. (2024). However, the combination of ascorbic acid, calcium chloride, and UV-C light caused reductions similar to those reported for UV-C irradiated pitahaya, with a decrease in betalains and phenols. Furthermore, the antioxidant activity showed high stability under refrigeration, coinciding with that reported by Pesantes-Gallardo et al. (2024), who observed no significant changes in DPPH and ABTS during 3 days of storage, confirming the functional robustness of cold-stored pitahaya.
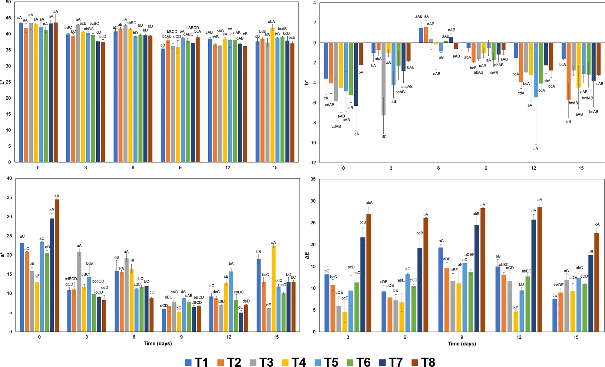
Figure 1 presents the color results of the minimally processed pitahaya. Color parameters showed significant differences (p < 0.05) between treatments. Regarding luminosity (L*), treatments were similar on day 0. T3 maintained higher values than T7 and T8 compared to each other from days 3 to 9. For the a* (red-green) coordinate, T8 showed the greatest initial reddening, while T4 showed a notable recovery on day 15 compared to the other treatments. For b* (yellow-blue), T1 recorded the most stable values compared to the other treatments, although T2 showed a smaller change at the end of storage. The ΔE revealed that T8 showed the greatest differences in total color change compared to the other samples, indicating severe visual alterations, while T4 maintained the smallest changes until day 12, standing out as the most effective treatment for preserving the original color. All treatments independently showed changes in their colorimetric parameters during storage (p < 0.05). Lightness (L) decreased significantly in T3 and T5 during storage, while T4 showed partial recovery by day 15. The a* coordinate showed dispersed behavior: T1 decreased its reddening over time, while T4 increased its values toward the end. In b*, T3 showed the greatest variation compared to the other treatments, exhibiting changes in yellow/blue tones. ΔE increased slightly for T3, T4, and T5, although they were lower than T8, where the color change was more dramatic. These patterns reflect that treatments T2 (ascorbic acid) and T4 (UV-C light) are effective in minimizing color alterations during storage. The total color difference (ΔE) increased in all treatments, reaching highest values in T7 and T8 (>17) and lowest in T2. Perceptible color changes are a relevant indicator of product quality (Gengatharan et al., 2016). Francis and Clydesdale (1975) mention that color changes can be classified as very different (ΔE* > 3), different (1.5 < ΔE* < 3) and with a small difference (ΔE* < 1.5), while CHNSpec (2024) considers ΔE* > 4 as very different. Under these criteria, the differences were significant starting on day 3. These behaviors are consistent with those described for pitahaya pulp (Gengatharan et al., 2016) and pasteurized pulp (Cabanillas Montenegro & Aurora Vigo, 2020), where the decrease in luminosity and the change in hue are associated with the degradation of betalains (pigments sensitive to light, temperature, pH, and oxygen) (Kader, 2008) and the activity of polyphenoloxidase, which promotes enzymatic browning (Bravo et al., 2011).
Figure 2 shows the visual evolution of minimally processed pitahaya from the different treatments (T1-T8) over 15 days of storage. On day 0, all samples presented an intense magenta color (L* > 40, a* > 20), but showed significant differences (p < 0.05) in their degradation: T1 (control) and T8 (ascorbic acid, calcium chloride with UV-C light) developed brown hues (ΔE > 25 on day 15), while T3 (calcium chloride) and T5 (ascorbic acid with calcium chloride) maintained better coloration (ΔE < 12 until day 9). Shrinkage was more evident from day 3, particularly in T7 (calcium chloride with UV-C light) (>30% reduction in surface area), associated with moisture loss. Seeds became more prominent in T4-T6 due to tissue collapse, while T2 (ascorbic acid) showed less morphological change.
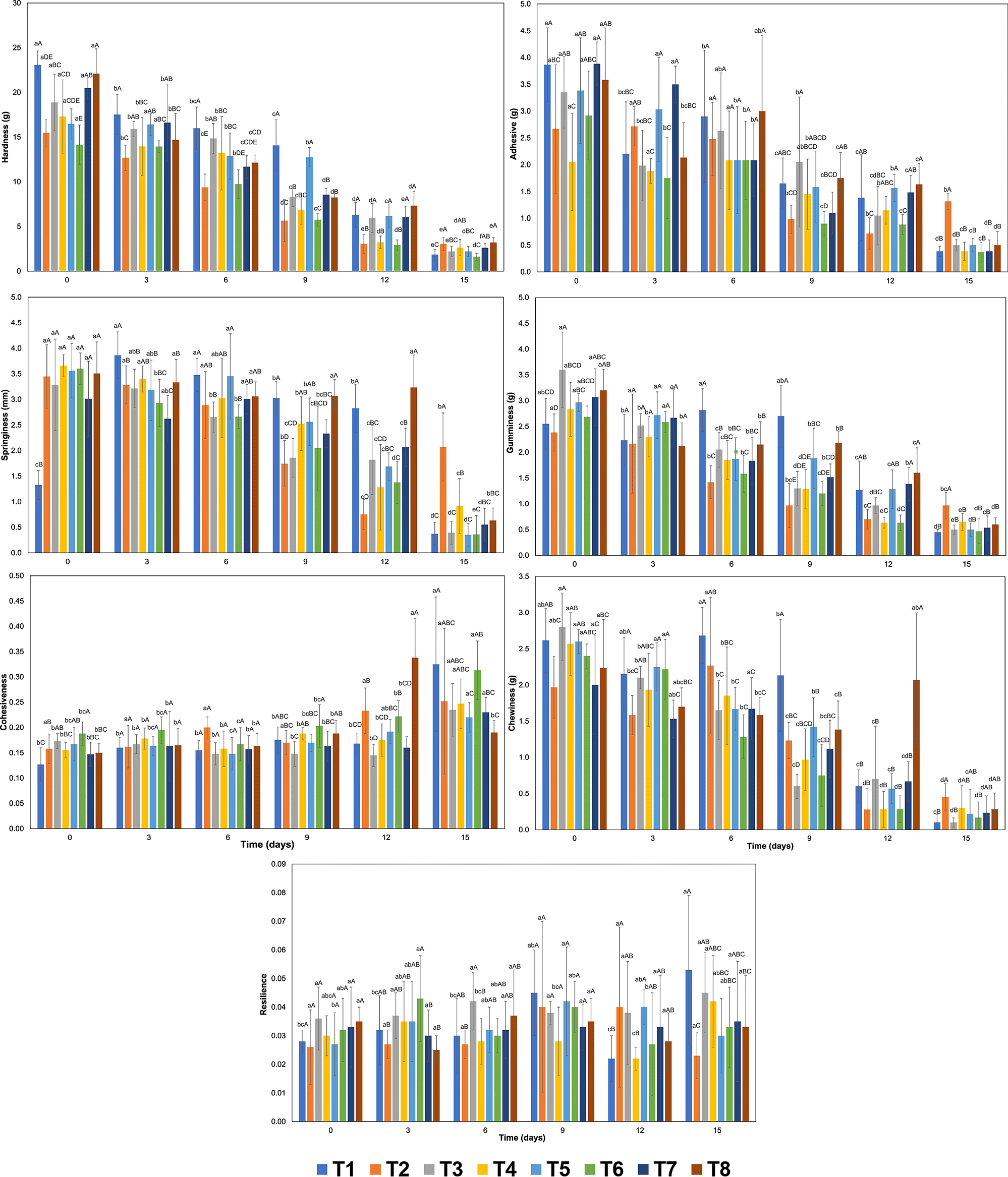
Figure 3 shows the results of the texture profile of minimally processed pitahaya subjected to different treatments. Textural parameters showed significant differences (p < 0.05) between storage treatments. For Hardness, T1 presented higher values at the beginning compared to the other treatments. For Adhesive Force, T1 and T7 recorded higher values initially, while T4 showed the lowest values. Springiness was higher in all treatments except T1 on day 0, although at day 15 it showed greater elasticity compared to the other treatments. For Gumminess, T3 recorded the highest initial value, being statistically higher than T2. Cohesiveness showed notable differences on day 12, with T8 surpassing other treatments. For Chewiness, T3 maintained high values initially, while T6 showed a decrease on day 15. Resilience did not show marked differences between treatments at each time point evaluated, although T2 showed lower values compared to the other treatments at the end of storage. Each treatment showed significant changes in textural properties during storage (p < 0.05). Firmness decreased dramatically in all treatments from the initial day to day 15, with the lowest values at T1 (control) and T6 (ascorbic acid with UV-C light). Adhesiveness behaved similarly to firmness, although T2 (ascorbic acid) showed an atypical increase on day 15. Elasticity remained stable until day 9 in T1, but was greater at the end of storage than in the other treatments. Gumminess decreased over time in each treatment, reflecting a loss of structural integrity. Cohesiveness behaved inversely to gumminess, increasing at T8 (ascorbic acid, calcium chloride with UV-C light) on day 12 and at T1 on day 15. Chewability showed the most dramatic reduction in T1 and T3 (calcium chloride), while T8 remained relatively stable over time. Resilience did not show clear patterns of deterioration, with random fluctuations across all treatments.
Changes in textural parameters showed a progressive reduction attributed to loss of firmness due to structural changes or moisture migration, resulting in softer fruits. These results were slightly lower than those of hard- and soft-fleshed jujubes, which reported values ranging from 7.64–33.12 Hardness (Zhang et al., 2024).
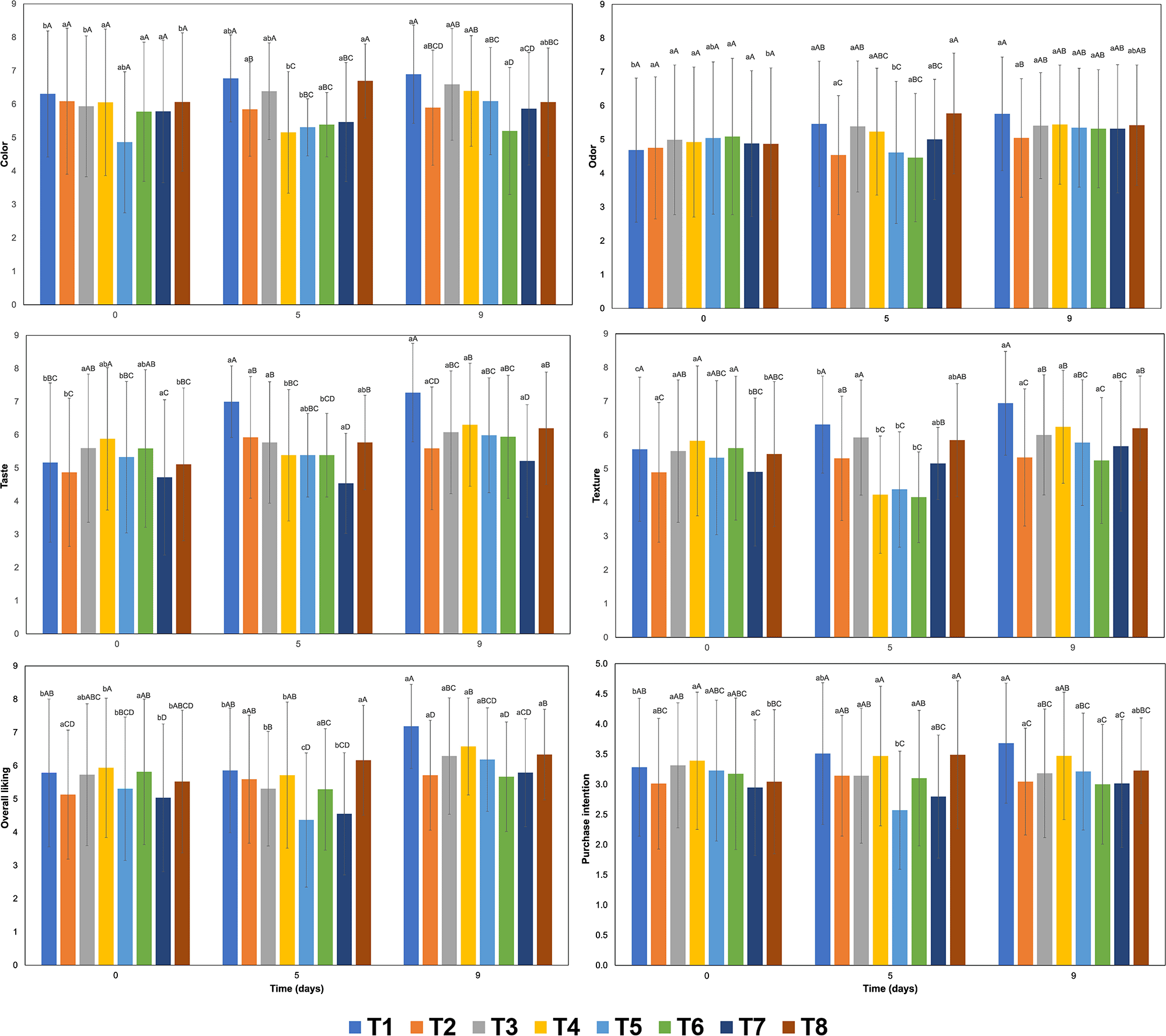
Figure 4 shows the sensory response obtained for the minimally processed pitahaya treatments. Sensory results showed significant differences (p < 0.05) between treatments at each time point evaluated. In color, T1 and T8 maintained the highest scores, significantly surpassing T5 and T6, although at the initial time point there were no significant differences between treatments. Regarding odor, a similar pattern was observed, with color showing T8 as the best perceived on day 5, while T2 had the lowest scores on day 9. For flavor, T4 was rated highest, while T2 and T7 were less well-received at the initial time point. At the end of storage, T1, T4, and T8 obtained scores greater than 6/9. Regarding texture, T1, T4, and T6 were superior at the beginning of the trial, while at the end, T2 and T6 showed accelerated deterioration. Initial overall liking was highest at T4, followed by T8 on day 5 and T1 on day 9, while T2 and T7 had lower overall liking on the last day. Finally, in terms of purchase intention, T1 and T4 had higher purchase intentions, while T2, T6, and T7 had lower values.
Regarding each treatment over time, they showed significant changes (p < 0.05) in sensory perception. Regarding color, each treatment increased its color perception as time increased, except for T6 and T7, where no such differences were observed. The smell in T2, T3, T4, T6 and T7 did not present significant differences over time, however, T8 increased slightly until day 5, but stabilized on day 9. The flavor in T3 and T7 did not present significant differences over time, the rest of the samples improved their perception notably, although T7 presented the lowest values on day 9. The texture in T2 and T3 were similar to each other with increasing time, the remaining samples improved their texture rating until day 9. Overall liking increased for all treatments over time, T1 and T8 presented higher values, but decreased in T2 and T6. The purchase intention was not significant T2, T3, T4, T6 and T7, although it improved over time for the remaining samples (T1, T5 and T8), but was lower T2, T6 and T7, at the end of storage. These results are similar to studies showing that combining antioxidants with moderate physical treatments improves consumer perception of minimally processed fruits (Rico et al., 2007). Furthermore, Ng et al. (2022) indicated that antioxidant use combined with moderate UV-C better preserves color in tropical fruits, a similar pattern was observed by Obenland et al. (2016) in the evaluation of aromatic attributes in pitahaya.
This study demonstrated that combined treatments (ascorbic acid, calcium chloride, and UV-C light) significantly influenced the quality of fresh-cut pitahaya during storage. Physicochemical analysis revealed that treatment T4 (UV-C light) was the most effective in preserving color stability (ΔE < 4.6 until day 12) and maintaining soluble solids (14.4–17.9°Brix), while treatment T8 (1% ascorbic acid + 1% calcium chloride + UV-C light) allowed for extended storage life, as indicated by a smaller pH reduction (<4.0 until day 12) and less weight loss (<32% vs. the control). However, T7 (calcium chloride + UV-C light) caused excessive browning (ΔE > 25), which negatively affected visual quality. Texture analysis confirmed that all treatments experienced a progressive loss of firmness (>90% at day 15), although T4 and T8 showed greater cohesiveness (0.25-0.34 vs. 0.15 in the control group), suggesting better structural integrity. Sensory evaluation favored T1 (Control), T4, and T8 (>6.3/9 liking and >3.2/5 purchase intention) due to the preservation of color, flavor, and texture, while T2 and T6 obtained the lowest score (<5.7/9 liking), likely due to off-flavors induced by ascorbic acid with UV-C light. The use of UV-C light was the most effective method for preserving the physicochemical and colorimetric properties without compromising sensory acceptance. Furthermore, the use of combined treatments of ascorbic acid (1%) with calcium chloride (1%) and UV-V light allows a higher content of bioactive compounds, supporting the use of barrier technologies as a strategy to expand the commercialization of minimally processed pitahaya with functional compounds, although it is recommended to optimize the application time of UV-C light to maximize the negative effects on texture and color parameters.
All research participants gave their written informed consent before the start of the study. The research was approved by the Ethics Committee of the National University of Barranca (code 004-2025-UNAB-CEPI, dated May 12, 2025).
The original contributions presented in the study are included in the article, further inquiries can be directed to the corresponding author (rsilva@unab.edu.pe; njamanca@unab.edu.pe).
This work was supported by the Research Institute of the Universidad Nacional de Barranca, Lima, Peru.
| Views | Downloads | |
|---|---|---|
| F1000Research | - | - |
|
PubMed Central
Data from PMC are received and updated monthly.
|
- | - |
Is the work clearly and accurately presented and does it cite the current literature?
Yes
Is the study design appropriate and is the work technically sound?
Yes
Are sufficient details of methods and analysis provided to allow replication by others?
Partly
If applicable, is the statistical analysis and its interpretation appropriate?
Yes
Are all the source data underlying the results available to ensure full reproducibility?
Yes
Are the conclusions drawn adequately supported by the results?
Yes
Competing Interests: No competing interests were disclosed.
Reviewer Expertise: Food science
Alongside their report, reviewers assign a status to the article:
| Invited Reviewers | |
|---|---|
| 1 | |
|
Version 1 08 Oct 25 |
read |
Provide sufficient details of any financial or non-financial competing interests to enable users to assess whether your comments might lead a reasonable person to question your impartiality. Consider the following examples, but note that this is not an exhaustive list:
Sign up for content alerts and receive a weekly or monthly email with all newly published articles
Already registered? Sign in
The email address should be the one you originally registered with F1000.
You registered with F1000 via Google, so we cannot reset your password.
To sign in, please click here.
If you still need help with your Google account password, please click here.
You registered with F1000 via Facebook, so we cannot reset your password.
To sign in, please click here.
If you still need help with your Facebook account password, please click here.
If your email address is registered with us, we will email you instructions to reset your password.
If you think you should have received this email but it has not arrived, please check your spam filters and/or contact for further assistance.
Comments on this article Comments (0)