Keywords
antibiotic resistance, bacteria, machine learning, linguistics, protein function, multidrug resistance transporters, microbiome
This article is included in the Artificial Intelligence and Machine Learning gateway.
This article is included in the Machine learning: life sciences collection.
antibiotic resistance, bacteria, machine learning, linguistics, protein function, multidrug resistance transporters, microbiome
Gram-negative bacteria are a major cause of many human diseases and, due to the emergence of antibiotic resistance, new means to combat them are a pressing international health issue. Recently the Center for Disease Control and Prevention (CDC) highlighted this problem, by stating that, “… new antibiotics will always be needed to keep up with resistant bacteria…” (CDC, 2013). Antibiotic resistance is mediated by several distinct mechanisms including enzymatic conversion of antibiotics and transporters that eliminate antibiotics from inside cells (Blair et al., 2015). Transporter superfamilies can be easily identified by standard sequence similarity but specific functional information (e.g. substrate specificity) can be more problematic.
Protein function has traditionally been determined by costly and time-consuming experimental approaches. Tools to determine sequence similarity such as BLAST have enabled efficient annotation of novel proteins by transfer of function. Such methods have been very effective at delineating families of functionally similar proteins that have similar sequences. More flexible approaches using simple grammars like regular expressions and hidden Markov models have improved this process significantly (Bateman et al., 2000; Gough & Chothia, 2002). However, there remain many proteins that cannot be readily associated with known functions using these approaches, largely because they are unrelated by sequence. The field of linguistics is concerned with the structure of languages and studies morphology, syntax, and semantics. This task, which is grounded in mathematics, is directly analogous to the task of interpreting sequences of amino acids to predict function. To date, the application of linguistic-rooted approaches, such as generative grammars, to protein sequences and the use of rigorous and exhaustive approaches to optimize models has been extremely limited.
Generative grammars have a rich history in linguistic analysis with limited application to biological problems (Durbin et al., 1998). They can be classified in terms of the Chomsky hierarchy where grammars lower in the hierarchy (e.g., regular grammars) are simpler to understand, compute with, and parse; while grammars further up in the hierarchy are more complex but also have more descriptive power. Algorithms such as PROSITE (Hofmann et al., 1999) identify simple motifs in proteins using regular expressions, which are the simplest form of grammar (i.e. regular grammars). Hidden Markov models (HMM), a type of regular grammar, have also been applied to detect protein motifs and families. In addition to regular grammars, computational biologists have utilized stochastic context-free grammars for sequence modeling (Anderson et al., 2012; Dyrka et al., 2013). Such grammars are better at modeling palindromic sequences that are found in RNA structure. All three of these are limited, however, because they still require an underlying sequence alignment.
Generative grammars have a rich history in linguistic analysis with limited application to biological problems (Durbin et al., 1998). They can be classified in terms of the Chomsky hierarchy where grammars lower in the hierarchy (e.g., regular grammars) are simpler to understand, compute with, and parse; while grammars further up in the hierarchy are more complex but also have more descriptive power. Algorithms such as PROSITE (Hofmann et al., 1999) identify simple motifs in proteins using regular expressions, which are the simplest form of grammar (i.e. regular grammars). Hidden Markov models (HMM), a type of regular grammar, have also been applied to detect protein motifs and families. In addition to regular grammars, computational biologists have utilized stochastic context-free grammars for sequence modeling (Anderson et al., 2012; Dyrka et al., 2013). Such grammars are better at modeling palindromic sequences that are found in RNA structure. All three of these are limited, however, because they still require an underlying sequence alignment.
The regular expressions contained in the PROSITE database are identified using a manual process to first gather a set of examples of a functional class, perform a multiple sequence alignment on those examples, and finally generate a regular expression by looking at regions of the sequence that align and are generally functionally important, for example a phosphorylated residue or active site. A similar procedure is used to create hidden Markov models (HMMs) such as those found in the Pfam database, except that the process of determining a model is automated. Motif determination using these methods is practically limited to operation on families of related protein sequences that have been aligned and has been carried out manually for individual protein motifs (such as in the PROSITE database). Many proteins with the same function may not have significant sequence similarity to allow alignments to be easily or accurately performed. The dependence on multiple sequence alignments and manual construction of protein patterns limits the ability to provide insight into problematic protein motifs.
Previously we have described an effective approach to classification of problematic protein families such as bacterial type III secreted effectors that share little sequence similarity (McDermott et al., 2011; Samudrala et al., 2009). This method used a support vector machine to integrate different sequence-based features and did not use multiple sequence alignment; rather, because the secretion signal is located in the most N-terminal region of the proteins, it took advantage of this natural alignment of disparate sequences. For problematic protein families in which the discriminating motifs are located in different regions of the protein, methods are needed to be able to automatically identify motifs or features, even where the sequence background might be very noisy.
In this study we describe an application of the Proactive Intelligent Learning with Grammar (PILGram) method to protein sequences to develop patterns that can discriminate functional classes of proteins in an alignment-free manner. PILGram uses a genetic algorithm to automate feature selection and build regular expressions that discriminate between classes. We first show that PILGram is able to partially re-create PROSITE patterns for ser/thr phosphatase binding and for zinc fingers in an automated and alignment-free manner. We then apply PILGram to classify transporters involved in drug resistance from other transporter proteins and show that the resulting PILGram model performs better than existing HMM models at classifying proteins in this important functional class. Finally, we combine different PILGram models using a simple voting method to develop an effective classifier called MDRpred. The patterns identified by PILGram map to regions that are likely to be important for substrate specificity, highlighting regions that could be targeted for drug development. We show that PILGram can be a general tool for development of simple patterns for functional classification of protein sequences. As a demonstration we apply MDRpred to a metagenome from an environmental microbial community and highlight several high-confidence predictions of novel MDR transporter proteins.
To examine the ability of PILGram to identify patterns from unaligned protein sequences we used sets of sequences used to define regular expressions for protein motifs from the PROSITE database. In this way we could compare the output of PILGram with the established PROSITE patterns that had been generated from the aligned set of protein examples. Proteins matching each indicated PROSITE pattern (positive examples) were obtained from the PROSITE website (http://prosite.expasy.org) as the “prosite.dat” file. UniProt identifiers were extracted from the “DR” fields and the matching sequences, obtained from the UniProt database, were listed as true positives “T”. Of the sequences in the UniProt database that did not match the positive examples, approximately 6000 were chosen at random (specific numbers given for each example) to serve as negative examples.
To construct a training set for multidrug resistance transporters we obtained the protein sequences of 6097 transporter proteins from the Transporter Classification Database [TCDB; (Saier et al., 2014)] along with family classifications. This database was searched for “drug resistance” giving 71 drug resistance (DR) transporters (See MDR_TCDB_positives.fasta and MDR_TCDB_negatives.fasta datasets). We then searched the protein sequence descriptions from the UniProt database and found an additional 89 sequences annotated with “[drug] resistance” that were not included in the TCDB annotations. We used the TCDB-annotated DR transporters as our positive examples because most are accompanied by references. The ‘candidate’ list of positive examples annotated by UniProt was held out of the training set so as not to interfere with classification. The remaining 5935 sequences were used as negative examples since they are annotated as transporters but not as DR transporters in either database.
Genomic DNA was extracted from two unicyanobacterial consortia cultivated from a microbial mat inhabiting Hot Lake, WA (Lindemann et al., 2013) as previously described (Cole et al., 2014). Genome reconstructions were generated as reported by Nelson et al., (manuscript submitted). Briefly, paired-end reads were generated by the US Department of Energy (DOE) Joint Genome Institute (JGI; http://jgi.doe.gov) under CSP 701, quality trimmed using Trimmomatic (Bolger et al., 2014), and assembled using IDBA-UD (Peng et al., 2012) with a minimum contig size of 250 bp. Contigs longer than 2 Kb were binned using read coverage for each scaffold using Bowtie2 (Langmead & Salzberg, 2012) and samtools (Li et al., 2009). Gene models for the genome reconstructions were generated using Prodigal (Hyatt et al., 2010) and hand-curated in some instances. Additionally, axenic organisms isolated from the consortia were sequenced of 10 Kb libraries with PacBio and assembled by the JGI, also under CSP 701. The genomes of axenic organisms were shown to be identical to the corresponding genome reconstructions (Nelson et al., submitted), and replaced these reconstructions in the database, being more complete. For the axenic isolates, gene models were generated by IMG/ER (Markowitz et al., 2009).
Genomic DNA was extracted from two unicyanobacterial consortia cultivated from a microbial mat inhabiting Hot Lake, WA (Lindemann et al., 2013) as previously described (Cole et al., 2014). Genome reconstructions were generated as reported by Nelson et al., (manuscript submitted). Briefly, paired-end reads were generated by the US Department of Energy (DOE) Joint Genome Institute (JGI; http://jgi.doe.gov) under CSP 701, quality trimmed using Trimmomatic (Bolger et al., 2014), and assembled using IDBA-UD (Peng et al., 2012) with a minimum contig size of 250 bp. Contigs longer than 2 Kb were binned using read coverage for each scaffold using Bowtie2 (Langmead & Salzberg, 2012) and samtools (Li et al., 2009). Gene models for the genome reconstructions were generated using Prodigal (Hyatt et al., 2010) and hand-curated in some instances. Additionally, axenic organisms isolated from the consortia were sequenced of 10 Kb libraries with PacBio and assembled by the JGI, also under CSP 701. The genomes of axenic organisms were shown to be identical to the corresponding genome reconstructions (Nelson et al., submitted), and replaced these reconstructions in the database, being more complete. For the axenic isolates, gene models were generated by IMG/ER (Markowitz et al., 2009).
Physiochemical properties (PPs) were calculated using the Python propy module (Cao et al., 2013). Properties were calculated using the 147 Composition, Transition, Distribution (CTD) descriptors in propy. The PP-protein regular expressions (PRE) were represented as a combination of regular expression from the standard PRE with one of the PPs. Score for a match was given by the mean of all PP scores for each sequence region matching the PRE.
PILGram models were constructed using half the training data and performance was evaluated with the other half. PILGram optimization was based on accuracy:
where TP, TN, FP, and FN are true positive, true negative, false positive, and false negative predictions, respectively. For final evaluation of models we also calculated positive predictive value:
and area under the receiver operator characteristic (ROC) curve (AUC) (Salzberg, 1997).
Machine learning methods, like SIEVE, take features as input to build a model. Features are the smallest elements derived from the examples (protein sequences) that can be categories (e.g. amino acid type) or values (e.g. solvent accessibility values). While the selection of salient features is critical for classification, most algorithms require their manual specification. PILGram (Proactive Intelligent Learning with Grammar) is an approach to automate the feature selection process and allows for the selection of irredundant features. PILGram does this by combining a genetic algorithm and a generative grammar, which is a formalized set of rules for combining features into different patterns in the form of parse trees. PILGram generates a large number of such trees and then applies a genetic algorithm, which iteratively recombines these trees to determine an optimal model for classification of the positive and negative examples. In this way PILGram specifies an absorbing Markov chain on the space of features, and given sufficient time, will always converge to a collection of optimal non-redundant features. The mathematical foundations of and explicit algorithm for PILGram are currently pending review, but the algorithm is perhaps best understood by example.
Consider the following toy example: height, weight, and age data are gathered from a population and each person is labeled as obese or not. One might like to automate the determination of obesity using only height, weight, and age. It is known that the body mass index (BMI) is a good indicator of obesity and is given by (weight/(height × height)). In order to determine this quantity, PILGram might make use of the following grammar.
〈expr〉::=(〈expr〉〈op〉〈expr〉)〈attr〉
〈op〉::=+- × /
〈attr〉::=height weight age
In this grammar the ‘’ symbol is to be read as ‘or’ and ‘::=’ can be read as ‘replace by.’ So the second line tells us that ‘〈op〉’ can be replaced by ‘+’, ‘-‘, ‘×’, or ‘/’. The symbols to the left of ::= are called non-terminal symbols. This grammar can be used to generate features as follows.
1. Write down 〈expr〉.
2. Locate any non-terminal symbol in your expression.
3. Replace the chosen non-terminal according to the grammar.
1. If there is a non-terminal symbol in your expression, then return to step 2.
This process can be viewed as a parse tree. That is, at step 1 one writes 〈expr〉. Then every time a non-terminal symbol is replaced one writes the replacement below the non-terminal symbol and connects each symbol in the replacement with the initial symbol with a line. A vertical line is placed below each non-terminal symbol that is not replaced. The resulting expression is then read from left to right along the ‘leaves’ of the resulting tree. For instance, BMI might be produced from the procedure as follows:
〈expr〉→ (〈expr〉〈op〉〈expr〉) → (〈attr〉〈op〉〈expr〉) → (weight 〈op〉〈expr〉) → (weight/〈expr〉) → (weight/(〈expr〉〈op〉〈expr〉)) → (weight/(〈expr〉×〈expr〉)) → (weight/(〈attr〉×〈expr〉)) → (weight/(〈attr〉×〈attr〉)) → (weight/(height ×〈attr〉)) → (weight/(height × height)).
This is more succinctly expressed by the parse tree:

While one might get lucky and generate this expression by random application of the above grammar, it is highly unlikely. However, one might generate (weight-height) and (age+height × height). While neither of these expressions are BMI, BMI can be produced by mutating and crossing these feature.
Mutation is a process by which a node in the parse tree is randomly selected and then replaced with another value such that the tree remains consistent with the generative rules of the grammar. In some cases, one might opt to re-build the tree below the replaced node thereby giving the algorithm greater flexibility. For instance, the first expression can be represented as a parse tree and mutated as follows:

The resulting feature, (weight/height), is more similar to BMI than the initial feature, and in fact performs better at classifying obesity. To arrive at BMI we could apply the crossing procedure to (weight/height) and (age+height × height).
Crossing is a process by which two features are expressed as parse trees and two of their subtrees are exchanged so that the resulting parse trees are consistent with the grammar. For instance, BMI can be found by crossing (weight/height) and (age+height × height) as follows:

Not all crossings and mutations will produce better features, and not all features should be considered for crossing or mutation. To handle this, PILGram behaves stochastically and preferentially selects features for mutation and crossing according to how well they perform. The guiding principle is that features which perform better should be closer to the optimal feature than those that do not. The entire PILGram algorithm can be outlined as follows:
1. Select a grammar for feature generation and a fitness function to evaluate the features against.
2. Randomly generate a population of features and determine the fitness of each feature.
3. Randomly subsample the population where a feature is selected with probability proportional to its fitness.
4. For each feature selected in step 3, copy the feature and randomly change the value of a random node in its parse tree in a manner consistent with the grammar. Return the initial feature and the result of the mutation to the population.
5. Randomly subsample the population for pairs of features with each feature selected with probability proportional to its fitness.
6. For each pair selected in step 5 produce a copy of their parse trees. Randomly select a subtree in each feature’s parse tree and exchange these subtrees ensuring that the exchange produces features which are consistent with the grammar. Return the two initial features and the two new features to the population.
7. Compute the fitness of all features in the population and remove the least fit features until the population returns to its initial size.
8. If the fittest feature has converged, then terminate the algorithm, otherwise return to step 3.
A common variation of the algorithm is to randomly generate new features at the start of step 7 and add them to the population before reducing the population size. Another common modification is to iteratively apply the algorithm such that the fitness function is updated between iterations to account for the fittest feature. This allows one to generate a list of irredundant features. Unsurprisingly, the choice of generative grammar strongly influences the quality of the resulting features. Below we will make use of Perl’s regular expression grammar to produce motifs in an alignment free fashion (Supplemental Figure 1).
PILGram has been applied in areas ranging from text analysis, which uses a combination of atomic features based on letter frequency based atomic features and regular expressions, and to image analysis, which uses more complex image-based atomic features. In both of these cases PILGram not only provided features that were optimal for classification, but that were also easily interpreted by a user (unpublished results). In addition to these application spaces, precursor technology has been applied to loop unrolling in the realm of compiler optimization (Leather et al., 2009) where it was found that learned features resulted in an increase from 48% of the theoretical efficiency bound (using expert driven features) to 76% of the theoretical bound using features automatically identified by a PILGram-like algorithm. We note that PILGram does not train a classifier, rather it selects features which means that any improvements are not the result of overfitting but instead, are a consequence of carefully chosen features.
To test the ability of PILGram to identify discriminatory regular expressions from unaligned sequences we focused on a well-defined group of proteins with a known discriminatory pattern. We first examined the serine-threonine phosphatase pattern (PROSITE PS00125) by obtaining 166 sequences listed as true positives from PROSITE (see Methods). For negative examples we randomly selected 5344 sequences from UniProt that are not included in the positive sequences.
We applied PILGram to this dataset using a standard regular expression grammar modified for protein sequences (see Supplemental Table 1). The algorithm was terminated after 276 iterations when the fitness (classification accuracy) did not change over 10 consecutive iterations. The resulting pattern (Table 1) had a very high accuracy and positive predictive value (PPV) at 99.9% and 92%, respectively. The pattern identified by PILGram contains the core of the existing PROSITE pattern and performs nearly as well. However, the PILGram pattern required no sequence alignment or manual determination of a conserved pattern.
| Model | Pattern | Accuracy |
|---|---|---|
| PS00125 | [LIVMN][KR]GNHE | 100.0% |
| 1 | [KQR]G+NH | 99.9% |
The ser/thr phosphatase pattern is relatively simple and does not include any gaps of variable size. We were interested in determining if PILGram would also work on a more complicated pattern and so chose the zinc finger pattern (PS00028), which is a somewhat variable arrangement of conserved cysteine and histidine residues. We obtained the 1997 sequences used for the construction of the PROSITE pattern and additionally collected 5435 randomly selected protein sequences from the UniProt database to serve as negative examples for this test example. Because individual runs converged on different predictive patterns we ran PILGram 10 times on the dataset. In principle, PILGram will always eventually converge to the optimal pattern. However, in practice there may be ‘flat regions’ over which the fitness function does not significantly vary with feature modification or local extrema. In such situations, PILGram may take significant time to escape these regions and it is more economical to employ a weak convergence test, run PILGram several times, and aggregate the features.
The resulting patterns (Table 2) vary in composition and accuracy, with a maximum accuracy obtained of about 92%. All patterns fall short of the manually determined PROSITE pattern that has an accuracy of 99%. It is interesting to note that none of the identified patterns perfectly matches any portions of the manually determined PROSITE pattern, though there are some consistently identified features such as multiple cysteine residues.
We examined the possibility that the patterns identified by PILGram would be synergistic in their discriminatory ability. For each example protein (positive and negative) we counted how many of the individual PILGram patterns matched, then used this number as a discriminator. We found that using this simple voting procedure increased the accuracy from 92% to a maximum of 95.3% when six or more patterns match a sequence (Figure 1). While this performance still does not reach the level of the original PROSITE pattern (99%), we believe it demonstrates the utility of PILGram for identifying patterns from unaligned sequences.

Matches to PILGram-generated regular expression patterns for the zinc finger domain (represented in PROSITE PS00028) were counted (X axis) and accuracy (Y axis) calculated based on the known positives and negative examples datasets (see text). Peak accuracy of the approach is attained at six pattern matches.
We were interested to know if PILGram was identifying regions of the sequence that overlap with the PROSITE pattern. We identified regions in all positive example sequences that match the ten PILGram patterns and calculated a score for each sequence based on the number of matches, per residue, that PILGram identified in the real zinc finger region. On average, 3.4 PILGram patterns match each residue of the known PS00028 pattern, whereas the number of patterns matching arbitrary residues in the sequence was 2.1. This shows that PILGram identifies more patterns overlapping the canonical zinc finger motif. However, it is clear that PILGram-derived motifs may not be canonical and further work needs to be done in this area.
A more difficult task for functional classification is to develop a model that will discriminate a group of functionally related proteins that cannot be aligned by traditional sequence alignment methods, or where the alignment does not allow discrimination between closely related sequences with different functions. To test its utility with these kinds of problematic proteins we applied PILGram to develop a classifier for antibiotic drug resistance transporters.
Though transporter superfamily members can be identified fairly readily using standard sequence alignment approaches, previous studies have shown that sequence similarity has limited utility for classifying of transporters by substrate specificity (Barghash & Helms, 2013). The same authors also showed separately that integrating simple data (amino acid composition, dipeptide composition) could be used to classify some substrate families with good accuracy (Schaadt et al., 2010; Schaadt & Helms, 2012), but these models have little potential for providing biological insight. Additionally, it remains unclear if there are members of functional families that have yet to be discovered because of lack of strong sequence similarity. ATP-binding cassette transporters (ABC), resistance-nodulation-cell division (RND) superfamily, and major facilitator superfamily (MFS) transporters are common superfamilies of proteins involved in the transport of a wide variety of different compounds, such as sugars, ions, peptides, and more complex organic molecules. Multidrug resistance (MDR) transporters are found in each of these superfamilies and are primary mediators of antibiotic drug resistance (Nikaido, 2009; Nikaido & Pages, 2012). Though MDR transporters actually encompass a range of substrate specificities because there are many types of drugs they export, we hypothesized that there would be some unifying features of MDR transporters that could be captured using PILGram.
We gathered a set of 73 known MDR transporter sequences (positive examples) from the TCDB (Saier et al., 2014) and used the remainder of sequences classified in the TCDB as non-MDR transporters (negative examples; 5935 sequences). This dataset (Supplemental Data MDR_TCDB_positives.fasta and MDR_TCDB_negatives.fasta) was used to train and cross-validate MDRpred as described below.
We first evaluated how well previously generated HMM models from the Pfam database could discriminate between MDR and non-MDR transporters. We identified four Pfam models that seem to definitively identify drug resistance transporters (PF00893, PF08370, PF00873, and PF13536) and applied them to the set of sequences considering a ‘hit’ as a sequence matched by any of the models with high confidence (E value < 1e-100). The Pfam models provide very good accuracy (~97%), but only identify 10 of 73MDR transporters (14%), and these are likely hits to many of the sequences used to create the models in the first place.
We examined the ability of PILGram to find patterns capable of identifying MDR transporters from other transporter sequences. Because we believed that transmembrane regions (TMRs) would be important features in this classification task we modified our protein regular expression (PRE) grammar (Supplemental Figure 1) to bias the feature generation processes toward producing TMRs (TMR-PRE). Additionally, we included a large set of different types of protein physiochemical properties in our PILGram search (PP-PRE). PILGram included the 147 types of properties as features that could be chosen during the search. If a physiochemical property was used in a search the score (value for that particular property) was calculated for all matches of the accompanying regular expression on a sequence. If there were multiple matches to the protein then the scores were averaged.
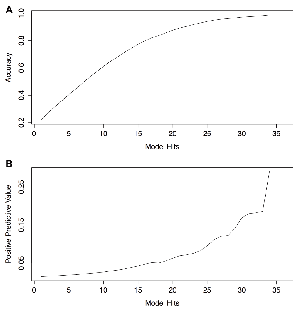
Using a 2-fold cross-validation approach (see Methods) we used PILGram to generate 36 models (Supplemental Table 1), approximately 12 models from each of the three grammars (PRE, TMR-PRE, and PP-PRE). The models had individual accuracies ranging from 70–75%, underperforming the combination of HMM models that already exist. However, application of the simple voting approach used above in which the number of models that matched each sequence was counted, improved the results dramatically. The accuracy and PPV for increasing numbers of model matches is shown in Supplemental Figure 2, and have maximum values at the most stringent threshold (requiring all patterns be matched) of 99% and 28%, respectively.
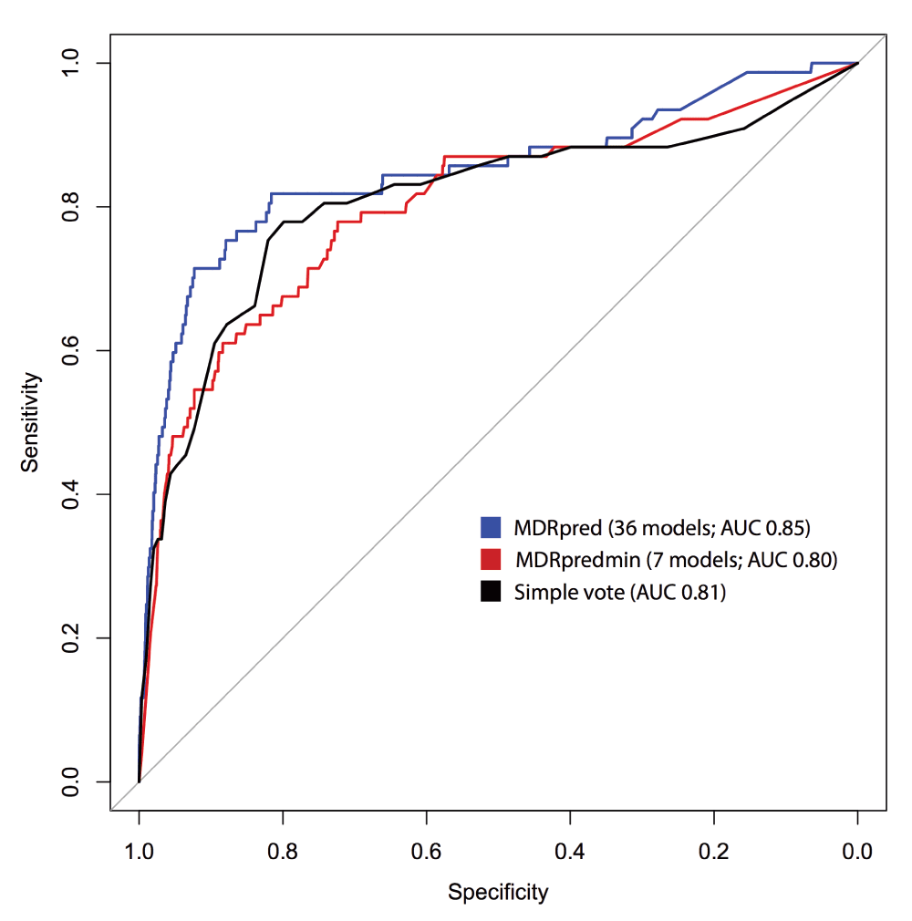
To examine whether the individual scores could be combined to provide better prediction we employed logistic regression and found that this improved our results somewhat (Figure 2; Supplemental Figure 3). As a comparison for the same ~97% accuracy level provided by the traditional methods (Pfam family matches) our method, we call MDRpred, identifies 37 of the MDR transporters from our training set (50%) versus 10 for the traditional methods. It is clear that further development is needed to improve classification of this important group, but our approach provides the best method to date of identifying drug resistance transporters using sequence alone.

The accuracy (blue line), positive predictive value (black line), and percentage of total MDR transporters identified (coverage; red line) are shown as a function of the score threshold used (X axis). The score is derived from a logistic regression on the complete set of 36 models generated (see text).
In addition to classification of sequences a second goal of this work is to identify biologically relevant regions of proteins that are responsible for protein function. We showed that PILGram can identify regions known to be functionally important in zinc fingers. Here we apply a similar approach to identify regions that may be important for drug resistance in transporters.
We first examined the overlap in patterns by clustering models based on the training sequences that they matched (Supplemental Figure 4). The models were arranged using hierarchical clustering and then seven clusters of similar models were identified. We found that most of the clusters exhibited some similarity in patterns and model from each cluster with the highest independent accuracy listed in Table 3. We found that applying logistic regression to combine these seven models provided a similar performance as the voting method, but underperformed the logistic regression on the complete set of models. This indicates that the seven models represent a large portion of the information in the approach but that the additional models add significant value.
EmrD is an MDR transporter with a solved crystal structure (Yin et al., 2006). We examined the overlap of the PILGram models on the EmrD sequence and found that the maximum overlap in matched expressions from our models occurred in H3 69-103 and the loop following H4 118-131. The latter region has been highlighted as the ‘selectivity filter’, a loop extending in to the cytoplasm and that abrogates selectivity when mutated (Yin et al., 2006) (Figure 3). This suggests that for this case where a selectivity region is known, our model can correctly identify it, though more examples would be necessary to fully demonstrate this.

The structure of the MDR transporter EmrD from E. coli (2GFP) is shown with the regions of maximum pattern overlap shown in red. This region has been shown to be the selectivity filter for substrates transported by the protein, showing that MDRpred predictions can highlight functionally important regions.
New antibiotic resistance mechanisms are thought to be acquired from a very large natural reservoir of environmental bacteria, most of which have not yet been characterized (D'Costa et al., 2007; Forsberg et al., 2012; Li et al., 2014). This means that novel antibiotics may face emergence of antibiotic resistance in pathogenic bacteria by lateral gene transfer or other means (Aminov & Mackie, 2007; Forsberg et al., 2012). We were interested in determining if our models could be used to identify candidate MDRs from environmental samples. We therefore searched a species-resolved metagenomic dataset acquired from consortia (Cole et al., 2014) cultivated from a phototrophic microbial mat in Hot Lake, Washington (Lindemann et al., 2013). Though soil microbial communities have been examined for antibiotic resistance potential previously (D'Costa et al., 2007) communities living in extreme environments such as Hot Lake have not. We postulated that these kinds of communities might be rich sources of novel MDR transporters given the manifold interactions between community members (Martinez et al., 2009; Piddock, 2006).
We first searched the 69010 protein sequences from the Hot Lake consortial metagenomes (Nelson et al., submitted) for known MDR transporters using the Pfam families (PF00893, PF08370, PF00873, and PF13536) and identified 118 high-confidence (E value < 1e-100) matches. Interestingly, when we examined a set of clones gathered from 18 soil samples and selected for expression of multidrug resistance phenotypes (Forsberg et al., 2012) we found only 14 MDR transporters at the same stringency, though one caveat is that the efficiency of expression of transporters could be a limitation in this system. This suggests that the Hot Lake community has a relatively large number of MDR transporters.
We searched the Hot Lake consortium metagenome using all 36 models and then ranked the results by number of matched sequences. A histogram of number of matching models is shown in Supplemental Figure 5. Because MDRpred was trained only on transporter proteins it cannot discriminate transporter proteins from non-transporters. That is, there are a significant number of false positive predictions that match proteins unlikely to be transporters. Accordingly, we filtered candidates to only those proteins identified as transporters by Pfam and at the highest stringency we identified five candidate MDR sequences (Table 4). This step is included in the overall MDRpred process to allow accurate prediction in entire genomes or metagenomes.
The explosion in number of sequences available from a large number of sources has driven the need for better methods to capture patterns in distinct groups of functionally related sequences. Our method, based on linguistic approaches to pattern identification, has several advantages over existing methods. Not requiring a sequence alignment means that important and discriminatory sequence regions can be identified from functionally similar proteins that may be highly evolutionarily divergent or where the evolutionary relationships are unclear. Having a wide range of grammars that can be applied in the framework is a significant strength, allowing for flexible pattern discovery. In the current paper we use only variants of a protein regular expression grammar, but other grammars can easily be used depending on the application. For example, context-free grammars could be applied to better identify potential non-local interactions between different regions in the protein sequences.
In the current study we have shown that PILGram can be successfully applied to identify patterns in proteins sequences, first by application to known functional sequences from the PROSITE database, and then by application to a set of proteins related by function but where functional determinants of specificity are not well understood. From our initial work with PROSITE families we found that some kinds of patterns may be more amenable to identification using PILGram, but this was a limited proof-of-concept application that would merit further characterization. In the case of the zinc finger pattern, which has variable spacing between active cysteine and histidine measurements we found that very accurate models could be obtained by taking a simple voting approach between multiple independent PILGram models.
Application of our approach to the MDR sequences identified a set of over 30 individual PILGram models that, when combined, provided very good accuracy and positive predictive value, relative to a combination of existing HMM models in Pfam. To our knowledge this is the first attempt to develop a predictive model for MDR transporters across families. Similar to our results with PROSITE patterns we found that these models could identify regions known to be important for substrate specificity in MDRs. This represents a step forward in classification of this important group of transporters.
The vast number of uncharacterized and often unculturable bacteria in environmental communities represent a large amount of genetic potential given the ability of bacteria to share genetic information. As an example application, we ran our method on sequences identified from a moderately complex community derived from an extreme environment, in this case the Hot Lake unicyanobacterial consortia (Cole et al., 2014). We identified five candidates that were strongly predicted by the combination of our models to be MDRs. Given that the positive predictive value of the combined method is nearly 30% it is likely that one or two of these predictions is a true positive. Further research is needed to be able to predict specific drug substrate specificities for MDRs and other transporters.
We believe that the method we describe, MDRpred, will complement well the other commonly used sequence annotation methods and that it provides a unique set of predictions about potential novel MDRs. Furthermore, the PILGram approach to identification of functional patterns in unaligned sequences has applications in a large number of other problematic protein groups where function is conserved over sequence.
A publication describing the PILGram software is currently in preparation (Gosink & Bruillard, manuscript in preparation) but the software is available upon request from the authors.
Figshare: Prediction of multi-drug resistance transporters dataset. Doi: http://dx.doi.org/10.6084/m9.figshare.1326181 (McDermott et al., 2015).
J.E.M conceived of the study, applied the methods, interpreted results, wrote the manuscript. P.B. developed the software, devised the grammars used, and wrote the manuscript. C.O. analyzed results and wrote the manuscript. L.G. integrated results to provide final rankings and advised on statistics. S.R.L. provided data for microbiome applications and guidance in interpretation of results.
This study was supported by the Signatures Discovery Initiative, a component of the Laboratory Directed Research and Development Program at Pacific Northwest National Laboratory (PNNL), a multiprogram national laboratory operated by Battelle for the U.S. Department of Energy under Contract DE-AC05-76RL01830. A portion of this research was supported by the Genomic Science Program (GSP), Office of Biological and Environmental Research (OBER), U.S. Department of Energy (DOE) and is a contribution of the PNNL Foundational Scientific Focus Area.
I confirm that the funders had no role in study design, data collection and analysis, decision to publish, or preparation of the manuscript.

A. Accuracy of combined patterns for classification. Matches to PILGram-generated regular expression patterns for the MDR transporters were counted (X axis) and accuracy (Y axis) calculated based on the known positives and negative examples datasets (see text). Peak accuracy is attained when all 36 patterns match the sequence, indicating that the diversity of MDR transporter sequences is likely to be high. Redundancy analysis (Table 3) shows that a similar accuracy can be obtained with seven patterns. B. Positive-predictive value of combined patterns for classification. Positive predictive value (the percentage of true positives in all positive predictions; Y axis) was calculated for each number of MDR transporter pattern matches (X axis). The maximum value is reached in sequences that match all patterns.

The receiver-operator characteristic curves (ROC) are shown for the simple vote combination of 36 models (black line), the logistic regression combination of 36 models (blue line), and the logistic regression combination of the selected seven models shown in Table 3 (red line). The area under the curve (AUC) for each method is indicated in the legend. The results show that using all models in a score derived by logistic regression provides the best performance, though the other methods also perform adequately.

For each labeled sequence (rows) we assessed the presence (red cell) or absence (white cell) of a match to any of the 36 MDRpred regular expression models (columns). Hierarchical clustering was used to highlight relationships between models based on their patterns of matches. Dendrograms for sequences and models are shown. The patterns highlight seven groups of models that share a large number of predictions. Representative members from each of these clusters are shown in Table 3.

The number of sequences (Y axis) with N matches (X axis) in the Hot Lake metagenome (69,010 sequences total) is shown as a histogram. This plot can be compared with similar plots in Supplemental Figure 2 showing accuracy and positive predictive value at each of these stringency thresholds.
| Views | Downloads | |
|---|---|---|
| F1000Research | - | - |
|
PubMed Central
Data from PMC are received and updated monthly.
|
- | - |
Competing Interests: No competing interests were disclosed.
Competing Interests: No competing interests were disclosed.
Alongside their report, reviewers assign a status to the article:
| Invited Reviewers | ||
|---|---|---|
| 1 | 2 | |
|
Version 2 (update) 29 May 15 |
read | read |
|
Version 1 09 Mar 15 |
read | read |
Provide sufficient details of any financial or non-financial competing interests to enable users to assess whether your comments might lead a reasonable person to question your impartiality. Consider the following examples, but note that this is not an exhaustive list:
Sign up for content alerts and receive a weekly or monthly email with all newly published articles
Already registered? Sign in
The email address should be the one you originally registered with F1000.
You registered with F1000 via Google, so we cannot reset your password.
To sign in, please click here.
If you still need help with your Google account password, please click here.
You registered with F1000 via Facebook, so we cannot reset your password.
To sign in, please click here.
If you still need help with your Facebook account password, please click here.
If your email address is registered with us, we will email you instructions to reset your password.
If you think you should have received this email but it has not arrived, please check your spam filters and/or contact for further assistance.
I've also mentioned this paper as part of a grant strategy: http://jasonya.com/wp/proposal-gambit/
I've also mentioned this paper as part of a grant strategy: http://jasonya.com/wp/proposal-gambit/
I've also mentioned this paper as part of a grant strategy: http://jasonya.com/wp/proposal-gambit/