Keywords
heart failure, NT-proBNP, hs-cTn, saliva biomarkers, serum biomarkers, non-invasive diagnosis, cardiac markers
This article is included in the Cell & Molecular Biology gateway.
Heart failure (HF) is progressive, with high morbidity and mortality. Salivary biomarkers are being explored as non-invasive tools for HF monitoring. This study examined salivary NT-proBNP and hs-cTn alongside serum levels to distinguish HF patients from healthy controls and to assess diagnostic potential and cross-matrix concordance.
In a two-center, prospective case-control study (Nov 2024–Apr 2025), 100 HF patients and 100 healthy controls were enrolled. HF diagnoses followed European Society of Cardiology criteria, supported by labs and echocardiography. Serum and saliva NT-proBNP and hs-cTn were measured using sandwich ELISA kits.
Heart failure patients had higher serum NT-proBNP (317.71 ± 18.16 ng/L) and saliva NT-proBNP (24.54 ± 1.27 ng/L) than controls (88.86 ± 6.26 ng/L; 17.93 ± 0.86 ng/L; both p < 0.001). Serum hs-cTn tended to be higher in HF (93.39 ± 7.15 pg/mL) vs controls (75.48 ± 6.68 pg/mL; p = 0.070); saliva hs-cTn was significantly higher in HF (24.58 ± 4.37 pg/mL) than controls (6.97 ± 0.94 pg/mL; p < 0.001). Saliva NT-proBNP correlated moderately with serum NT-proBNP (r = 0.317; p = 0.003). ROC analysis: serum NT-proBNP showed excellent discrimination (AUC 0.97; 95% CI 0.94–1.00; p < 0.001). Saliva NT-proBNP showed good discrimination (AUC 0.77; 95% CI 0.67–0.87; p < 0.001). Serum hs-cTn had modest discrimination (AUC 0.60; 95% CI 0.48–0.73; p = 0.080), while saliva hs-cTn showed strong discrimination (AUC 0.88; 95% CI 0.82–0.95; p < 0.001). Saliva creatinine and uric acid correlated with serum markers, supporting saliva’s reflection of systemic status.
Saliva NT-proBNP and hs-cTn show diagnostic potential and concordance with serum measurements, suggesting saliva could complement serum tests for non-invasive HF monitoring. Serum NT-proBNP remained the strongest discriminator. Standardization and cross-population validation are needed, but saliva offers a practical adjunct when venipuncture is undesirable.
heart failure, NT-proBNP, hs-cTn, saliva biomarkers, serum biomarkers, non-invasive diagnosis, cardiac markers
Heart failure (HF) is a complex clinical syndrome characterized by the heart’s inability to meet the metabolic demands of the body, arising from structural or functional cardiac abnormalities that impair pump function and elevate intracardiac pressures.1–3 Clinically, HF encompasses both systolic and diastolic dysfunction, each with distinct pathophysiological and histological features that contribute to disease progression and heterogeneity in presentation.1 Despite advances in pharmacotherapy and device-based management, HF remains a leading cause of hospitalization and mortality worldwide, affecting over 64 million people and imposing substantial health-care burdens. The global prevalence approaches 1–2% of the adult population and increases markedly with age, underscoring the growing need for accurate, timely, and accessible diagnostic strategies.4
Biomarkers have become integral to HF diagnosis and management. Natriuretic peptides, particularly B-type natriuretic peptide (BNP) and its N-terminal fragment NT-proBNP, reflect myocardial wall stress and volume overload and are well-established for diagnosis and risk stratification. Cardiac troponins, especially high-sensitivity troponin (hs-cTn), provide information on myocardial injury and prognosis. Collectively, these serum biomarkers support clinical decision-making, differentiate HF from non-cardiac dyspnea, and guide therapeutic interventions.5–7 However, serum sampling is invasive and may be impractical for serial monitoring or in resource-limited settings.
Saliva has emerged as a promising non-invasive diagnostic fluid. It contains enzymes, hormones, antibodies, and cytokines that mirror systemic physiology and pathology, entering saliva through transcellular or paracellular routes. Advances in sensitive assays have enabled reliable detection of salivary biomarkers, offering advantages including ease of collection, repeatability, and reduced infection risk. Saliva’s potential utility in cardiovascular disease, including HF, lies in its capacity to reflect systemic biomarker changes with the added benefit of non-invasiveness, making it attractive for screening, longitudinal monitoring, and settings where venipuncture is challenging.8–11 However, the reliability of salivary NT-proBNP and hs-cTn, and their correlation with serum levels, remain incompletely understood, particularly in diverse populations.
The present two-center prospective study seeks to address these knowledge gaps by evaluating the diagnostic potential of NT-proBNP and hs-cTn in both serum and saliva among HF patients and healthy controls. This study aims to (i) determine whether salivary biomarkers can serve as reliable non-invasive indicators of HF, (ii) quantify the concordance between salivary and serum biomarker levels, and (iii) establish the feasibility of saliva as a practical medium for HF screening and monitoring in real-world clinical settings. In addition, the study contemplates the potential of saliva-based biomarkers to complement serum testing, enabling safer, more accessible, and patient-friendly diagnostic pathways, particularly in resource-limited environments. By focusing on Iraqi patients presenting to major cardiac centers, this investigation also contributes region-specific data to the growing body of literature on salivary biomarkers in cardiovascular disease and paves the way for future multicenter collaborations and cross-population validation.
Participants in the trial, which ran from November 2024 to April 2025, ranged in age from 28 to 90 years. Their diagnoses were confirmed by a cardiologist using laboratory testing and echocardiography (ECHO). The European Society of Cardiology’s diagnostic criteria which are based on symptoms, signs, and objective evidence of cardiac dysfunction, were utilized as the consensus standard for diagnosing heart failure. The participants were admitted to Baghdad Teaching Hospital and Ibn al-Bitar Center for Heart Surgery. A case-control study was approved by the Institutional Review Board of the University of Baghdad/Collage of Medicine (IRB no. Bio101, 22/10/2024). Written informed consent was obtained from the patients or their guardians and all samples tested were de-identified to ensure the privacy rights of all study participants. Purposive sampling was employed to select eligible subjects for the epidemiological investigation, and their demographic information and baseline laboratory results were recorded. Out of (100) patients,47 subjects offered a saliva sample for the evaluation of biomarkers in serum and saliva. The control group consist of 100 participants Who were in good general health (apparently healthy) and more than18 years old, (91) subjects offered a saliva sample for the evaluation of biomarkers in serum and saliva. The inability for sufficient sample volume to be collected for the numerous assays of this study was responsible for the loss of some patients who could have provided a complete set of biomarkers.
Individuals with a diagnosis of heart failure who were older than 18 years were eligible for inclusion. An echocardiogram was performed on each patient to determine their left ventricular ejection fraction. Exclusion criteria included patients with co-morbidities such as severe chronic obstructive pulmonary disease (e.g., those on oxygen therapy or nebulizers at home), uncontrolled dysthyroidism, chronic inflammatory intestinal diseases, severe or active rheumatological diseases, active oncological diseases currently under treatment or within the past year, liver failure, or other significant organ dysfunctions. Additional exclusions comprised patients who were incapable or unwilling to give informed consent, had cognitive, mental, or psychiatric disorders, and pregnant or lactating women, as represented in Figure 1.
Venipuncture was performed to draw approximately 5 ml of blood from each study participant. After clotting, the samples were centrifuged for 10 minutes at 700 × g for 10 minutes. Each serum sample was divided into three Eppendorf tubes and stored at -20°C until it was time for analysis.
For saliva sampling, to prevent contamination, the patient was first instructed to wash their mouth thoroughly with regular saline. The unstimulated whole saliva (approximately 1 ml) was collected by spitting into a 10 ml container, then it was centrifuged for 10 minutes at 800 × g. The supernatant was subsequently stored in Eppendorf tubes at -20°C for further analysis. For serum and saliva sampling, sample collection occurred from 09:00 to 11:00 in the morning.
NT-proBNP and hs-cTn in serum and saliva measurements were conducted in a certified clinical chemistry laboratory using sandwich ELISA kits from YL Biont (China), with a Huma Reader HS microplate reader (HUMAN Diagnostics, Germany). Protein content was assessed calorimetrically by the Biuret method, and albumin by bromocresol green dye, using Bio-Systems kits (Germany). Urea and uric acid were measured enzymatically, with Human kits (Germany), and creatinine was determined by kinetic calorimetry via the Berthelot method with Bio-Systems kits. Serum biomarker measurements were performed per each kit’s instructions, and saliva samples were doubled in volume to account for typically lower salivary analyte concentrations, with total-volume adjustments. Electrolyte concentrations (Na+, K+, Cl-) were determined in the routine clinical workflow using a UV–visible spectrophotometer (Emclab, Germany).
Qualitative data reported as actual numerical values were entered into Excel spreadsheet. Continuous variables with normal distribution are summarized as mean ± SE; dichotomous data are presented as N (%). Statistical tests included: for continuous variables Student’s t-test; for categorical variables used chi-square test. Correlations between serum and salivary biomarkers were evaluated using Pearson coefficient to assess cross matrix relationships. According to conventional interpretation of Pearson’s correlation coefficients, correlations were classified as weak (r = 0.10–0.29), moderate (r = 0.30–0.49), and strong (r ≥ 0.50). Diagnostic accuracy was evaluated using ROC analysis, AUC, CI (95%) and calculate positive predictive value (PPV) and negative predictive value (NPV). Significance was set at a two-tailed p-value < 0.05. All analyses were performed with IBM SPSS Statistics for Windows, version 21.
Most anthropometric characteristics did not differ significantly between patients and controls, except for age, gender and smoker status ( Table 1). The mean age was significantly higher in patients (61.8 ± 1.25 years) than controls (57.2 ± 0.99 years). Body mass index did not differ between groups (29.78 ± 0.57 vs. 29.94 ± 0.50 kg/m2; p = 0.838). There was a significant difference in gender distribution, with males comprising 72% of patients versus 50% of controls. Smokers accounted for 37% of patients and 29% of controls; this difference reach statistical significance (р < 0.001). Alcohol consumption was rare and did not differ between groups (3% in both studied groups; p = 1.0). Regarding cardiac center, 59% of patients were recruited from Baghdad Teaching Hospital and 41% from the Ibn Al-Bitar Center for Cardiac Surgery. The majority of participants were from Baghdad (86%), while only 14% were from other Iraqi’s provinces, with no statistically significant difference between the studied groups (p = 0.268). Concerning educational level, 64% of the participants were non-educated compared to 36% who were educated. Similarly, there was no significant difference between the groups in relation to education (p = 0.151). Hypertension and diabetes mellitus were present in 67% and 66% among patients, respectively. Chronic kidney disease and acute kidney injury were remarkably recorded in the patients group. Specifically, CKD was observed in 19% and AKI present in 1% of patients. Systolic (SBP) and diastolic (DBP) blood pressure values were reported with a mean of 120.0 ± 2.13 mmHg and a mean of 72.2 ± 1.39 mmHg, respectively. The patients group included a distribution across ejection fraction (EF) categories (≤40%, 41–49%, ≥50%), with 54.7%, 32.6% and 12.6%, respectively.
Among HF patients, a wide range of therapies was recorded. The most common were diuretics (84%) and anticoagulants (85%), followed by β-blockers (50%). Additional medications included ACE inhibitors/ARBs (17%), ARNI (7%), lipid-lowering agents (18%), antidiabetics (28%), insulin (30%), bronchodilators (26%), nitrates (14%), steroids (5%), and other agents. Supportive medications (thyroxine, PPIs, vitamin K, antibiotics) appeared in 84%.
Biochemical parameters indices showed significant differences between HF patients and the control group. Serum albumin differed between the two groups, with HF patients having a higher mean albumin level (41.72 ± 0.32 g/L) than controls (39.90 ± 0.37 g/L), a difference that was highly significant (р < 0.001). In contrast, serum total protein was lower in HF patients (72.25 ± 0.38 g/L) compared with controls (75.80 ± 0.55 g/L), also reaching statistical significance (p < 0.001). Blood urea was markedly elevated in HF patients (74.04 ± 4.84 mg/dL) relative to controls (30.92 ± 0.89 mg/dL), with р < 0.001, and serum creatinine was similarly higher in the patient group (1.68 ± 0.15 mg/dL) than in control group (0.68 ± 0.01mg/dL), р < 0.001. Serum uric acid was lower in HF patients (4.77 ± 0.11 mg/dL) than in controls (5.31 ± 0.08 mg/dL), with p < 0.001. Sodium was also reduced statistically (p = 0.018) in HF patients (139.05 ± 0.67 mEq/L) compared with controls (140.84 ± 0.33 mEq/L), while potassium and chloride did not show significant between-group differences (p = 0.096 and p = 0.828, respectively).
In saliva, total protein was substantially higher in HF patients (7.26 ± 0.06 g/L) than in controls (1.57 ± 0.17 g/L), with p < 0.001, illustrating marked matrix differences between groups. Saliva urea did not differ significantly (p = 0.312), with HF patients at 54.72 ± 4.60 mg/dL and controls at 60.67 ± 3.41 mg/dL. Saliva creatinine was elevated in HF patients (0.94 ± 0.13 mg/dL) compared with controls (0.001 ± 0.0001 mg/dL), p < 0.001, while saliva uric acid was higher in HF patients (2.65 ± 0.16 mg/dL) than in controls (0.07 ± 0.004 mg/dL), р < 0.001. Hematological parameters were assessed in the patient group. The mean white blood cell (WBC) count was 9.68 ± 0.50 ×103/L. Platelet counts were also measured with a mean value of 249.26 ± 11.24 ×103/L. Hemoglobin levels were significantly reduced in the patients group, with a mean of 11.54 ± 0.26 g/dL, as shown in Table 2.
Among serum cardiac markers as recorded in Table 3 hs-cTn tended to be higher in HF patients (93.40 ± 7.15 pg/mL) than controls (75.49 ± 6.68 pg/mL) but did not reach statistical significance (p = 0.070). While, saliva hs-cTn was significantly higher in HF patients (24.59 ± 4.38 pg/mL) than controls (6.98 ± 0.95 pg/mL), p < 0.001. Serum NT-proBNP was markedly higher in HF patients (317.72 ± 18.17 ng/L) than in controls (88.86 ± 6.26 ng/L), with p < 0.001. Saliva NT-proBNP was significantly elevated in HF patients (24.54 ± 1.28 ng/L) compared with controls (17.93 ± 0.87 ng/L), p < 0.001.
In this analysis, we explored the pairwise linear associations among salivary and serum biomarkers in patients with heart failure. Salivary total protein showed a weak but statistically significant negative correlation with its serum counterpart (r = –0.208, p = 0.017) and serum uric acid (r = –0.194, p = 0.026). In contrast, it demonstrated moderate positive correlations with serum urea (r = 0.467, p < 0.001) and creatinine (r = 0.424, p < 0.001), and a strong positive correlation with serum NT-proBNP (r = 0.652, p < 0.001).
Salivary urea exhibited minimal associations with serum biomarkers, with the only notable finding being a moderate negative correlation with serum NT-proBNP (r = –0.298, p = 0.006). Salivary creatinine showed more consistent relationships, displaying weak negative correlations with serum total protein (r = –0.251, p = 0.003) and uric acid (r = –0.241, p = 0.005), along with moderate positive correlations with serum urea (r = 0.450, p < 0.001) and creatinine (r = 0.402, p < 0.001). It also correlated strongly and positively with serum NT-proBNP (r = 0.531, p < 0.001).
Similarly, salivary uric acid was weakly and negatively correlated with serum total protein (r = –0.236, p = 0.005), while demonstrating moderate to strong positive correlations with serum urea (r = 0.514, р < 0.001) and creatinine (r = 0.500, p < 0.001), and a very strong correlation with serum NT-proBNP (r = 0.731, p < 0.001). Salivary hs-cTn did not correlate significantly with most serum biomarkers, except for a moderate positive correlation with serum NT-proBNP (r = 0.315, p = 0.003).
Finally, salivary NT-proBNP was significantly correlated with serum NT-proBNP (r = 0.317, p = 0.003), though its associations with other serum biomarkers remained weak and non-significant. Overall, these findings highlight that among the tested salivary analytes, NT-proBNP, creatinine, and uric acid demonstrated the strongest and most consistent associations with their serum counterparts and related biochemical markers, as presented in Table 4.
| Salivary biomarker | Serum biomarker | Pearson correlation | Sig. (2-tailed) |
|---|---|---|---|
| Total Protein g/L | Total Protein | -0.208* | 0.017 |
| Urea | 0.467** | <0.001 | |
| Creatinine | 0.424** | <0.001 | |
| Uric Acid | -0.194* | 0.026 | |
| hs-cTn | 0.050 | 0.663 | |
| NT-proBNP | 0.652** | <0.001 | |
| Urea (mg/dl) | Total Protein | -0.041 | 0.637 |
| Urea | -0.023 | 0.795 | |
| Creatinine | -0.024 | 0.781 | |
| Uric Acid | -0.017 | 0.842 | |
| hs-cTn | 0.079 | 0.477 | |
| NT-proBNP | -0.298** | 0.006 | |
| Creatinine (mg/dl) | Total Protein | -0.251** | 0.003 |
| Urea | 0.450** | <0.001 | |
| Creatinine | 0.402** | <0.001 | |
| Uric Acid | -0.241** | 0.005 | |
| hs-cTn | 0.130 | 0.236 | |
| NT-proBNP | 0.531** | <0.001 | |
| Uric Acid (mg/dl) | Total Protein | -0.236** | 0.005 |
| Urea | 0.514** | <0.001 | |
| Creatinine | 0.500** | <0.001 | |
| Uric Acid | -0.151 | 0.077 | |
| hs-cTn | 0.102 | 0.350 | |
| NT-proBNP | 0.731** | <0.001 | |
| hs-cTn (pg/ml) | Total Protein | -0.163 | 0.121 |
| Urea | 0.181 | 0.08 | |
| Creatinine | 0.085 | 0.421 | |
| Uric Acid | -0.123 | 0.244 | |
| hs-cTn | 0.122 | 0.258 | |
| NT-proBNP | 0.315** | 0.003 | |
| NT-proBNP (ng/L) | Total Protein | -0.076 | 0.473 |
| Urea | 0.088 | 0.405 | |
| Creatinine | 0.170 | 0.106 | |
| Uric Acid | -0.119 | 0.260 | |
| hs-cTn | 0.197 | 0.066 | |
| NT-proBNP | 0.317** | 0.003 |
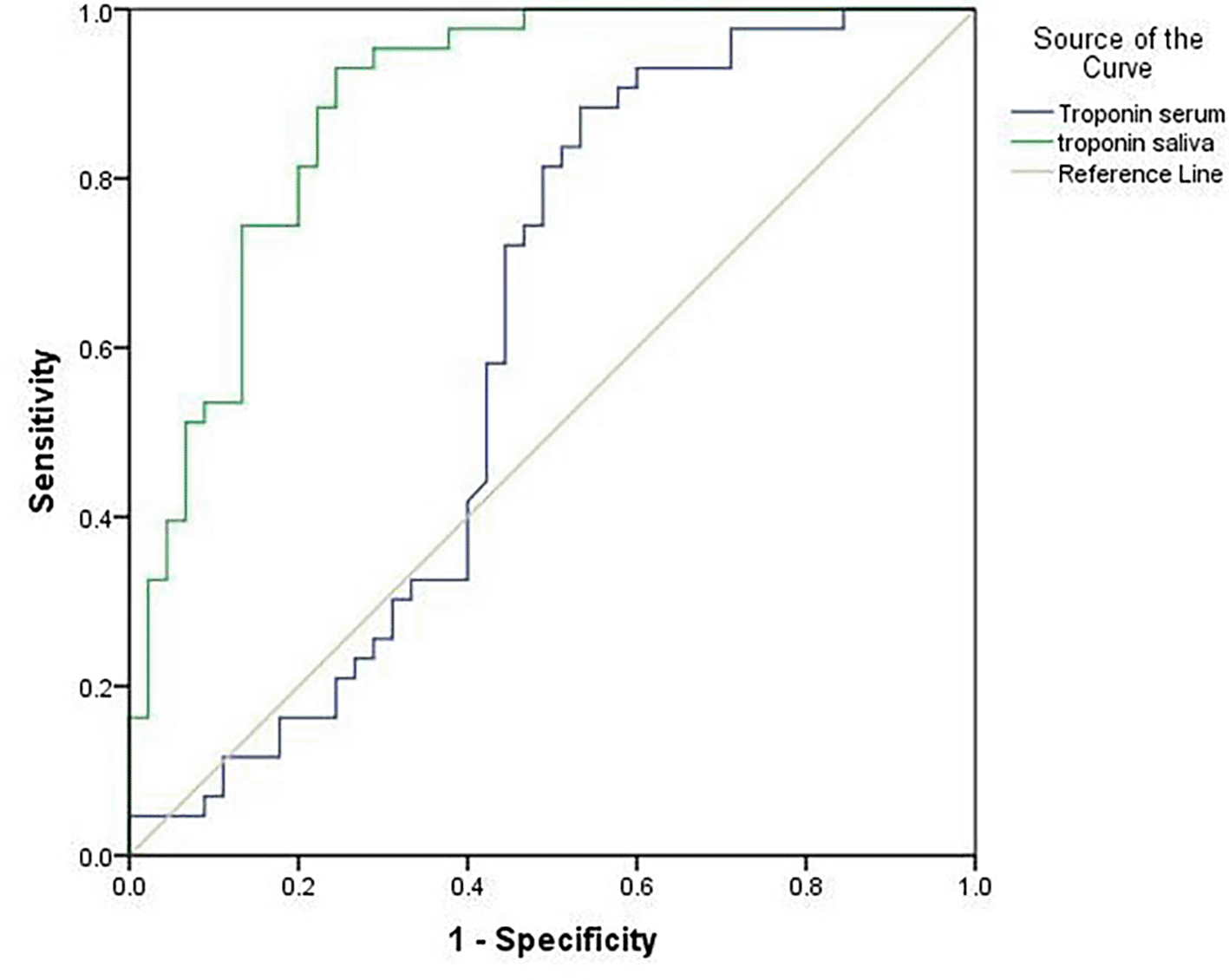
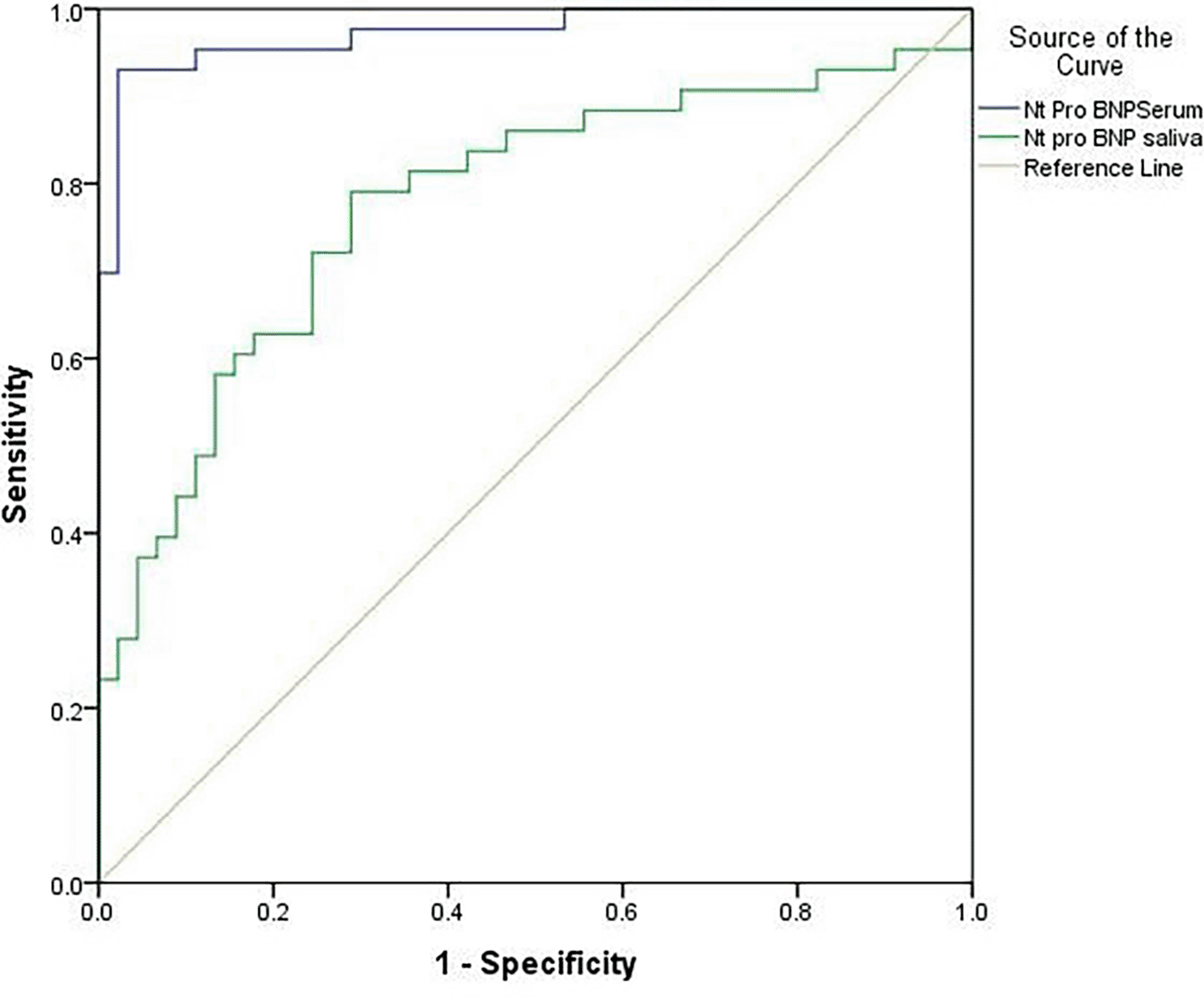
Table 5 shows the diagnostic performance of both serum and salivary biomarkers in differentiating patients from controls. For serum markers, hs-cTn demonstrated a sensitivity of 81.4% and specificity of 48.9% at a cutoff value of 66.38 pg/ml AUC = 0.60, CI 95% (0.48-0.73), p = 0.080 yielding a PPV of 62.3% and an NPV of 72.9%, as recorded in Figure 2. Serum NT-proBNP showed sensitivity of 93% and specificity of 97.7% at a cutoff value of 185.20 ng/L AUC = 0.97, CI 95% (0.94-1.00), p < 0.001, resulting in a PPV of 97.9% and an NPV of 93.3%, as shown in Figure 3.
Among salivary biomarkers, hs-cTn (cutoff 7.57 pg/ml) exhibited a sensitivity of 93% and specificity of 75.5%, AUC = 0.88, CI 95% (0.82-0.95), p < 0.001 with a PPV of 79.5% and NPV of 91.6%. Salivary NT-proBNP (cutoff 19.43 ng/L) showed sensitivity = 81.4%, specificity = 64.4%, AUC = 0.77, CI 95% (0.67-0.87), p < 0.001 with PPV and NPV values of 97.9% and 93.3%, respectively, as shown in Table 5.
Advancing age is a well-established determinant of HF due to cumulative exposure to hypertension, diabetes, and vascular disease, as well as age-related myocardial remodeling. This is consistent with different data demonstrating that HF incidence increases exponentially with age, particularly beyond 60 years.12,13
The mean body mass index (BMI), which may reflect the “obesity paradox” in HF, where overweight and moderately obese patients are overrepresented but not always statistically distinct from controls. Previous studies have confirmed that although obesity increases HF risk, once HF develops, higher BMI is paradoxically associated with better outcomes.14
Finding of gender distribution may be related to the higher prevalence of ischemic heart disease and other cardiovascular risk factors among men, which predispose them to heart failure. Previous studies have similarly reported male predominance in HF cohorts, reflecting both biological susceptibility and gender-related disparities in exposure to risk factors.15,16
Our study recorded a statistically significant higher rate of smoking in HF patients compared to control groups. This finding is consistent with current evidence demonstrating that tobacco smoking is a well-established risk factor for cardiovascular diseases, including heart failure. Smoking contributes to endothelial dysfunction, oxidative stress, and atherosclerosis, which collectively increase the risk of developing heart failure.17 Recent cohort studies have also shown that smokers with heart failure tend to have worse clinical outcomes, including higher hospitalization rates and mortality, compared to non-smokers.18 Therefore, the higher proportion of smokers in the current cohort highlights the critical role of smoking cessation interventions in reducing the burden and progression of heart failure.
Residency and education did not differ significantly between groups. These non-significant associations suggest that sociodemographic factors in this cohort may play a lesser role compared to traditional biological risk factors. However, earlier studies have noted that low educational status may still contribute to HF risk in broader populations, even if not statistically evident in individual cohorts.19
Alcohol consumption was low and did not differ between groups, which may be explained by sociocultural norms in the local setting. This contrasts with findings from Western populations, where alcohol intake has been more strongly associated with HF risk.20
Diabetes mellitus and hypertension were highly prevalent among patients. These comorbidities are known to accelerate HF progression by inducing structural and functional cardiac changes, endothelial dysfunction, and renal impairment. The strong clustering of these conditions with HF has been consistently confirmed in recent epidemiological studies.21,22
Kidney disease underscores the cardiorenal interaction, commonly termed the “cardiorenal syndrome.” Global registries report similar findings.23 CKD is clinically relevant, as renal impairment correlates with higher long-term cardiovascular risk.24
The relatively normal SBP and DBP values in the patient’s cohort may reflect ongoing antihypertensive therapy, as 50% of patients were receiving beta blockers and 17% ACE inhibitors or ARBs. These medications are known to control both systolic and diastolic pressures, potentially explaining the moderate values despite the high prevalence of hypertension (67%). Contemporary studies have similarly noted that HF patients often present with controlled or near-normal blood pressure due to guideline-directed pharmacotherapy.13,25 Additionally, the maintenance of adequate blood pressure is crucial for organ perfusion, especially in patients with reduced ejection fraction. Prior epidemiological studies suggest that elevated SBP is a strong predictor of HF incidence, whereas lower SBP at presentation may indicate more advanced disease or poor cardiac output.26
Ejection fraction distribution indicated that the majority of patients had reduced EF while smaller proportions fell into mid-range and preserved EF categories. This pattern is consistent with the dominance of HFrEF in clinical settings, particularly when ischemic heart disease and hypertension are common comorbidities. Similar distributions were observed in the European Society of Cardiology (ESC) Heart Failure Long-Term Registry.27
The data reveal that a wide spectrum of therapies was utilized in the HF cohort, including diuretics and anticoagulants in the majority, with substantial use of beta-blockers, antidiabetic medications, and other agents. While medication exposure can influence biomarker levels (e.g., diuretics affecting renal function and volume status), the observed biomarker differences persisted beyond therapeutic influences, suggesting intrinsic pathophysiological distinctions between HF patients and controls.25
Conventional serum biochemical parameters revealed patterns compatible with advanced cardiovascular disease and impaired renal function. Patients exhibited markedly elevated blood urea and creatinine levels relative to controls, indicating reduced renal perfusion or concomitant renal impairment commonly observed in heart failure populations.
Heart failure patients exhibited higher albumin levels relative to controls, and both groups fall within the conventional normal range, though the HF group sits toward the higher end. The concomitant rise in serum albumin in patients, though statistically significant, contrasts with typical expectations for chronic illness where hypoalbuminemia due to inflammation or malnutrition is often anticipated. This discordance may reflect cohort-specific factors such as hydration status, acute-phase dynamics, or sampling timing. In addition, serum total protein was lower in patients, suggesting changes in hepatic synthesis, protein catabolism, or volume status that warrant further exploration. Similar findings were reported by28 who noted that serum albumin levels may fluctuate with congestion and nutritional status in chronic HF.
Serum total protein was significantly lower in patients while salivary total protein was significantly elevated in patients. These results suggest that although systemic protein levels may be reduced due to catabolic state or malnutrition. Salivary protein may increase due to glandular secretion changes and oral mucosal transudation in HF.29
Renal function markers showed significant elevations in patients. Serum urea and serum creatinine were markedly higher in patients, consistent with cardiorenal interaction in HF. Salivary urea showed no significant difference between groups while salivary creatinine was significantly elevated in patients. These findings align with the concept that small molecules such as creatinine can diffuse into saliva proportionally to serum levels, whereas urea may be metabolized by oral bacteria, masking systemic differences.30
Uric acid demonstrated an intriguing pattern: higher in controls and lower in HF patients. Given uric acid’s dual role as an antioxidant and a pro-oxidant under different conditions, this finding could reflect altered purine metabolism, renal handling, or diuretic exposure (a high proportion of HF patients were on diuretics). Serum uric acid was lower in patients whereas salivary uric acid was elevated in patients. This apparent discrepancy may result from local oxidative stress and altered salivary gland secretion in HF, as previously observed in studies evaluating oxidative biomarkers in chronic HF.31
Electrolytes revealed minor but significant differences. Serum sodium was slightly lower in patients possibly reflecting mild dilutional hyponatremia secondary to neurohormonal activation and fluid retention in HF. Serum potassium and chloride did not differ significantly. These patterns are consistent with other contemporary HF cohorts, where hyponatremia is associated with worse prognosis, whereas potassium and chloride often remain within normal ranges due to close monitoring and diuretic use.25
Among hematological parameters, the patients group demonstrated lower hemoglobin levels, consistent with anemia of chronic disease or renal-associated anemia often observed in HF populations. Studies conducted by32 reported that mildly reduced hemoglobin levels are commonly observed in HF patients.
White blood cell counts and platelet counts were within reference ranges and did not show major deviations, indicating that overt systemic infection or hematologic disturbances were not prominent in this cohort at the time of sampling. This pattern is consistent with prior reports in stable chronic HF populations.33
Overall, these biochemical and hematological findings underscore the complex metabolic and renal alterations in HF patients, demonstrate partial reflection of systemic changes in saliva, and emphasize the importance of monitoring both serum and, potentially, salivary markers for non-invasive assessment of HF status.
Serum hs-cTn levels were higher in patients, this trend likely reflects ongoing myocardial injury or stress in HF patients, which may be subclinical or chronic rather than acute. Similar patterns have been reported in contemporary studies, suggesting that mildly elevated hs-cTn in chronic HF indicates ongoing myocyte strain and predicts adverse outcomes even in the absence of acute coronary events.34,35
Salivary hs-cTn, in contrast, was significantly higher in patients compared with controls. This elevation demonstrates that cardiac injury markers can be detected in saliva, likely via transudation from serum through gingival crevicular fluid or minor mucosal leakage. However, the magnitude of correlation between salivary and serum hs-cTn is modest in most studies, reflecting proteolytic degradation in the oral cavity and lower absolute concentrations in saliva.36 Despite these limitations, salivary hs-cTn may provide a non-invasive adjunctive measure for monitoring chronic HF, particularly when repeated sampling is desired.
Serum NT-proBNP is elevated in HF due to combined systolic and diastolic dysfunction, often with concurrent renal impairment. Natriuretic peptide testing has risen sharply for evaluating patients with suspected HF. BNP exerts diuretic and natriuretic effects, vasodilation, and inhibition of the renin–angiotensin–aldosterone system, supporting the clinical utility of BNP or NT-proBNP measurement in HF and related states.37,38
Presences of salivary NT-proBNP suggests that natriuretic peptides can be measured in saliva. Nonetheless, salivary levels are substantially lower than serum levels, and cross-matrix correlation is often variable due to differences in secretion pathways, saliva flow rate, and enzymatic degradation. Studies have suggested that while salivary NT-proBNP may reflect systemic cardiac stress, it should not replace serum measurements but rather serve as a complementary, non-invasive monitoring tool.39
Overall, these findings support the concept that serum cardiac markers remain the gold standard for HF diagnosis and prognosis, while salivary markers may provide additional, non-invasive insights into myocardial stress, particularly in settings where repeated blood sampling is impractical. The combination of both matrices may improve patient monitoring.
The present study demonstrated that salivary NT-proBNP, creatinine, and uric acid exhibited the strongest and most consistent correlations with their serum counterparts, whereas other salivary markers showed weaker or inconsistent associations. These findings align with the growing body of literature that has highlighted saliva as a promising non-invasive medium for cardiac and renal biomarker assessment.
Salivary total protein is influenced by systemic changes in patients with heart failure, highlighting the potential of saliva to reflect systemic protein status. This can be explained by increased vascular permeability and mucosal congestion, which allow plasma proteins to pass into saliva. Inflammatory activity may also alter salivary gland function, contributing to higher protein leakage. Previous studies, such as,40,41 similarly suggested that salivary proteins can partially reflect systemic protein status. However, the relationship is not always consistent due to local oral factors, and total protein in saliva appears less reliable as a direct surrogate of serum levels, which is consistent with our findings.
Salivary urea showed limited correlations in our cohort, with the only notable association being a weak negative correlation with serum NT-proBNP. This can be explained by rapid degradation of urea in the oral cavity by bacterial urease, as well as the impact of salivary flow rate on dilution. A similar conclusion was reached by,42 who noted that urea is an unreliable salivary surrogate due to high intraoral variability.
We observed consistent associations between salivary creatinine and multiple serum biomarkers, including weak to strong positive correlations with serum urea, creatinine, and NT-proBNP, along with weak negative correlations with total protein and uric acid. These results are in agreement with43 and are further supported by a study conducted by,44 who demonstrated that renal dysfunction leads to parallel increases in creatinine and uric acid, both of which are linked to adverse HF prognosis. Our findings therefore support the concept of a “cardiorenal–metabolic cluster,” where renal impairment amplifies the biomarker signal in HF.
Salivary uric acid emerged as one of the strongest indicators of systemic status, showing a clear relationship with both renal and cardiac markers. This reflects the role of uric acid in oxidative stress and metabolic dysfunction, which are strongly linked to heart failure progression. Comparable results were demonstrated by,44,45 who highlighted the prognostic value of uric acid in combination with natriuretic peptides.
In contrast to other analytes, salivary hs-cTn showed no significant correlations with most serum biomarkers, except for a moderate association with serum NT-proBNP. This agrees with prior reports indicating that salivary hs-cTn is difficult to detect reliably, given its very low concentrations and high assay variability.30 Therefore, salivary hs-cTn may not yet be suitable as a stand-alone diagnostic tool without further methodological improvements in assay sensitivity.
Salivary NT-proBNP showed moderate correlation with serum levels, but its diagnostic reliability remains limited compared to serum measurements. This suggests that while saliva may capture some of the systemic signal, it cannot yet replace serum NT-proBNP. Recent work by46 confirmed the central role of serum NT-proBNP in heart failure monitoring, whereas salivary NT-proBNP requires further validation before clinical use.
The diagnostic performance was assessed using sensitivity, specificity, cutoff values, area under the curve (AUC), CI (confidence intervals), significance, PPV and NPV.
Serum hs-cTn demonstrates high sensitivity and moderate specificity, indicating it detects cardiac injury without reliably distinguishing heart failure from other conditions. Mechanistically, hs-cTn signals myocardial injury rather than heart-failure–specific stress, supporting its role in risk stratification rather than diagnosis of HF alone.47 Previous studies indicated that salivary high-sensitivity cardiac troponin (hs-cTn) may demonstrate relatively high sensitivity but moderate specificity in detecting myocardial injury, suggesting that saliva can partially reflect cardiac damage and may offer a noninvasive approach for monitoring.48
Serum NT-proBNP demonstrates high sensitivity and specificity, making it a robust biomarker for detecting heart failure and distinguishing affected individuals from healthy controls. Its excellent AUC reflects strong discriminative power. Mechanistically, NT-proBNP is released by ventricular myocytes in response to increased wall stress and volume overload, a hallmark of heart failure.47 Comparative evidence shows serum NT-proBNP achieving sensitivities up to 99% and specificities 60–85%, underscoring its diagnostic utility.49 Salivary NT-proBNP may underperform relative to serum measurements but offers a promising non-invasive option for HF monitoring.29,50
This study has several limitations. First, the small sample size largely results from incomplete participation in saliva sampling, stemming from limited public familiarity with this approach in our country. Consequently, not all participants provided saliva specimens, which may bias matrix comparisons. Salivary biomarker measurements are susceptible to variability due to flow rate, oral health, and matrix effects, underscoring the need for standardization. Additionally, potential confounders such as renal function, comorbidities, and concomitant medications were not fully controlled. Collectively, these factors may affect the reliability and generalizability of the findings.
Serum NT-proBNP remains the most robust discriminator between HF patients and healthy controls. Salivary NT-proBNP and hs-cTn show promising diagnostic utility and correlate with their serum counterparts, supporting a potential role as non-invasive adjuncts for HF monitoring. Saliva-based assays could enhance feasibility of repeated testing in outpatient or resource-limited settings, but require further validation and standardization before replacing serum measurements.
Ethical approval for this study was obtained from the Institutional Review Board university of Baghdad, college of medicine, department of Biochemistry (Bio101,22/10/2024). Written informed consent was obtained from all participants prior to inclusion in the study.
Figshare: Evaluation of Cardiac Biomarkers in Serum and Saliva of Heart Failure Patients, https://doi.org/10.6084/m9.figshare.3049841651
The project contains the following underlying data:
Data are available under the terms of the Creative Commons Attribution 4.0 International license (CC-BY 4.0).
The Department of Chemistry and Biochemistry at the College of Medicine, University of Baghdad, Iraq provided support for this research. The authors extend their thanks to all patients and participating centers for their ongoing support.
| Views | Downloads | |
|---|---|---|
| F1000Research | - | - |
|
PubMed Central
Data from PMC are received and updated monthly.
|
- | - |
Is the work clearly and accurately presented and does it cite the current literature?
No
Is the study design appropriate and is the work technically sound?
Partly
Are sufficient details of methods and analysis provided to allow replication by others?
No
If applicable, is the statistical analysis and its interpretation appropriate?
No
Are all the source data underlying the results available to ensure full reproducibility?
No
Are the conclusions drawn adequately supported by the results?
No
Competing Interests: No competing interests were disclosed.
Reviewer Expertise: Heart failure. Biomarker research.
Alongside their report, reviewers assign a status to the article:
| Invited Reviewers | |
|---|---|
| 1 | |
|
Version 1 17 Nov 25 |
read |
Provide sufficient details of any financial or non-financial competing interests to enable users to assess whether your comments might lead a reasonable person to question your impartiality. Consider the following examples, but note that this is not an exhaustive list:
Sign up for content alerts and receive a weekly or monthly email with all newly published articles
Already registered? Sign in
The email address should be the one you originally registered with F1000.
You registered with F1000 via Google, so we cannot reset your password.
To sign in, please click here.
If you still need help with your Google account password, please click here.
You registered with F1000 via Facebook, so we cannot reset your password.
To sign in, please click here.
If you still need help with your Facebook account password, please click here.
If your email address is registered with us, we will email you instructions to reset your password.
If you think you should have received this email but it has not arrived, please check your spam filters and/or contact for further assistance.
Comments on this article Comments (0)