ALL Metrics
-
Views
-
Downloads
Get PDF
Get XML
Cite
Export
Track
Research Article

Exploring the Interplay of Motivation, Self-Efficacy, Critical Thinking, and Self-Regulation in Predicting Academic Achievement Among University Students

[version 1; peer review: 1 approved, 1 approved with reservations]
PUBLISHED 28 Mar 2025
Author details Author details
OPEN PEER REVIEW
REVIEWER STATUS

This article is included in the HEAL1000 gateway.

Abstract

Background

Motivational variables are of critical importance concerning students' performance. The objective of the present study was to investigate the interrelationships between extrinsic and intrinsic motivation, self-efficacy, self-regulation, critical thinking, and academic performance among university students.

Methods

The participants were 250 students enrolled in university programs in education and psychology. The research instrument was a self-report questionnaire designed to assess intrinsic and extrinsic motivation, critical thinking, self-regulation, and academic achievement among university students. A path model analysis was employed to identify the relationships among the investigated variables.

Results

The results demonstrated that self-efficacy was predicted by intrinsic and extrinsic motivation, critical thinking was predicted by self-efficacy, and self-regulation was predicted by self-efficacy and critical thinking, thereby underscoring the pivotal role of self-efficacy. The findings indicate that academic achievement is predicted by critical thinking, and self-regulation, thereby underscoring the pivotal role of these variables in academic contexts.

Conclusions

The contributions of the present research are twofold, both theoretical and practical. On the one hand, the findings offer a more nuanced understanding of the interconnections between motivation, self-efficacy, critical thinking, and self-regulation. On the other hand, they provide valuable insights for developing educational strategies that enhance academic achievement by fostering these key factors.

Keywords

critical thinking, motivation, self-efficacy, self-regulation

Introduction

The difficulties encountered by university students in attaining academic performance have long been a matter of grave concern for institutions of higher learning. In the context of higher education, academic success can be defined as the ability of students to successfully complete a given semester, which is a prerequisite for promotion to the subsequent academic year and the completion of the university program. A substantial body of education research has consistently demonstrated that prior academic performance is the most reliable predictor of future success (e.g., McKenzie & Schweitzer, 2001; Zeegers, 2004). Moreover, studies in educational psychology have examined the relationship between various factors and academic achievement. These factors including adaptability, behavioral engagement (e.g., Collie et al., 2017), personality traits (Komarraju et al., 2011; Laidra et al., 2007), self-efficacy (Liem et al., 2008; Pajares, 1996), emotional engagement (Gonida et al., 2009), self-regulation (e.g., Meece & Painter, 2012) and critical thinking (Greene & Yu, 2016; Halpern, 2013).

Motivation for academic success is inextricably linked to behaviors that facilitate effective learning and achievement (e.g., Hulleman et al., 2017). It comprises a robust motivation to complete tasks efficiently within a given context and to evaluate performance promptly. While extensive research has been conducted in elementary and secondary education regarding motivational variables and their impact on student performance (e.g., Friedel et al., 2007; Stamovlasis & Gonida, 2018; Author et al., 2023; Wormington & Linnenbrink-Garcia, 2017; Stavropoulou & Stamovlasis, 2024; Stavropoulou et al., 2025), a notable gap exists in exploring these factors within the context of higher education. Specifically, research focusing on the interconnectedness of motivation, self-efficacy, self-regulation, and critical thinking in university students remains limited. This is a significant oversight, as these cognitive and motivational constructs are likely to play an equally, if not more, critical role in higher education, where it is anticipated that students will engage in complex learning tasks, develop autonomy, and apply critical thinking skills in more advanced and diverse academic settings (e.g., Washer, 2007). Despite the recognized importance of motivation, self-efficacy, and self-regulation in learning, the absence of comprehensive studies examining their specific impact on other thinking skills such as critical thinking in a university environment represents a clear research gap that needs to be addressed. Understanding how these factors interact in a university context could provide valuable insights into improving student engagement, performance, and academic success at the postsecondary level, and help educators design interventions that foster these key skills.

In light of these considerations, the current study addresses this gap by examining the interrelationships between various motivational variables and their influence on academic achievement within a university setting. The study aims to understand better how motivation interacts with other factors that affect student success at the university level.

Literature review

Defining motivation, self-efficacy, critical thinking, and self-regulation

Motivation

Motivation has been widely acknowledged as a pivotal factor influencing academic behavior, with many theories striving to elucidate and explain the motivational processes that culminate in academic outcomes, particularly achievement. It is of paramount importance to motivate learners in order to ensure effective curriculum implementation, as motivation has a significant impact on the dynamics of teaching and learning (Harackiewicz et al., 2002; Pintrich, 2004; Urdan & Kaplan, 2020). The extent to which the learning process is effective is contingent upon the level of motivation exhibited by the learners, which propels them toward attaining their educational goals. It is imperative to recognize that fostering motivation is fundamental to effective teaching (Hulleman et al., 2017; Senko & Dawson, 2017; Author et al., 2023; Urdan & Kaplan, 2020).

Motivation is a complex aspect of human psychology and behavior that influences several factors, including the allocation of time, the selection of learning tasks, the level of effort invested in a task, the thoughts and feelings associated with the task, the duration of persistence in completing the task, and the ability to overcome challenges encountered during the learning process (Ryan & Deci, 2000b). Additionally, motivation is a process that originates from a psychological or physiological need, which then initiates a behavior or drive directed towards a specific goal or incentive (Ryan & Deci, 2000b). Learners ascribe disparate meanings and attitudes to the academic environment, which inform their actions and channel their energy in diverse directions. These energizing and guiding influences are called motivation or motivation to learn. Motivation is a crucial factor in the success of the teaching-learning process. As the term implies, motivation is the driving force behind all human action and behavior (Ryan & Deci, 2000b).

The Self-Determination Theory (SDT) theoretical framework suggests thatlearners may be driven by intrinsic and extrinsic motivation. In intrinsic motivation, the stimulus originates from within the individual and may be emotional, spiritual, biological, or social. No external rewards are sought; the activity is pursued for its intrinsic value and personal satisfaction (e.g., Gagné & Deci, 2005; Ryan & Deci, 2000a). Such motivation is frequently characterized by curiosity, interest, and a desire to overcome challenges, which may be intrinsic or extrinsic (Niemiec & Ryan, 2009; Ryan & Deci, 2000a). The concept of intrinsic motivation is elucidated as the choices individuals make for their own sake, without regard for any external factors, where the reward is inherently within the activity itself (Ryan & Deci, 2000a).

Moreover, intrinsic motivators, apart from a profound interest in the subject matter, are characterized by a perception of its relevance to life and a sense of accomplishment in mastering it (Cavallo et al., 2003; Matt & Dale, 2002). Such individuals engage deeply in mental and physical activities, maintaining a high level of focus and a clear understanding of their objectives. Such individuals are self-critical, capable of reflecting on their actions realistically, and typically approach learning with a relaxed attitude, not fearing failure. Those intrinsically motivated to learn seek to expand their knowledge base, deriving positive emotions from the process and often demonstrating a superior grasp of the subject matter.

Conversely, extrinsic motivation has also been demonstrated to influence the learning process. Extrinsic motivation refers to any stimulus that originates from external sources, potentially involving social cognition or operant conditioning, which prompts the student to engage in the learning process (e.g., Chow & Yong, 2013). This concept pertains to completing a task to attain a particular outcome, such as receiving a reward, social approval, or recognition. Such external factors may include the need to pass an examination, obtain a favorable grade, receive positive feedback from an instructor, parental expectations, or the influence of other models (Matt & Dale, 2002). Specifically, learners are driven to engage in a particular action to attain a result that extends beyond the confines of the learning experience itself (Niemiec & Ryan, 2009; Ryan & Deci, 2000a). This results in less effort being expended, as the knowledge required is limited (Matt & Dale, 2002). Additionally, the outcomes are immediate (Ryan & Deci, 2000b). Nevertheless, extrinsic motivators can potentially distract students from the subject matter at hand or independent learning. It is frequently required to augment the level of reinforcement over time in order to sustain the desired effect.

Intrinsic motivation is often more influential than extrinsic motivation because it originates from within the learner and is unaffected by external factors. Intrinsic motivation can also be more enduring and self-perpetuating than extrinsic motivation, which lasts less because removing rewards or punishments results in a loss of motivation among students (Matt & Dale, 2002). Extrinsic rewards may negatively influence intrinsic motivation. Individuals motivated extrinsically depend entirely on rewards and desirable outcomes for their drive (Lei, 2010). Consequently, students with external motivation are likelier to perform at a lower academic level than intrinsically motivated students (Lei, 2010). Previous research has demonstrated that learners with stronger motivations for learning tend to achieve better learning outcomes (Giesbers et al., 2013; Sansone et al., 2012). A crucial aspect of understanding motivation is also the concept of self-efficacy.

Self-efficacy

The significance of self-efficacy beliefs in shaping human behavior is well-recognized within the framework of social cognitive theory (Bandura, 1997; Pajares, 1996). The motivational influence of perceived self-efficacy and its ability to predict performance in different areas, including academics, has been well established from a substantial body of empirical evidence, along with numerous meta-analytic studies (Bandura & Locke, 2003; Stajkovic & Luthans, 1998). Bandura (1997), Schunk and Pajares (2005) defined perceived self-efficacy as an individual’s belief in their ability to learn or perform tasks at specific levels. Self-efficacy beliefs influence people’s decisions and actions, determining the amount of effort they invest in an activity and their persistence when facing challenges (Bandura, 1997; Pajares, 1996). Additionally, they influence how individuals perceive themselves, pivotal in forming the self-concept (Bong & Skaalvik, 2003). Various sources can influence individuals' beliefs regarding their efficacy. Mastery experiences are the most efficacious methods for developing a robust sense of efficacy, as successes bolster confidence in one’s abilities. Conversely, failures can erode this belief, mainly if they occur before a robust sense of efficacy has been firmly established (Bandura & Wessels, 1997).

Nevertheless, self-efficacy beliefs may be accurate or inaccurate reflections of an individual’s competence (e.g., Pajares, 1996). Individuals may engage in self-enhancing or self-limiting cognitive processes when these beliefs are demonstrably inaccurate (e.g., Bouffard et al., 2003; Pajares, 1996). In an educational context, students may either overestimate or underestimate their self-efficacy relative to their actual academic abilities. In other words, their self-evaluation of their academic skills can be affected by either a positive or negative bias, leading to an inflated sense of their abilities or a lack of confidence in their competencies (Bouffard et al., 2003). Motivation and self-efficacy have been demonstrated to relate to other abilities that engage in the learning process, including critical thinking.

Critical thinking

The capacity for critical thinking is also a crucial component of the academic process. Critical thinking involves applying previous knowledge to unfamiliar situations, challenges, decisions, or criteria for excellence. Critical thinking is elucidated as the application of cognitive skills or strategies with the objective of achieving long-term desired outcomes through goal-directed, "high-level" cognitive processes such as judgment, analysis, and synthesis of information (Halpern, 2013). In order to assess the quality of an argument effectively, it is necessary to evaluate a number of factors, including the logic employed, the strength of the evidence presented, the credibility of the sources used, the identity of the person making the argument, and the potential for counterarguments to be made (Greene & Yu, 2016). Specifically, it involves analyzing, assessing, and solving problems (Paul, 1992; Rodzalan & Saat, 2015; Jatmiko et al., 2018). A critical thinking process is systematic and structured, whereby conclusions are formulated and assessed based on evidence, assumptions, and justifiable logic (Sari et al., 2019). Critical thinking is an essential intellectual process, without which the understanding of scientific concepts would be severely impeded. It enables students to analyze their thoughts effectively, make informed choices, and conclude intelligently.

Developing critical thinking skills allows students to navigate natural and social environments with practical and effective expertise. The advancement of critical thinking skills necessitates a rational and systematic approach. The process entails continuously observing and analyzing similarities, differences, and causal relationships (Florea & Hurjui, 2015). Developing critical thinking skills is paramount for students, enabling them to swiftly discern reliable information, enhance their focus on practical learning, and become attuned to real-world situations.

Consequently, critical thinking is paramount in addressing traditional learning challenges, such as knowledge transfer and applying problem-solving skills in unfamiliar contexts (Nickerson et al., 1985). In many countries, educational systems have increasingly emphasized creativity, critical thinking, problem-solving, and decision-making as essential in advancing 21st-century education (Wechsler et al., 2018). Therefore, this shift, which facilitates the growth of critical thinking skills, has transformed the concept of traditional education and advanced it towards a more modern approach. The development of critical thinking is contingent upon interaction with other individuals engaged in the same process of critical thinking. In order to make logical decisions and select the optimal course of action, it is essential to analyze data and apply critical thinking skills (Greene & Yu, 2016). It is of interest to examine the association between critical thinking and self-regulation. The capacity for self-regulation is similarly of great consequence in academic contexts.

Self-regulation

The ability to self-regulate one’s thoughts and actions is essential for effective learning and academic achievement (e.g., Corno & Mandinach, 1983). Self-regulation includes multiple components. To begin with, self-regulated learning involves students applying metacognitive strategies to plan, observe, and adapt their thought processes (e.g., Corno, 1986; Zimmerman & Pons, 1988). A key aspect of self-regulated learning is students' ability to manage and regulate their effort when working on academic tasks in the classroom. For example, skilled students who persevere through challenging tasks or block out distractions can maintain cognitive focus, improving performance (Corno, 1986). Moreover, a third important element of self-regulated learning, highlighted by some researchers, is the cognitive strategies students employ to understand, retain, and process information (Corno & Mandinach, 1983; Zimmerman & Pons, 1988).

Specifically, self-regulation refers to the process by which students actively generate their thoughts and behaviors in a structured way to achieve their learning goals. This type of learning involves goal-directed actions that students initiate, adapt, and maintain. Examples include paying attention in class, processing information and relating new knowledge to what they already know, and creating compelling social interactions and productive work environments (Pintrich & De Groot, 1990). Self-regulated learning aligns with the view that students are not passive receivers of information but rather active participants in setting and pursuing their learning goals, taking responsibility for their own achievement (Meece & Painter, 2012; Pintrich & De Groot, 1990). Self-regulated behavior involves making choices between different courses of action (Mace et al., 1989), often by delaying immediate gratification in favor of a greater reward in the future. Self-regulated learning requires that students understand the task’s requirements, recognize their abilities, and use effective strategies to complete the task. Notably, as students enter adolescence, they must develop self-regulated academic competence that enables them to systematically adjust their strategies in response to changes in various conditions (Bandura, 1997).

Self-regulated learning involves self-directed processes and beliefs that allow learners to convert their cognitive abilities into academic skills. It is understood as a proactive strategy that students employ to develop academic skills, including setting goals, choosing and applying strategies, and monitoring their effectiveness, rather than being a passive response to external forces. Although self-regulated learning is especially important in self-directed activities like discovery learning, self-selected reading, or online research, it is also crucial in social learning environments, such as seeking assistance from peers, parents, or teachers. The key factor is whether a learner shows personal initiative, perseverance, and adaptability. These proactive qualities emerge from positive motivational beliefs, emotions, and metacognitive strategies.

Relationship among motivation, self-efficacy, critical thinking, and self-regulation

Self-efficacy with motivation, critical thinking, and self-regulation

All of the above variables play an essential role in the academic environment. Self-efficacy is related to motivation (Bong & Clark, 1999; Pintrich & De Groot, 1990) and especially to intrinsic motivation (Bandura, 1997; Greene et al., 2004; Walker et al., 2006). Moreover, when someone has high self-efficacy and high motivation, there is better performance (McGeown et al., 2012). Conversely, there is poorer performance when there is low self-efficacy (Wolters et al., 2014). Self-efficacy is arguably one of the most significant predictors of performance. It not only influences the level of effort and persistence an individual invests in challenges but also significantly affects their motivation and approach to overcoming obstacles and attaining success (e.g., Liem et al., 2008; Pajares, 2003).

Research on the relationship between self-efficacy and critical thinking is still in infancy. Recent efforts have been made to explore and facilitate the establishment between these two concepts. Critical thinking is also related to self-efficacy. Specifically, self-efficacy may influence critical thinking because people with high levels of self-efficacy tend to be more diligent in their learning and less inferior in any situation (Ng et al., 2016). Phan (2007) found that academic self-efficacy positively influenced comprehension and reflection but not critical thinking (Leung & Kember, 2003). Students with high self-efficacy are more likely to engage in learning that challenges their assumptions, beliefs, and perceptions.

In studies related to self-regulation, only Panadero and colleagues (Panadero et al., 2012, 2013) appear to have examined the effects of rubric, script, and exemplar feedback on performance, self-efficacy, and self-regulation. Their findings indicated that feedback did not significantly affect self-regulation, and only process-oriented feedback led to increased self-efficacy. Some research has examined the relationship between students' views of assessment and self-regulation. Students who view assessment as a tool for improvement tend to exhibit adaptive self-regulatory behaviors, such as higher achievement, more effort on tests, and better attendance on voluntary test days. In contrast, those who view assessment as something to be ignored often display maladaptive behaviors. Feedback related to assess performance enhances academic self-efficacy and self-regulatory processes, which in turn affect future learning and achievement (Brown, 2011). In addition, higher academic self-efficacy is positively associated with effective self-regulated learning (Richardson et al., 2012). Academic self-efficacy and self-regulated learning are related to beliefs about competence and control (Schunk & Zimmerman, 2006), contributing to higher achievement. Furthermore, students with high self-efficacy in reading and writing are more likely to use deep or strategic study approaches. In contrast, those with low self-efficacy tend to use surface approaches. Notably, changes in student study methods are related to their self-efficacy beliefs. Students with lower self-efficacy show a decrease in deep study approaches and an increase in surface approaches over time.

Critical thinking and motivation

Engaging in a task for intrinsic motivations such as interest, mastery, or challenge is associated with “deeper” information processing (Cavallo et al., 2003; Matt & Dale, 2002). In contrast, engagement for extrinsic reasons, such as demonstrating one’s ability, earning good grades, or outperforming others, is associated with more superficial processing (e.g., Chow & Yong, 2013; Niemiec & Ryan, 2009; Ryan & Deci, 2000a). Research has highlighted the vital role of motivation in students' cognitive engagement. Critical thinking represents higher-order cognitive engagement. It can be reasonably deduced that students who utilize deep learning strategies will exhibit a higher degree of critical thinking than those who rely on surface-level strategies. Critical thinking is shaped by student motivation, learning strategies, and classroom dynamics (Ames & Archer, 1988; Nolen, 1988). Students who work together in small peer groups tend to show greater cognitive engagement.

In addition, motivation and the authenticity of the problems posed are critical to fostering critical thinking. Motivated students are more diligent in their search for the correct solution, which increases their focus and enables them to filter out irrelevant information and focus only on what is necessary. When faced with an authentic problem that requires innovative solutions, students are driven to work beyond the classroom, engaging in hypothesis generation, analysis, synthesis, evaluation, and real-time presentation of their findings. However, critical thinking skills are low in learning environments (Din, 2020).

Self-regulation with motivation and critical thinking

The implementation of self-regulation strategies has been demonstrated to be a significant predictor of academic performance, as well as a contributing factor in the evaluation of proactive learning efforts by educators (Zimmerman & Martinez-Pons, 1988). The variables that comprise academic performance include internal locus of control, intrinsic motivation, and perceived self-efficacy. The self-regulation variable demonstrates a robust correlation with motivation, indicating that elevated levels of self-regulation are associated with heightened motivation (Zimmerman, 2008). This also supports the idea that self-regulation moderates the relationship between achievement and motivation (Zimmerman, 2008). The scores related to learning outcomes and performance strongly correlate with all aspects of self-regulation and motivation except for external regulation. This suggests that students are not driven to learn by external pressures or to satisfy essential adults, such as parents or teachers (Daniela, 2015). Daniela (2015) also highlighted students' recognition of their responsibility for personal development. Greater self-confidence fosters internal motivation, enabling students to regulate their internal processes, validate their results against appropriate standards, and exceed their academic performance. Consequently, academic performance improves when individuals know their goals, regulate and control their impulses, follow the rules, prefer careful planning, and demonstrate perseverance to succeed.

Consequently, when students align with internal values, follow their satisfaction standards, and view learning as necessary, they achieve higher academic success. Positive beliefs about the academic institution, the performance of activities, and the pursuit of goals are associated with high academic achievement. Furthermore, confidence in their ability to mobilize cognitive resources and motivation necessary for task completion is strongly correlated with high academic achievement (Daniela, 2015). Self-regulated learning competence significantly impacts students' academic performance, making it one of the most important transferable skills that schools should prioritize in their curriculum. Firstly, it enhances motivation and facilitates student autonomy in the learning process. Secondly, it indirectly encourages positive behavioral changes and improves overall academic performance (Daniela, 2015).

Additionally, there is a dynamic interaction between self-regulatory skills and the capacity for critical thinking (Phan, 2010). In a 2010 study, Phan posited that critical thinking, as a cognitive practice, serves to bolster self-regulation in the context of learning and teaching. Moreover, he posited that the complex interplay between these elements facilitates individual growth and development. Zimmerman (1990) argued that skills related to evaluation and reflective thinking are vital components of self-regulation. According to Zimmerman (1990), self-regulated students actively engage in their learning process through motivational, behavioral, and metacognitive efforts. These students demonstrate persistence, dedication in their studies, and high self-efficacy and intrinsic interest levels. In their metacognitive processes, self-regulated learners engage in goal setting, progress monitoring, and learning evaluation. Such an approach enables learners to develop self-awareness and to make informed decisions regarding their learning methodology (Zimmerman, 1990). The capacity for self-awareness and self-evaluation are inextricably linked to individuals' abilities to reason and reflect, which in turn constitute aspects of their critical thinking abilities. Critical thinking represents an advanced form of reflective thinking, entailing a more profound understanding of the underlying factors that shape our perceptions and influence our emotions and actions (Phan, 2008). Self-efficacy is a critical determinant of the utilization of deep processing strategies (Fenollar et al., 2007), and is associated with achievement goals, deep processing strategies, critical thinking (Phan, 2007), and academic performance (Pajares, 1996). Furthermore, evidence indicates that self-efficacy plays a significant role in influencing academic performance.

The motivation exhibited by students is generally correlated with their utilization of specific self-regulatory processes (Schunk & Zimmerman, 2007). For instance, Schmitz and Wiese (2006) reported significant gains from self-regulated across various motivational measures, including intrinsic motivation for studying, self-efficacy, effort, attention, self-motivation, managing distractions, and reducing procrastination. Motivational orientation (Deci, 1971) and self-efficacy beliefs (Bandura, 1997) have been recognized as individual difference factors linked to students’ study approaches (Entwistle et al., 2000), academic performance (Bong, 2001; Lane et al., 2004; Richardson et al., 2012), and self-regulated learning (Daniela, 2015; Meece & Painter, 2012; Pintrich & De Groot, 1990; Schunk & Zimmerman, 1997). Recent research in the field of education has focused on four vital theoretical frameworks: (1) achievement goals, (2) self-efficacy, (3) critical thinking, and (4) study processing strategies. These motivational factors have been identified as a significant predictor and mediator of academic achievement outcomes (Bandura, 1997; Elliot et al., 1999).

Aim and research hypotheses

A review of existing literature reveals a correlation between self-efficacy and motivation. This relationship is particularly evident in the context of intrinsic motivation (Bandura, 1997; Greene et al., 2004; Walker et al., 2006). Therefore, extrinsic and intrinsic motivation is anticipated to predict students' self-efficacy. Moreover, self-efficacy may impact critical thinking, as individuals with high self-efficacy tend to be more dedicated to their learning and experience fewer feelings of inadequacy in various situations (e.g., Ng et al., 2016). It is, therefore, hypothesized that self-efficacy will predict critical thinking. Phan (2010) proposed that critical thinking, as a cognitive process, enhances self-regulation in both teaching and learning contexts.

Moreover, self-efficacy is pivotal in utilizing deep processing strategies (Fenollar et al., 2007) and is linked to achievement goals, deep processing strategies, and critical thinking (Phan, 2007). Students with high self-efficacy are likelier to engage in learning experiences that challenge their assumptions, beliefs, and perceptions. Furthermore, a positive correlation has been identified between higher academic self-efficacy and more effective self-regulated learning (Richardson et al., 2012). This leads to the expectation that self-efficacy will predict self-regulation. A substantial body of empirical evidence and numerous meta-analytic studies have demonstrated the motivational impact of perceived self-efficacy and its capacity to predict outcomes across a range of domains, including academic contexts (Bandura & Locke, 2003; Stajkovic & Luthans, 1998). Students motivated to learn are more diligent in seeking the correct solution, enhancing their focus and ability to filter out irrelevant information, thus concentrating on what is essential. When confronted with authentic challenges that demand innovative solutions, these students are compelled to extend their efforts beyond the classroom, engaging in activities such as formulating hypotheses, analyzing data, synthesizing information, evaluating outcomes, and presenting their findings in real-time. Self-regulated learning entails students employing metacognitive techniques to plan, monitor, and adjust their cognitive processes (e.g., Corno, 1986; Zimmerman & Pons, 1988). A crucial element of self-regulated learning is students' capacity to regulate and direct their efforts on academic tasks. This entails comprehending the task requirements, assessing one’s abilities, and employing effective strategies to accomplish the task. It is therefore anticipated that critical thinking, self-efficacy, and self-regulation will be significant predictors of academic achievement.

Considering all these factors, the present study aims to identify the relationships between extrinsic and intrinsic motivation, self-efficacy, self-regulation, critical thinking, and achievement. The complex relationships were presented in a framework that could be modeled using path analysis. Based on the preceding discussion, three interrelated hypotheses were proposed:

  • - Intrinsic and extrinsic motivation would positively predict self-efficacy (Hypothesis 1)

  • - Self-efficacy would serve as a predictor of critical thinking (Hypothesis 2)

  • - Critical thinking and self-efficacy would positively predict self-regulation (Hypothesis 3)

  • - Critical thinking, and self-regulation would positively predict achievement (Hypothesis 4)

Hypotheses are grounded in established theory, considering the relevant literature and the specific context of the current study. The proposed design and hypotheses offer a fresh perspective on academic achievement, and the anticipated findings are expected to further contribute to the theoretical foundations of the field.

Method

Participants

The current study’s participants were 250 undergraduate students enrolled in Education and Psychology study programs at Greek universities, specifically at the Aristotle University of Thessaloniki, the University of Western Macedonia in Florina, and the University of Macedonia in Thessaloniki. Since these two departments are in the social sciences, they were chosen because students are taught similar courses. The sample comprised 36 males (14.4%) and 214 females (85.6%). Their age varied from 18 to 57 years, with a mean of 24.97 years (SD = 10.73). Regarding their academic year, 62 (24.8%) students were in their first year, 77 (30.8%) students were in their second year, 66 (26.4%) students were in their third year, and 45 (18%) students were in their fourth year and more. Academic performance in Greek universities is assessed from 1 to 10, where 5 is a grade when you pass the exam. The academic performance of our sample varied from 5.70 to 9.80, with an average grade of 8.04 (SD = .84).

Measures

Motivated Strategies for Learning Questionnaire (MSLQ)

The Motivated Strategies for Learning Questionnaire (MSLQ) by Pintrich (1991) is a self-report instrument designed to assess college students' motivational orientations and their utilization of diverse learning strategies in the context of a college course. The questionnaire consists of 33 items, and participants respond on a 7-point Likert scale ranging from 1 (absolutely disagree) to 7 (absolutely agree). Precisely, it consists of 4 items referring to intrinsic goal orientations (e.g., In a class like this, I prefer course material that arouses my curiosity, even if it is challenging to learn.), 4 items referring to extrinsic goal orientations (e.g., Getting a good grade in this class is the most satisfying thing for me right now.), 8 items referring to self-efficacy (e.g. I believe I will receive an excellent grade in this class.), 5 items referring to critical thinking (e.g., I often find myself questioning things I hear or read in this course to decide if I find them convincing.) and 12 referring to self-regulation (e.g., When reading for this course, I make up questions to help focus my reading.). This instrument has already been translated in Greek (Andreou & Metallidou, 2004). The MSLQ was used as it has been translated into numerous languages and is utilized by researchers and educators globally (Duncan & McKeachie, 2005). The MSLQ is a valuable and reliable tool that can be adapted for various purposes for researchers, educators, and learners.

Extrinsic and intrinsic motivation

The questionnaire used by Pintrich (1991) measured extrinsic and intrinsic motivation. The exploratory factor analysis in the current study revealed a two-factor solution. However, one item from extrinsic motivation was removed as its loading was <.42. This model structure was assessed using confirmatory factor analysis, and the fit to the data was found to be good (χ2(13) = 23.059, p < .05, CFI = .975, GFI = .998, SRMR = .037, CI90% [0.011-0.092], RMSEA = .056). The reliability of the subscales was satisfactory: intrinsic motivation α = .74 and extrinsic motivation α = .64.

Self-efficacy

The exploratory factor analysis in the current study revealed a one-factor solution. This model structure was assessed using confirmatory factor analysis, and the fit to the data was found to be satisfactory (χ2(20) = 186.144, p < .001, CFI = .883, GFI = .974, SRMR = .054, CI90% [0.159-0.207], RMSEA = .182). The reliability of the subscale of self-efficacy was high, α = .92.

Critical thinking

The exploratory factor analysis in the current study revealed a one-factor solution. This model structure was assessed using confirmatory factor analysis, and the fit to the data was found to be good (χ2(5) = 44.156, p < .001, CFI = .936, GFI = .988, SRMR = .046, CI90% [0.131-0.227], RMSEA = .177). The reliability of the subscale of critical thinking was good, α = .86.

Self-regulation

The exploratory factor analysis in the current study revealed a one-factor solution. This model structure was assessed using confirmatory factor analysis, and the fit to the data was found to be good (χ2(27) = 62.216, p < .001, CFI = .954, GFI = .993, SRMR = .039, CI90% [0.049-0.096], RMSEA = .072). The reliability of the subscale of self-regulation was good α = .86.

Achievement

In addition, a question was added asking students to provide the mean grade achieved in all previously completed courses. If the exact grade is not known, an approximation may be provided, such as 7.5. This score was included as an achievement in the statistical analysis.

Procedure

The recruitment process entailed the transmission of secure email invitations via Google Forms and distributing questionnaires in person at the participating universities. Before completing the primary self-report questionnaires, students had to consent and furnish demographic data. In order to ensure the protection of anonymity and compliance with the standards of confidentiality of the respondents, rigorous measures were implemented throughout the data collection process. All participants were adults who consented to participate in the study and to the publication of the findings. This procedure was conducted after obtaining approval from the Research Ethics Committee and in strict adherence to the ethical guidelines set forth by the American Psychological Association (APA) and the European Union’s General Data Protection Regulation (GDPR) regarding the management of sensitive personal data. Participants were recruited with care, and data collection was conducted over four months, from March to June 2024, strictly adhering to ethical standards and regulatory requirements.

Data analyses

Preliminary analyses were conducted using IBM SPSS (Version 26) to explore the relationships between motivation, self-efficacy, self-regulation, critical thinking, and academic achievement. These analyses also aimed to determine the suitability of parametric tests. The procedures included descriptive statistics and intercorrelation analyses, examining means, standard deviations, skewness, kurtosis, and correlations.

Path analysis was employed using JASP (https://jasp-stats.org/) to develop a model that explains the relationships between motivation, self-efficacy, self-regulation, critical thinking, and academic achievement. To evaluate the strength of the connections between variables, we computed standardized path coefficients (β), standard error (SE), and two-tailed p-values (considered significant at <.05). Additionally, to determine if the data aligned with our proposed model, we calculated several fit criteria, including the Chi-square test of model fit divided by degrees of freedom (χ2/df ) < 5, and additional fit indices such as the comparative fit index (CFI), goodness of fit index (GFI), Tucker–Lewis index (TLI), root-mean-square error approximation (RMSEA), and standardized root mean square residual (SRMR).

Path analysis was applied to create a model explaining the relationships between motivation, self-efficacy, critical thinking and self-regulation academic performance via JASP. To assess the strength of the paths between two variables, we calculated the standardized (β) path coefficients, the standard error (SE), and two-tailed p values (significant at <.05). In addition, to investigate whether the data fit our hypothetical model, we calculated several criteria, including values of the Chi-square test of model fit divided by degrees of freedom (χ2/df ) < 5 and supplement fit indices such as comparative fit index (CFI), goodness of fit index (GFI), Tucker–Lewis index (TLI), the root-mean-square error approximation (RMSEA), and standardized root mean square residual (SRMR). Path analysis is an appropriate methodological choice because it allows for the simultaneous analysis of multiple predictors, supporting its widespread use in motivational research and educational psychology (e.g., Zeynali et al., 2019; Kulakow, 2020). The data are available at OSF repository (Stavropoulou et al., 2025).

Results

Statistical analyses

To initiate the analysis, descriptive statistics were utilized to provide a comprehensive overview of the principal measures for each variable. These statistics facilitate the comprehension of the dataset, providing insights that establish a foundational understanding. The results of this preliminary analyses are presented in Table 1, which provides detailed information on specific measures, including the mean, standard deviation, minimum, and maximum values for each variable. This table provides a valuable point of reference for interpreting the subsequent analysis.

Table 1. Descriptive measures for intrinsic motivation, extrinsic motivation, self-efficacy, critical thinking, self-regulation and achievement.

Descriptive statistics
Intrinsic motivation Extrinsic motivation Self efficacyCritical thinkingSelf regulation Achievement
Valid250250250250250249
Missing000001
Mean5.4914.6934.9604.4024.9548.044
Std. Deviation1.0061.2671.0921.3040.9980.840
Skewness-0.676-0.419-0.213-0.312-0.252-0.338
Std. Error of Skewness0.1540.1540.1540.1540.1540.154
Kurtosis0.353-0.0550.179-0.166-0.193-0.746
Std. Error of Kurtosis0.3070.3070.3070.3070.3070.307
Minimum2.0001.0001.1251.0001.9005.700
Maximum7.0007.0007.0007.0007.0009.800

Path analysis was used to explore the relationships among the variables under investigation. Table 2 shows the correlation matrix of the latent variables, and Table 3 presents the regression coefficients of the path model. The correlations among the variables under investigation were low, medium, and firm positive.

Table 2. Correlations between intrinsic motivation, extrinsic motivation, self-efficacy, critical thinking, self-regulation, and achievement.

VariableIntrinsic motivationExtrinsic motivationSelf-efficacy Critical thinkingSelf regulationAchievement
Intrinsic motivation
Extrinsic motivation 0.164*
Self-efficacy 0.565***0.194**
Critical thinking 0.534***0.0350.512***
Self-regulation 0.561***0.144*0.588***0.540***
Achievement 0.365***0.0760.427***0.374***0.400***

* p < .05.

** p < .01.

*** p < .001.

Table 3. Regression coefficients among the variables under investigation.

PredictorOutcomeEstimateStd. Errorz-value pLowerUpper
Self-efficacy Critical thinking0.3700.0745.010<.0010.2250.514
Intrinsic motivationCritical thinking0.4660.0805.814<.0010.3090.622
Self-efficacy 0.5940.05710.426<.0010.4820.706
Extrinsic motivationSelf-efficacy 0.0900.0451.9940.0460.0020.179
Critical ThinkingSelf-regulation 0.1850.0444.196<.0010.0990.271
Self-efficacy Self-regulation 0.2950.0545.475<.0010.1900.401
Intrinsic motivationSelf-regulation 0.2480.0594.162<.0010.1310.364
Critical thinkingAchievement0.1430.0443.297<.0010.0580.229
Self-regulation Achievement0.2350.0574.126<.0010.1230.346

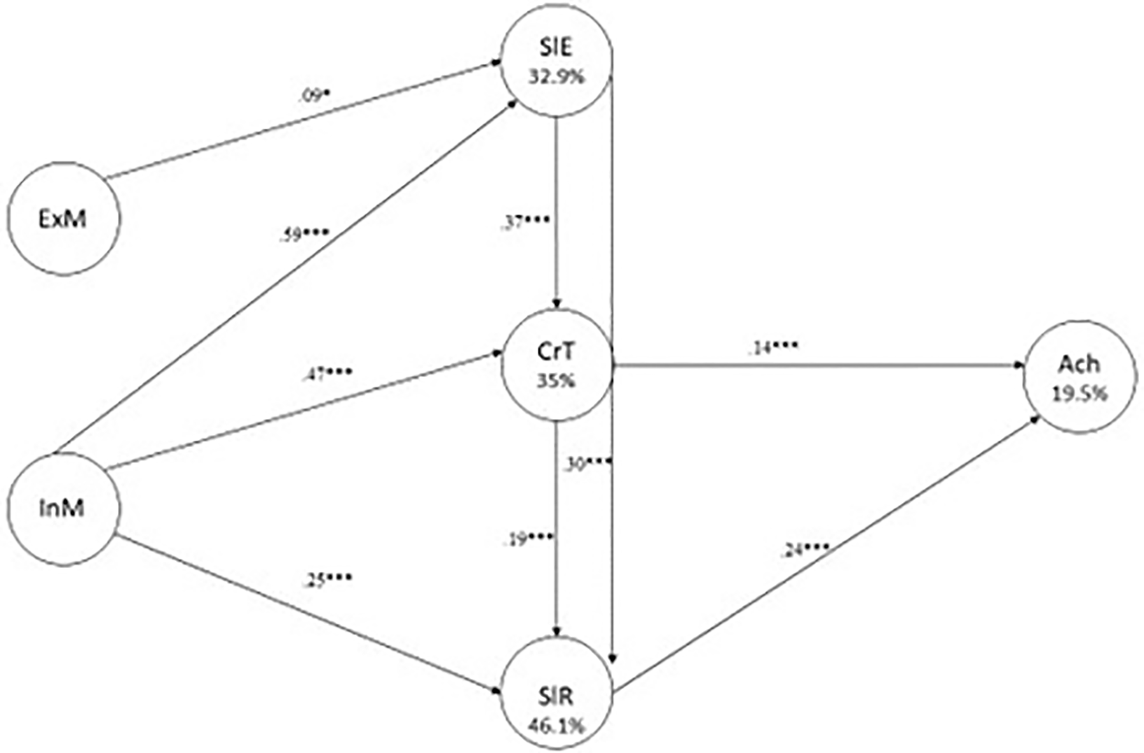
Figure 1 shows the path model that includes direct and indirect effects, with self-efficacy, critical thinking and self-regulation acting as mediators. The model has good fit measure indices: χ2 = 16.339, df = 5, p < .01; CFI = 0.998; TLI = 0.973; RMSEA = 0.095; 90% CI of RMSEA = [0.046; 0.149]; SRMR = 0.037; NNFI = 0.924; GFI = 0.999].

5b64b1a8-f9a6-46b5-b7f2-d1255f8a87e1_figure1.gif

Figure 1. The path model describing the effects of academic factors in academic achievement.

Figure 1 illustrates the path model that elucidates the impact of extrinsic and intrinsic motivation, self-efficacy, critical thinking, and self-regulation on academic achievement. The R2 values for the dependent variable indicate that the most significant predictors are SlE (32.9%), CrT (35%), and SlR (46.1%).

As illustrated in Figure 1, the interrelationships between the variables and their respective effects are evident. The prediction of academic achievement is directly attributable to critical thinking (b = .14, p < .001), and self-regulation (b = .24, p < .001). Self-efficacy is directly predicted by extrinsic motivation (b = .09, p < .05) and intrinsic motivation (b = .59, p < .001). The influence of intrinsic motivation (b = .25, p < .01) and self-efficacy (b = .37, p <.001) on critical thinking is direct. In conclusion, self-regulation is directly influenced by intrinsic motivation (b = .25, p < .01), critical thinking (b = .19, p < .001), and self-efficacy (b = .30, p < .001).

Discussion

The present study employed path analysis to investigate the complex relationships between extrinsic motivation, intrinsic motivation, self-efficacy, critical thinking, self-regulation, and academic achievement. By analyzing both intrinsic (internal desire to learn) and extrinsic (external rewards or pressures) motivation, as well as self-efficacy (belief in one’s ability to succeed), the study explored how these motivational constructs impact critical thinking and self-regulation—key cognitive processes that contribute to academic success. The findings provide important information into how these interconnected factors shape overall academic achievement, offering a comprehensive understanding of their roles within the educational context. The results offer significant insights into the interactions and contributions of these variables to our comprehension of the factors influencing academic achievement.

The correlations among the latent variables exhibited varying strengths of association. Self-regulation exhibited a strong correlation with critical-thinking and self-efficacy. These findings are consistent with existing literature (e.g., Richardson et al., 2012), indicating that students with higher levels of self-regulation tend to engage in more critical thinking and have greater confidence in their abilities (self-efficacy). Similarly, intrinsic motivation demonstrated strong correlations with self-efficacy and critical thinking, indicating that individuals with intrinsic motivation tend to exhibit higher self-belief and a proclivity for critical thinking. This finding is also consistent with the existing literature on the association between motivational variables and self-efficacy. For example, Bong and Clark (1999), Greene et al. (2004), Pintrich and De Groot (1990), Author et al. (2023), and Walker et al. (2006) have all demonstrated this relationship. Furthermore, critical thinking is associated with motivation, as evidenced by the findings of Ames and Archer (1988) and Nolen (1988).

In contrast, the correlation between extrinsic motivation and the other variables was relatively weak. For instance, the correlation between extrinsic motivation and self-regulation was relatively low, indicating that external rewards or pressures may not significantly contribute to self-regulatory behaviors compared to intrinsic factors. The weaker relationship with other constructs, such as critical thinking and academic achievement, further supports the notion that extrinsic motivation plays a less central role in fostering higher-order thinking skills and academic success than intrinsic motivation and self-efficacy. These findings align with prior research indicating that students who adopt extrinsic motivation tend to exert less effort, given their limited knowledge (Matt & Dale, 2002). Consequently, the learning outcomes are often immediate (Ryan & Deci, 2000b).

The path analysis provides a more nuanced understanding of the relationships among these variables. Self-efficacy emerged as a critical predictor across multiple pathways. Not only did it significantly influence self-regulation, but it was also a strong predictor of critical thinking. These findings suggest that self-efficacy serves as a central mechanism by which constructs such as motivation and thinking skills translate into academic success and are in line with the literature (e.g., Richardson et al., 2012; Liem et al., 2008; McGeown et al., 2012; Ng et al., 2016; Author et al., 2023, 2024; Wolters et al., 2014).

About motivation, intrinsic motivation was found to have a notable effect on self-regulation and critical thinking. This suggests that students motivated by internal satisfaction or curiosity tend to engage in self-directed learning and higher-order thinking. These findings align with those of previous studies (Chow & Yong, 2013; Cavallo et al., 2003; Matt & Dale, 2002). In contrast, extrinsic motivation had a comparatively weaker yet still significant effect on self-efficacy, indicating that while external rewards can enhance confidence to a certain extent, their impact is less pronounced than intrinsic motivators. This finding is consistent with previous research indicating that extrinsic motivators have limited efficacy in promoting deep, meaningful learning (Matt & Dale, 2002; Ryan & Deci, 2000b). Specifically, extrinsic motivation in education often lead to shallow, short-term learning focused on achieving specific goals like grades, rather than mastering the material. This reliance on external rewards can undermine intrinsic motivation and reduce students' interest in learning for personal growth. It also limits the transfer of knowledge to new contexts, fosters a fear of failure, and discourages creativity. Engagement is often temporary, lasting only as long as the reward or threat persists. Additionally, extrinsic rewards can create competitive environments, hindering collaboration and deeper learning (Chow & Yong, 2013; Matt & Dale, 2002; Niemiec & Ryan, 2009; Ryan & Deci, 2000a).

Predictors of academic achievement

The path model illustrates that academic achievement is directly predicted by critical thinking and self-regulation. The findings indicate that self-regulation is the most influential predictor. Self-regulation is the most influential predictor suggesting that a learner’s ability to manage their own thoughts, emotions, and behaviors plays a critical role in their success. Self-regulation includes skills such as goal setting, time management, self-monitoring, and adapting strategies to overcome obstacles that are critical to effective learning (Meece & Painter, 2012; Pintrich, 2004). This highlights the significance of self-regulatory behaviors in academic contexts, such as goal-setting, time management, and self-monitoring. Additionally, critical thinking and self-efficacy were identified as significant contributors. These findings lend support to the notion that students who are adept at critical thinking and who exhibit a strong sense of self-efficacy are more likely to be successful in their academic pursuits. Students who excel at critical thinking can analyze information, evaluate multiple perspectives, and solve complex problems. This ability helps them engage deeply with academic material, leading to better understanding and retention. They are more likely to think independently, ask meaningful questions, and approach assignments strategically, which improves their academic performance (Greene & Yu, 2016; Halpern, 2013). A robust sense of self-efficacy—defined as the conviction in one’s capacity to achieve success—motivates students to establish ambitious objectives and demonstrate resilience in the presence of adversity. Students who believe in their abilities are more likely to approach difficult tasks with confidence, exert the necessary effort, and persevere when faced with challenges, which directly contributes to academic success (Liem et al., 2008; Pajares, 1996). Together, critical thinking and self-efficacy create a mindset in which students are not only equipped to handle academic demands, but also motivated to push beyond their comfort zones, fostering deeper learning and long-term achievement. Nevertheless, the comparatively weaker impact of critical thinking compared to self-regulation indicates that, although indispensable, higher-order thinking skills may necessitate additional supporting factors, such as self-regulation, to translate into academic performance fully.

In conclusion, the path model identifies self-regulationand critical thinking as critical predictors of academic achievement, while self-efficacy serves as a central mediator. Although intrinsic motivation plays a significant role in these constructs, extrinsic motivation has a comparatively more minor effect. The findings underscore the necessity for educational strategies that foster self-regulation and self-efficacy, as these constructs emerge as pivotal in propelling academic success.

Limitations

In addition to presenting findings, the current study also identifies some limitations. One limitation of the study is the use of digital questionnaires, which resulted in a convenience sample that is likely to consist of highly motivated students with strong academic performance. This may further restrict the applicability of the results to a more diverse student population. The focus on a single cultural context and the selection of participants from Educational and Psychological departments may limit the generalizability of the findings to other educational settings. Furthermore, the use of self-reported data may be susceptible to biases, such as social desirability or inaccurate self-assessment. Another limitation of the present research is that cross-sectional data do not define causal relationships. Cross-sectional studies collect data at a single point in time, providing a “snapshot” of a population or set of variables. While this type of data is useful for identifying correlations and associations between variables, it cannot determine cause-and-effect relationships.

Suggestions for future research

Future research could benefit from several avenues to deepen our understanding of the relationships between motivation, self-efficacy, self-regulation, critical thinking, and academic achievement. Longitudinal studies are needed to track how changes in intrinsic and extrinsic motivation over time impact self-efficacy and academic success, providing insights into the long-term effects of motivational strategies. Additionally, intervention studies could focus on implementing and evaluating specific educational strategies designed to enhance these factors, assessing their effectiveness in natural classroom settings. Context-specific research is also valuable, as it can explore how cultural, socio-economic, and educational contexts influence these relationships, offering a more nuanced understanding of how different environments impact student outcomes.

Further research could explore the role of technology in supporting self-efficacy, critical thinking, and self-regulation, such as examining the impact of digital tools and gamified learning environments. Studies could also investigate how professional development programs for educators affect their ability to foster these skills in students. Additionally, exploring individual differences, such as personality traits and learning styles, and their influence on these constructs could provide insights into personalized learning approaches. Cross-disciplinary research may reveal how subject-specific strategies impact these outcomes, while mixed methods research could offer a comprehensive view by combining quantitative and qualitative data. Finally, examining the role of peer and social influences and developing improved assessment tools could further enhance our understanding and effectiveness of educational interventions.

Theoretical and practical implications

The theoretical implications of our study extend our understanding of the interconnectedness between motivation, self-efficacy, critical thinking, and self-regulation, particularly in the context of academic achievement. Our findings support and expand existing theories that link self-efficacy with intrinsic and extrinsic motivation, demonstrating how these motivational factors serve as significant predictors of self-efficacy. This reinforces Bandura’s (1997) social cognitive theory, which posits that self-efficacy influences an individual’s cognitive processes and behaviors, including their motivation to engage in tasks. The study also adds to the body of literature that positions self-efficacy as a critical determinant of critical thinking, a fundamental cognitive process, thereby suggesting that self-efficacy not only affects how students feel about their capabilities but also how they engage in higher-order thinking skills.

Furthermore, the research highlights the role of critical thinking and self-efficacy in predicting self-regulation, thereby integrating and extending theories related to self-regulated learning. The findings suggest that self-efficacy, through its impact on critical thinking, plays a foundational role in how students plan, monitor, and adjust their learning strategies, aligning with Zimmerman’s (2000) model of self-regulated learning, Liem et al. (2008) and Senko and Dawson (2017). Additionally, by showing that critical thinking, self-efficacy, and self-regulation collectively predict academic achievement, the study provides empirical support for theories that advocate for a holistic approach to understanding student success. These implications suggest that educational theories must consider the dynamic and reciprocal relationships between motivation, cognitive processes, and self-regulation to fully capture the complexities of academic achievement.

Our study’s results also highlight several practical implications for improving educational outcomes. First, enhancing both intrinsic and extrinsic motivation can significantly increase students' self-efficacy, suggesting that educational programs should focus on creating engaging learning experiences and providing meaningful rewards. For example, educators can introduce game-like elements or real-world applications to make learning more stimulating and relevant. To further build self-efficacy and critical thinking skills, educators should incorporate challenging activities and opportunities for students to succeed and build confidence. This could include problem-based learning projects or collaborative tasks that require students to apply their knowledge in innovative ways.

In addition, fostering critical thinking and self-efficacy is critical to promoting effective self-regulation. Therefore, educators should design assignments that encourage students to plan, monitor, and evaluate their own progress. Tools such as self-assessment checklists, reflective journals, and peer feedback sessions can help students develop these skills. Finally, integrating strategies that cultivate critical thinking, self-efficacy, and self-regulation into the curriculum can improve academic performance. This may involve developing a holistic curriculum that includes activities across subject areas that challenge students' cognitive skills and provide opportunities for self-regulated learning. A comprehensive educational approach that addresses these components can significantly help students succeed academically by supporting their motivation, confidence, and ability to manage their own learning processes effectively.

Ethics and consent

Study-Specific Approval by the appropriate ethics committee for research involving humans: The research project was approved by the Ethics Committee of the Institute of Educational Policy of Greece (Research Section). The license number is 34/31-1-2024. The current research adheres to the Declaration of Helsinki. The date of ethical approval is 31-1-2024.

Informed consent for research involving human participants: Students completed informed consent forms for their participation in the study. The license number is 34/31-1-2024. Those who took part in this research had signed a consent form which informed them of the purpose of the research, the benefits and how it would be carried out.

Authorship contribution statement

Stavropoulou, G.: Conceptualization, design, data collection, data analyses, writing, supervision

Daniilidou, A.: Data collection, writing, editing

Nerantzaki, K.: Data collection, writing, editing

We believe that your article type is a <include new article type>. We have gone ahead and changed your article type on your submission.

Comments on this article Comments (0)

Version 2
VERSION 2 PUBLISHED 28 Mar 2025
Comment
Author details Author details
Competing interests
Grant information
Copyright
Download
 
Export To
metrics
Views Downloads
F1000Research - -
PubMed Central
Data from PMC are received and updated monthly.
- -
Citations
CITE
how to cite this article
Stavropoulou G, Daniilidou A and Nerantzaki K. Exploring the Interplay of Motivation, Self-Efficacy, Critical Thinking, and Self-Regulation in Predicting Academic Achievement Among University Students [version 1; peer review: 1 approved, 1 approved with reservations]. F1000Research 2025, 14:344 (https://doi.org/10.12688/f1000research.161821.1)
NOTE: If applicable, it is important to ensure the information in square brackets after the title is included in all citations of this article.
track
receive updates on this article
Track an article to receive email alerts on any updates to this article.

Open Peer Review

Current Reviewer Status: ?
Key to Reviewer Statuses VIEW
ApprovedThe paper is scientifically sound in its current form and only minor, if any, improvements are suggested
Approved with reservations A number of small changes, sometimes more significant revisions are required to address specific details and improve the papers academic merit.
Not approvedFundamental flaws in the paper seriously undermine the findings and conclusions
Version 1
VERSION 1
PUBLISHED 28 Mar 2025
Views
16
Cite
Reviewer Report 28 May 2025
GU Mingyue Michelle, The University of Hong Kong, Hong Kong, Hong Kong 
Lian Zhu, English Language Education, Education University of Hong Kong, Hongkong, Hong Kong 
Approved with Reservations
VIEWS 16
Journal: F1000 Research 
Title: Exploring the interplay of motivation, self-efficacy, critical thinking, and self-regulation in predicting academic achievement among university students 
 
This manuscript reports on a quantitative study on the relationship between university students’ motivation, self-efficacy, ... Continue reading
CITE
CITE
HOW TO CITE THIS REPORT
Michelle GM and Zhu L. Reviewer Report For: Exploring the Interplay of Motivation, Self-Efficacy, Critical Thinking, and Self-Regulation in Predicting Academic Achievement Among University Students [version 1; peer review: 1 approved, 1 approved with reservations]. F1000Research 2025, 14:344 (https://doi.org/10.5256/f1000research.177905.r379667)
NOTE: it is important to ensure the information in square brackets after the title is included in all citations of this article.
  • Author Response 11 Sep 2025
    Georgia Stavropoulou, Aristoteleio Panepistemio Thessalonikes Philosophike Schole, Thessaloniki, Greece
    11 Sep 2025
    Author Response
    Thank you for this insightful comment. In response, we have carefully revised the rationale in the Introduction section to make a clearer and more compelling case for the study.
    Specifically, ... Continue reading
COMMENTS ON THIS REPORT
  • Author Response 11 Sep 2025
    Georgia Stavropoulou, Aristoteleio Panepistemio Thessalonikes Philosophike Schole, Thessaloniki, Greece
    11 Sep 2025
    Author Response
    Thank you for this insightful comment. In response, we have carefully revised the rationale in the Introduction section to make a clearer and more compelling case for the study.
    Specifically, ... Continue reading
Views
15
Cite
Reviewer Report 30 Apr 2025
Tania Vieites, Complutense University of Madrid, Madrid, Spain 
Approved
VIEWS 15
Review Summary
This article presents a robust and well-structured investigation into how intrinsic and extrinsic motivation, self-efficacy, critical thinking, and self-regulation influence academic achievement among university students. Drawing on a sample of 250 undergraduate students in Greece and employing ... Continue reading
CITE
CITE
HOW TO CITE THIS REPORT
Vieites T. Reviewer Report For: Exploring the Interplay of Motivation, Self-Efficacy, Critical Thinking, and Self-Regulation in Predicting Academic Achievement Among University Students [version 1; peer review: 1 approved, 1 approved with reservations]. F1000Research 2025, 14:344 (https://doi.org/10.5256/f1000research.177905.r377235)
NOTE: it is important to ensure the information in square brackets after the title is included in all citations of this article.
  • Author Response 11 Sep 2025
    Georgia Stavropoulou, Aristoteleio Panepistemio Thessalonikes Philosophike Schole, Thessaloniki, Greece
    11 Sep 2025
    Author Response
    We sincerely thank the reviewer for the thorough and positive evaluation of our manuscript titled “Exploring the Interplay of Motivation, Self-Efficacy, Critical Thinking, and Self-Regulation in Predicting Academic Achievement Among ... Continue reading
COMMENTS ON THIS REPORT
  • Author Response 11 Sep 2025
    Georgia Stavropoulou, Aristoteleio Panepistemio Thessalonikes Philosophike Schole, Thessaloniki, Greece
    11 Sep 2025
    Author Response
    We sincerely thank the reviewer for the thorough and positive evaluation of our manuscript titled “Exploring the Interplay of Motivation, Self-Efficacy, Critical Thinking, and Self-Regulation in Predicting Academic Achievement Among ... Continue reading

Comments on this article Comments (0)

Version 2
VERSION 2 PUBLISHED 28 Mar 2025
Comment
Alongside their report, reviewers assign a status to the article:
Approved - the paper is scientifically sound in its current form and only minor, if any, improvements are suggested
Approved with reservations - A number of small changes, sometimes more significant revisions are required to address specific details and improve the papers academic merit.
Not approved - fundamental flaws in the paper seriously undermine the findings and conclusions
Sign In
If you've forgotten your password, please enter your email address below and we'll send you instructions on how to reset your password.

The email address should be the one you originally registered with F1000.

Email address not valid, please try again

You registered with F1000 via Google, so we cannot reset your password.

To sign in, please click here.

If you still need help with your Google account password, please click here.

You registered with F1000 via Facebook, so we cannot reset your password.

To sign in, please click here.

If you still need help with your Facebook account password, please click here.

Code not correct, please try again
Email us for further assistance.
Server error, please try again.