Keywords
CyTOF, flow cytometry, differential analysis,
This article is included in the Bioconductor gateway.
CyTOF, flow cytometry, differential analysis,
Flow cytometry and the more recently introduced CyTOF (cytometry by time-of-flight mass spectrometry or mass cytometry) are high-throughput technologies that measure protein abundance on the surface or within cells. In flow cytometry, antibodies are labeled with fluorescent dyes and fluorescence intensity is measured using lasers and photodetectors. CyTOF utilizes antibodies tagged with metal isotopes from the lanthanide series, which have favorable chemistry and do not occur in biological systems; abundances per cell are recorded with a time-of-flight mass spectrometer. In either case, fluorescence intensities (flow cytometry) or ion counts (mass cytometry) are assumed to be proportional to the expression level of the antibody-targeted antigens of interest.
Due to the differences in acquisition, further distinct characteristics should be noted. Conventional fluorophore-based flow cytometry is non-destructive and can be used to sort cells for further analysis. However, because of the spectral overlap between fluorophores, compensation of the data needs to be performed (Roederer, 2001), which also limits the number of parameters that can be measured simultaneously. Thus, standard flow cytometry experiments measure 6–12 parameters with modern systems measuring up to 20 channels (Mahnke & Roederer, 2007), while new developments (e.g. BD FACSymphony) promise to increase this capacity towards 50. Moreover, flow cytometry offers the highest throughput with tens of thousands of cells measured per second at relatively low operating costs per sample.
By using rare metal isotopes in CyTOF, cell autofluorescence can be avoided and spectral overlap is drastically reduced. However, the sensitivity of mass spectrometry results in the measurement of metal impurities and oxide formations, which need to be carefully considered in antibody panel design (e.g. through antibody concentrations and coupling of antibodies to neighboring metals). Leipold et al. recently commented that minimal spillover does not equal no spillover (Leipold, 2015). Nonetheless, CyTOF offers a high dimension of parameters measured per cell, with current panels using ~40 parameters and the promise of up to 100. Throughput of CyTOF is lower, at the rate of hundreds of cells per second, and cells are destroyed during ionization.
The ability of flow cytometry and mass cytometry to analyze individual cells at high-throughput scales has resulted in a wide range of biological and medical applications. For example, immunophenotyping assays are used to detect and quantify cell populations of interest, to uncover new cell populations and compare abundance of cell populations between different conditions, for example between patient groups (van Unen et al., 2016). Thus, it can be used as a biomarker discovery tool.
Various methodological approaches aim for biomarker discovery (Saeys et al., 2016). A common strategy, which we will refer to through this workflow as the “classic” approach, is to first identify cell populations of interest by manual gating or automated clustering (Hartmann et al., 2016; Pejoski et al., 2016). Second, using statistical tests, one can determine which of the cell subpopulations or protein markers are associated with a phenotype (e.g. clinical outcome) of interest. Typically, cell subpopulation abundance expressed as cluster cell counts or median marker expression would be used in the statistical model to relate to the sample-level phenotype.
Importantly, there are many alternatives to what we propose below, and several new methods are emerging. For instance, citrus (Bruggner et al., 2014) tackles the differential discovery problem by strong over-clustering of the cells, and by building a hierarchy of clusters from very specific to general ones. Using model selection and regularization techniques, clusters and markers that associate with the outcome are identified. A new machine learning approach, CellCnn (Arvaniti & Claassen, 2016), learns the representation of clusters that are associated with the considered phenotype by means of convolutional neural networks, which makes it particularly applicable to detecting discriminating rare cell populations. However, there are tradeoffs to consider. citrus performs feature selection but does not provide significance levels, such as p-values, for the strength of associations. Due to its computational requirements, citrus can not be run on entire mass cytometry datasets and one typically must analyze a subset of the data. The “filters” from CellCnn may identify one or more cell subsets that distinguish experimental groups, while these groups may not necessarily correspond to any of the canonical cell types, since they are learned with a data-driven approach.
A noticeable distinction between the machine-learning approaches and our classical regression approach is how the model is designed. citrus and CellCnn model the patient response as a function of the measured HDCyto values, whereas the classical approach models the HDCyto data itself as the response, thus putting the distributional assumptions on the experimental HDCyto data. This carries the distinct advantage that covariates (e.g. age, gender, batch) can be included, together with finding associations of the phenotype to the predictors of interest (e.g. cell type abundance). Specifically, neither citrus nor CellCnn are able to directly account for complex designs, such as paired experiments or presence of batches.
Within the classical approach, hybrid methods are certainly possible, where discovery of interesting cell populations is done with one algorithm, and quantifications or signal aggregations are modeled in standard regression frameworks. For instance, CellCnn provides p-values from a t-test or Mann-Whitney U-test conducted on the frequencies of previously detected cell populations. The models we propose below are flexible extensions of this strategy.
Step by step, this workflow presents differential discovery analyses assembled from a suite of tools and methods that, in our view, lead to a higher level of flexibility and robust, statistically-supported and interpretable results. Cell population identification is conducted by means of unsupervised clustering using the FlowSOM and ConsensusClusterPlus packages, which together were among the best performing clustering approaches for high-dimensional cytometry data (Weber & Robinson, 2016). Notably, FlowSOM scales easily to millions of cells and thus no subsetting of the data is required.
To be able to analyze arbitrary experimental designs (e.g. batch effects, paired experiments, etc.), we show how to conduct the differential analysis of cell population abundances using the generalized linear mixed models (GLMM) and of marker intensities using linear models (LM) and linear mixed models (LMM). Model fitting is performed with lme4 and stats packages, and hypothesis testing with the multcomp package.
We use the ggplot2 package as our graphical engine. Notably, we propose a suite of useful visual representations of HDCyto data characteristics, such as an MDS (multidimensional scaling) plot of aggregated signal for exploring sample similarities. The obtained cell populations are visualized using dimension reduction techniques (e.g. t-SNE via the Rtsne package) and heatmaps (via the pheatmap package) to represent characteristics of the annotated cell populations and identified biomarkers.
The workflow is intentionally not fully automatic. First, we strongly advocate for exploratory data analysis to get an understanding of data characteristics before formal statistical modeling. Second, the workflow involves an optional step where the user can manually merge and annotate clusters (see Cluster merging and annotation section) but in a way that is easily reproducible. The CyTOF data used here (see Data description section) is already preprocessed; i.e. the normalization and de-barcoding, as well as removal of doublets, debris and dead cells, were already performed. To see how such an analysis could be performed, please see the Data preprocessing section.
Notably, this workflow is equally applicable to flow or mass cytometry datasets, for which the preprocessing steps have already been performed. In addition, the workflow is modular and can be adapted as new algorithms or new knowledge about how to best use existing tools comes to light. Alternative clustering algorithms such as the popular PhenoGraph algorithm (Levine et al., 2015) (e.g. via the Rphenograph package), dimensionality reduction techniques, such as diffusion maps (Haghverdi et al., 2015) via the destiny package (Angerer et al., 2016)), and SIMLR (Wang et al., 2017) via the SIMLR package could be inserted to the workflow.
We use a subset of CyTOF data originating from Bodenmiller et al. (Bodenmiller et al., 2012) that was also used in the citrus paper (Bruggner et al., 2014). Specifically, we perform our analysis on samples of peripheral blood mononuclear cells (PBMCs) from 8 healthy donors, where for each individual, an unstimulated and a stimulated sample (for 30 minutes with B cell receptor/Fc receptor crosslinking, known as BCR/FcR-XL) was collected, resulting in 16 samples in total. For each sample, 14 signaling markers and 10 cell surface markers were measured.
The original data is available from the Cytobank report. The subset used here can be downloaded from the Citrus Cytobank repository (files with _BCR-XL.fcs or _Reference.fcs endings) or from our web server (see the Data import section).
In both the Bodenmiller et al. and citrus manuscripts, the 10 lineage markers were used to identify cell subpopulations. These were then investigated for differences between reference and stimulated cell subpopulations separately for each of the 14 functional markers. The same strategy is used in this workflow; 10 lineage markers are used for cell clustering and 14 functional markers are tested for differential expression between the reference and BCR/FcR-XL stimulation. Even though differential analysis of cell abundance was not in the scope of the Bodenmiller et al. experiment, we present it here to highlight the generality of the discovery.
Conventional flow cytometers and mass cytometers produce .fcs files that can be manually analyzed using programs such as FlowJo [TriStar] or Cytobank (Kotecha et al., 2010), or using the R/Bioconductor packages, such as the flowCore package (Ellis et al., 2017). During this initial analysis step, dead cells are removed, compensation is checked and with simple two dimensional scatter plots (e.g. marker intensity versus time), marker expression patterns are checked. Often, modern experiments are barcoded in order to remove analytical biases due to individual sample variation or acquisition time. Preprocessing steps including normalization using bead standards, de-barcoding and compensation can be completed with the CATALYST package, which provides an implementation of the de-barcoding algorithm described by Zunder et al. (Zunder et al., 2015) and the bead-based normalization from Finck et al. (Finck et al., 2013). Of course, preprocessing steps can occur using custom scripts within R or outside of R (e.g. Normalizer (Finck et al., 2013)).
We recommend as standard practice to keep an independent record of all samples collected, with additional information about the experimental condition, including sample or patient identifiers, processing batch and so on. That is, we recommend having a trail of metadata for each experiment. In our example, the metadata file, PBMC8_metadata.xlsx, can be downloaded from the Robinson Lab server with the download.file function. For the workflow, the user should place it in the current working directory (getwd()). Here, we load it into R with the read_excel function from the readxl package and save it into a variable called md, but other file types and interfaces to read them in are also possible.
The data frame md contains the following columns:
file_name with names of the .fcs files corresponding to the reference (suffix “Reference”) and BCR/FcR-XL stimulation (suffix “BCR-XL”) samples,
sample_id with shorter unique names for each sample containing information about conditions and patient IDs,
condition describes whether samples originate from the reference (Ref) or stimulated (BCRXL) condition,
patient_id defines the IDs of patients.
The sample_id variable is used as row names in metadata and will be used all over the workflow to label the samples. It is important to carefully check whether variables are of the desired type (factor, numeric, character), since input methods may convert columns into different data types. For the statistical modeling, we want to make the condition variable a factor with the reference (Ref) samples being the reference level, where the order of factor levels can be defined with the levels parameter of the factor function. We also specify colors for the different conditions in a variable color_conditions.
library(readxl) url <- "http://imlspenticton.uzh.ch/robinson_lab/cytofWorkflow" metadata_filename <- "PBMC8_metadata.xlsx" download.file(file.path(url, metadata_filename), destfile = metadata_filename) md <- read_excel(metadata_filename) ## Make sure condition variables are factors with the right levels md$condition <- factor(md$condition, levels = c("Ref", "BCRXL")) head(data.frame(md)) ## file_name sample_id condition patient_id ## 1 PBMC8_30min_patient1_BCR-XL.fcs BCRXL1 BCRXL Patient1 ## 2 PBMC8_30min_patient1_Reference.fcs Ref1 Ref Patient1 ## 3 PBMC8_30min_patient2_BCR-XL.fcs BCRXL2 BCRXL Patient2 ## 4 PBMC8_30min_patient2_Reference.fcs Ref2 Ref Patient2 ## 5 PBMC8_30min_patient3_BCR-XL.fcs BCRXL3 BCRXL Patient3 ## 6 PBMC8_30min_patient3_Reference.fcs Ref3 Ref Patient3 ## Define colors for conditions color_conditions <- c("#6A3D9A", "#FF7F00") names(color_conditions) <- levels(md$condition)
The .fcs files listed in the metadata can be downloaded manually from the Citrus Cytobank repository or automatically from the Robinson Lab server where they are saved in a compressed archive file, PBMC8_fcs_files.zip.
fcs_filename <- "PBMC8_fcs_files.zip" download.file(file.path(url, fcs_filename), destfile = fcs_filename) unzip(fcs_filename)
To load the content of the .fcs files into R, we use the flowCore. Using read.flowSet, we read in all files into a flowSet object, which is a general container for HDCyto data. Importantly, read.flowSet and the underlying read.FCS functions, by default, may transform the marker intensities and remove cells with extreme positive values. We keep these options off to be sure that we control the exact preprocessing steps.
library(flowCore) fcs_raw <- read.flowSet(md$file_name, transformation = FALSE, truncate_max_range = FALSE) fcs_raw
In our example, information about the panel is also available in a file called PBMC8_panel.xlsx, and can be downloaded from the Robinson Lab server and loaded into a variable called panel. It contains columns for Isotope and Metal that define the atomic mass number and the symbol of the chemical element conjugated to the antibody, respectively, and Antigen, which specifies the protein marker that was targeted; two additional columns specify whether a channel belongs to the lineage or surface type of marker.
The isotope, metal and antigen information that the instrument receives is also stored in the flowFrame (container for one sample) or flowSet (container for multiple samples) objects. You can type fcs_raw[[1]] to see the first flowFrame, which contains a table with columns name and desc. Their content can be accessed with functions pData(parameters()), which is identical for all the flowFrame objects in the flowSet. The variable name corresponds to the column names in the flowSet object, you can type in R colnames(fcs_raw).
It should be checked that elements from panel can be matched to their corresponding entries in the flowSet object to make the analysis less prone to subsetting mistakes. Here, for example, the entries in panel$Antigen have their exact equivalents in the desc columns of the flowFrame objects. In the following analysis, we will often use marker IDs as column names in the tables containing expression values. As a cautionary note, during object conversion from one type to another (e.g. in the creation of data.frame from a matrix), some characters (e.g. dashes) in the dimension names are replaced with dots, which may cause problems in matching. To avoid this problem, we replace all the dashes with underscores. Also, we define two variables that indicate the lineage and functional markers.
panel_filename <- "PBMC8_panel.xlsx" download.file(file.path(url, panel_filename), destfile = panel_filename) panel <- read_excel(panel_filename) head(data.frame(panel))
## Metal Isotope Antigen Lineage Functional
## 1 Cd 110:114 CD3 1 0
## 2 In 115 CD45 1 0
## 3 La 139 BC1 0 0
## 4 Pr 141 BC2 0 0
## 5 Nd 142 pNFkB 0 1
## 6 Nd 144 pp38 0 1
# Replace problematic characters panel$Antigen <- gsub("-", "_", panel$Antigen) panel_fcs <- pData(parameters(fcs_raw[[1]])) head(panel_fcs)
## name desc range minRange maxRange
## $P1 Time Time 2377271 0.00000 2377270
## $P2 Cell_length Cell_length 66 0.00000 65
## $P3 CD3(110:114)Dd CD3 1212 -13.66756 1211
## $P4 CD45(In115)Dd CD45 2654 0.00000 2653
## $P5 BC1(La139)Dd BC1 13357 0.00000 13356
## $P6 BC2(Pr141)Dd BC2 39 -66.97583 38
# Replace problematic characters panel_fcs$desc <- gsub("-", "_", panel_fcs$desc) # Lineage markers (lineage_markers <- panel$Antigen[panel$Lineage == 1])
## [1] "CD3" "CD45" "CD4" "CD20" "CD33" "CD123" "CD14"
## [8] "IgM" "HLA_DR" "CD7"
# Functional markers (functional_markers <- panel$Antigen[panel$Functional == 1])
## [1] "pNFkB" "pp38" "pStat5" "pAkt" "pStat1" "pSHP2" "pZap70"
## [8] "pStat3" "pSlp76" "pBtk" "pPlcg2" "pErk" "pLat" "pS6"
# Spot checks all(lineage_markers %in% panel_fcs$desc)
## [1] TRUE all(functional_markers %in% panel_fcs$desc) ## [1] TRUE
Usually, the raw marker intensities read by a cytometer have strongly skewed distributions with varying ranges of expression, thus making it difficult to distinguish between the negative and positive cell populations. It is common practice to transform CyTOF marker intensities using, for example, arcsinh (hyperbolic inverse sine) with cofactor 5 (Bendall et al., 2011 Figure S2; Bruggner et al., 2014) to make the distributions more symmetric and to map them to a comparable range of expression, which is important for clustering. A cofactor of 150 has been promoted for flow cytometry, but users are free to implement alternative transformations, some of which are available from the transform function of the flowCore package. In the following step, we include only those channels that correspond to the lineage and functional markers. We also rename the columns in the flowSet to the antigen names from panel$desc.
## arcsinh transformation and column subsetting fcs <- fsApply(fcs_raw, function(x, cofactor=5){ colnames(x) <- panel_fcs$desc expr <- exprs(x) expr <- asinh(expr[, c(lineage_markers, functional_markers)] / cofactor) exprs(x) <- expr x }) fcs ## A flowSet with 16 experiments. ## ## column names: ## CD3 CD45 CD4 CD20 CD33 CD123 CD14 IgM HLA_DR CD7 pNFkB pp38 pStat5 pAkt pStat1 pSHP2 pZap70 pStat3 pSlp76 pBtk pPlcg2 pErk pLat pS6
For some of the further analysis, it is more convenient for us to work using a matrix (called expr) that contains marker expression for cells from all samples. We create such a matrix with the fsApply function that extracts the expression matrices (function exprs) from each element of the flowSet object.
## Extract expression expr <- fsApply(fcs, exprs) dim(expr) ## [1] 172791 24
As the ranges of marker intensities can vary substantially, we apply another transformation that scales expression of all markers to values between 0 and 1 using low (e.g. 1%) and high (e.g. 99%) percentiles as the boundary. This additional transformation of the arcsinh-transformed data can sometimes give better representation of relative differences in marker expression between annotated cell populations, however, it is only used here for visualization.
library(matrixStats) rng <- colQuantiles(expr, probs = c(0.01, 0.99)) expr01 <- t((t(expr) - rng[, 1]) / (rng[, 2] - rng[, 1])) expr01[expr01 < 0] <- 0 expr01[expr01 > 1] <- 1
We propose some quick checks to verify whether the data we analyze globally represents what we expect; for example, whether samples that are replicates of one condition are more similar and are distinct from samples from another condition. Another important check is to verify that marker expression distributions do not have any abnormalities such as having different ranges or distinct distributions for a subset of the samples. This could highlight problems with the sample collection or HDCyto acquisition, or batch effects that were unexpected. Depending on the situation, one can then consider removing problematic markers or samples from further analysis; in the case of batch effects, a covariate column could be added to the metadata table and used below in the statistical analyses.
The step below generates a plot with per-sample marker expression distributions, colored by condition (see Figure 1). Here, we can already see distinguishing markers, such as pNFkB and CD20, between stimulated and unstimulated conditions.

Two conditions: unstimulated (Ref) and stimulated with BCR/FcR-XL (BCRXL) for each of the 8 healthy donors are presented and colored by experimental condition.
## Generate sample IDs corresponding to each cell in the 'expr' matrix sample_ids <- rep(md$sample_id, fsApply(fcs_raw, nrow)) library(ggplot2) library(reshape2) ggdf <- data.frame(sample_id = sample_ids, expr) ggdf <- melt(ggdf, id.var = "sample_id", value.name = "expression", variable.name = "antigen") mm <- match(ggdf$sample_id, md$sample_id) ggdf$condition <- md$condition[mm] ggplot(ggdf, aes(x = expression, color = condition, group = sample_id)) + geom_density() + facet_wrap(~ antigen, nrow = 4, scales = "free") + theme_bw() + theme(axis.text.x = element_text(angle = 90, hjust = 1), strip.text = element_text(size = 7), axis.text = element_text(size = 5)) + guides(color = guide_legend(ncol = 1)) + scale_color_manual(values = color_conditions)
Another spot check is the number of cells per sample (see Figure 2). This plot can be used as a guide together with other readouts to identify samples where not enough cells were assayed.

Bars are colored by experimental condition: unstimulated (Ref) and stimulated with BCR/FcR-XL (BCRXL). Numbers in the names on the x-axis indicate patient IDs. Numbers on top of the bars indicate the cell counts.
cell_table <- table(sample_ids) ggdf <- data.frame(sample_id = names(cell_table), cell_counts = as.numeric(cell_table)) mm <- match(ggdf$sample_id, md$sample_id) ggdf$condition <- md$condition[mm] ggplot(ggdf, aes(x = sample_id, y = cell_counts, fill = condition)) + geom_bar(stat = "identity") + geom_text(aes(label = cell_counts), hjust=0.5, vjust=-0.5, size = 2.5) + theme_bw() + theme(axis.text.x = element_text(angle = 90, vjust = 0.5, hjust = 1)) + scale_fill_manual(values = color_conditions, drop = FALSE) + scale_x_discrete(drop = FALSE)
In transcriptomics applications, one of the most utilized exploratory plots is the multi-dimensional scaling (MDS) plot or a principal component analysis (PCA) plot. Such plots show similarities between samples measured in an unsupervised way and give a sense of how much differential expression can be detected before conducting any formal tests. An MDS plot can be generated with the plotMDS function from the limma package. In transcriptomics, distances between samples are calculated based on the expression of the top varying genes. We propose a similar plot for HDCyto data using median marker expression over all cells to calculate dissimilarities between samples (other aggregations are also possible, and one could reduce the number of top varying markers to include in the calculation). Ideally, samples should cluster well within the same condition, although this depends on the magnitude of the difference between experimental conditions. With this diagnostic, one can identify the outlier samples and eliminate them if the circumstances warrant it.
In our MDS plot on median marker expression values (see Figure 3), we can see that the first dimension (MDS1) separates the unstimulated and stimulated samples reasonably well. The second dimension (MDS2) represents, to some degree, differences between patients. Most of the samples that originate from the same patient are placed at a similar point along the y-axis, for example, samples from patients 7, 5, and 8 are at the top of the plot, samples from patient 4 are located at the bottom of the plot. This also indicates that the marker expression of individual patients is driving similarity and perhaps should be formally accounted for in the downstream statistical modeling.
# Get the median marker expression per sample library(dplyr) expr_median_sample_tbl <- data.frame(sample_id = sample_ids, expr) %>% group_by(sample_id) %>% summarize_each(funs(median)) expr_median_sample <- t(expr_median_sample_tbl[, -1]) colnames(expr_median_sample) <- expr_median_sample_tbl$sample_id library(limma) mds <- plotMDS(expr_median_sample, plot = FALSE) library(ggrepel) ggdf <- data.frame(MDS1 = mds$x, MDS2 = mds$y, sample_id = colnames(expr_median_sample)) mm <- match(ggdf$sample_id, md$sample_id) ggdf$condition <- md$condition[mm] ggplot(ggdf, aes(x = MDS1, y = MDS2, color = condition)) + geom_point(size = 2, alpha = 0.8) + geom_label_repel(aes(label = sample_id)) + theme_bw() + scale_color_manual(values = color_conditions)

Calculations are based on the median (arcsinh-transformed) marker expression of 10 lineage markers and 14 functional markers across all cells measured for each sample. Distances between samples on the plot approximate the typical change in medians. Numbers in the label names indicate patient IDs.
In contrast to genomic applications, the number of variables measured for each sample is much lower in HDCyto data. In the former, thousands of genes are surveyed, whereas in the latter, ~20-50 antigens are typically targeted. Similar to the MDS plot above, a heatmap of the same data also gives insight into the structure of the data. The heatmap shows median marker intensities with clustered columns (samples) and rows (markers). We have used hierarchical clustering with average linkage and euclidean distance, but also Ward’s linkage could be used (Bruggner et al., 2014), and in CyTOF applications, a cosine distance shows good performance (Bendall et al., 2014). In this plot, we can see which markers drive the observed clustering of samples (see Figure 4).

The two conditions: unstimulated (Ref) and stimulated with BCR/FcR-XL (BCRXL) for each of the 8 healthy donors are presented and colored by experimental condition. Dendrograms are based on hierarchical clustering with Euclidean distance metric and average linkage. Numbers in the column label names indicate patient IDs.
As with the MDS plot, the dendrogram separates the reference and stimulated samples very well. Also, similar groupings of patients within experimental conditions are observed (patients 1-2, 5-7-8 and 3-4 are together in both conditions).
library(RColorBrewer) library(pheatmap) # Column annotation for the heatmap mm <- match(colnames(expr_median_sample), md$sample_id) annotation_col <- data.frame(condition = md$condition[mm], row.names = colnames(expr_median_sample)) annotation_colors <- list(condition = color_conditions) # Colors for the heatmap color <- colorRampPalette(brewer.pal(n = 9, name = "YlGnBu"))(100) pheatmap(expr_median_sample, color = color, display_numbers = TRUE, number_color = "black", fontsize_number = 5, annotation_col = annotation_col, annotation_colors = annotation_colors, clustering_method = "average")
In this step, we identify the ability of markers to explain the variance observed in each sample. In particular, we calculate the PCA-based non-redundancy score (NRS) from Levine et al. (Levine et al., 2015). Markers with higher score explain a larger portion of variability present in a given sample.
The average NRS can be used to select a subset of markers that are non-redundant in each sample but at the same time capture the overall diversity between samples. Such a subset of markers can be then used for cell population identification analysis (i.e. clustering). We note that there is no precise rule on how to choose the right cutoff for marker inclusion, but one of the approaches is to select a suitable number of the top-scoring markers. The number can be chosen by analyzing the plot with the NR scores (see Figure 5), where the markers are sorted by the decreasing average NRS. One can drop out markers that are not likely to distinguish cell populations of interest, even if they have high scores, and add in markers with low scores but known to be important in discerning cell subgroups (Levine et al., 2015).

The points represent the per-sample NR scores (colored by experimental conditions), while open white circles indicate the mean NR scores from all the samples. Markers on the x-axis are sorted according to the decreasing average NRS.
In the dataset considered here (Bodenmiller et al., 2012; Bruggner et al., 2014) we want to use all the 10 lineage markers, so that there is no explicit need to restrict the set of cell surface markers. There may be other situations where this feature selection step would be of interest.
## Define a function that calculates the NRS per sample NRS <- function(x, ncomp = 3){ pr <- prcomp(x, center = TRUE, scale. = FALSE) score <- rowSums(outer(rep(1, ncol(x)), pr$sdev[1:ncomp]^2) * abs(pr$rotation[,1:ncomp])) return(score) } ## Calculate the score nrs_sample <- fsApply(fcs[, lineage_markers], NRS, use.exprs = TRUE) rownames(nrs_sample) <- md$sample_id nrs <- colMeans(nrs_sample, na.rm = TRUE) ## Plot the NRS for ordered markers lineage_markers_ord <- names(sort(nrs, decreasing = TRUE)) nrs_sample <- data.frame(nrs_sample) nrs_sample$sample_id <- rownames(nrs_sample) ggdf <- melt(nrs_sample, id.var = "sample_id", value.name = "nrs", variable.name = "antigen") ggdf$antigen <- factor(ggdf$antigen, levels = lineage_markers_ord) mm <- match(ggdf$sample_id, md$sample_id) ggdf$condition <- md$condition[mm] ggplot(ggdf, aes(x = antigen, y = nrs)) + geom_point(aes(color = condition), alpha = 0.9, position = position_jitter(width = 0.3, height = 0)) + geom_boxplot(outlier.color = NA, fill = NA) + stat_summary(fun.y = "mean", geom = "point", shape = 21, fill = "white") + theme_bw() + theme(axis.text.x = element_text(angle = 90, vjust = 0.5, hjust = 1)) + scale_color_manual(values = color_conditions)
Cell population identification typically has been carried out by manual gating, a method based on visual inspection of a series of two-dimensional scatterplots. At each step, a subset of cells, either positive or negative for the two visualized markers, is selected and further stratified in the subsequent iterations until populations of interest across a range of marker combinations are captured. However, manual gating has drawbacks, such as subjectivity, bias toward well-known cell types, and inefficiency when analyzing large datasets, which also contribute to a lack of reproducibility (Saeys et al., 2016).
Considerable effort has been made to improve and automate cell population identification, such as unsupervised clustering (Aghaeepour et al., 2013). However, not all methods scale well in terms of performance and speed from the lower dimensionality flow cytometry data to the higher dimensionality mass cytometry data (Weber & Robinson, 2016), since clustering in higher dimensions can suffer the “curse of dimensionality”.
Beside the mathematical and algorithmic challenges of clustering, cell population identification may be difficult due to the chemical and biological aspects of the cytometry experiment itself. Therefore, caution should be taken when designing panels aimed at detecting rare cell populations by assigning higher sensitivity metals to rare markers. The right choice of a marker panel used for clustering can also be important. It should include all markers that are relevant for cell type identification.
In this workflow, we conduct cell clustering with FlowSOM (Van Gassen et al., 2015) and ConsensusClusterPlus (Wilkerson & Hayes, 2010), which appeared amongst the fastest and best performing clustering approaches in a recent study of HDCyto datasets (Weber & Robinson, 2016). This ensemble showed strong performance in detecting both high and low frequency cell populations and is one of the fastest methods to run, which enables its interactive usage. We use a slight modification of the original workflow presented in the FlowSOM vignette, which we find more flexible. In particular, we directly call the ConsensusClusterPlus function that is embedded in metaClustering_consensus. Thus, we are able to access all the functionality of the ConsensusClusterPlus package to identify the number of clusters.
The FlowSOM workflow consists of three main steps. First, a self-organizing map (SOM) is built using the BuildSOM function, where cells are assigned according to their similarities to 100 (by default) grid points (or, so-called codebook vectors or codes) of the SOM. The building of a minimal spanning tree, which is mainly used for graphical representation of the clusters, is skipped in this pipeline. And finally, metaclustering of the SOM codes, is performed directly with the ConsensusClusterPlus function. Additionally, we add an optional round of manual expert-based merging of the metaclusters and allow this to be done in a reproducible fashion.
FlowSOM output can be sensitive to random starts (Weber & Robinson, 2016). To make results reproducible, one must specify the seed for the random number generation in R using function set.seed. It is also advisable to rerun analyses with multiple random seeds, for two reasons. First, one can see how robust the detected clusters are, and second, when the goal is to find smaller cell populations, it may happen that, in some runs, random starting points do not represent rare cell populations, as the chance of selecting starting cells from them is low and they are merged into a larger cluster.
It is important to point out that we cluster all cells from all samples together. This strategy is beneficial, since we label cell populations only once and the mapping of cell types between samples is automatically consistent. In our analysis, cell populations are identified using only the 10 lineage markers as defined in the BuildSOM function with the colsToUse argument.
library(FlowSOM) fsom <- ReadInput(fcs, transform = FALSE, scale = FALSE) set.seed(1234) som <- BuildSOM(fsom, colsToUse = lineage_markers)
Automatic approaches for selecting the number of clusters in HDCyto data do not always succeed (Weber & Robinson, 2016). In general, we therefore recommend some level of over-clustering, and if desired, manual merging of clusters. Such a hierarchical approach is especially suited when the goal is to detect smaller cell populations.
The SPADE analysis performed by Bodenmiller et al. (Bodenmiller et al., 2012) identified 6 main cell types (T-cells, monocytes, dendritic cells, B-cells, NK cells and surface- cells) that were further stratified into 14 more specific subpopulations (CD4+ T-cells, CD8+ T-cells, CD14+ HLA-DR high monocytes, CD14+ HLA-DR med monocytes, CD14+ HLA-DR low monocytes, CD14- HLA-DR high monocytes, CD14- HLA-DR med monocytes, CD14- HLA-DR low monocytes, dendritic cells, IgM+ B-cells, IgM-B-cells, NK cells, surface- CD14+ cells and surface-CD14- cells). In our analysis, we are interested in identifying the 6 main PBMC populations, including: CD4+ T-cells, CD8+ T-cells, monocytes, dendritic cells, NK cells and B-cells. Following the concept of over-clustering we perform the metaclustering of the (by default) 100 SOM codes into more than expected number of groups. For example, stratification into 20 groups should give enough resolution. We can explore the clustering in a wide variety of visualizations: t-SNE plots, heatmaps and a plot generated by ConsensusClusterPlus called “delta area”.
We call ConsensusClusterPlus with maximum number of clusters maxK = 20 and other clustering parameters set to the values as in the metaClustering_consensus function. Again, to ensure that the analyses are reproducible, we define the random seed.
## Metaclustering into 20 clusters with ConsensusClusterPlus library(ConsensusClusterPlus) codes <- som$map$codes plot_outdir <- "consensus_plots" nmc <- 20 mc <- ConsensusClusterPlus(t(codes), maxK = nmc, reps = 100, pItem = 0.9, pFeature = 1, title = plot_outdir, plot = "png", clusterAlg = "hc", innerLinkage = "average", finalLinkage = "average", distance = "euclidean", seed = 1234) ## Get cluster ids for each cell code_clustering1 <- mc[[nmc]]$consensusClass cell_clustering1 <- code_clustering1[som$map$mapping[,1]]
We can then investigate characteristics of identified clusters with heatmaps that illustrate median marker expression in each cluster (see Figure 6). As the range of marker expression can vary substantially from marker to marker, we use the 0-1 transformed data for some visualizations. However, to stay consistent with FlowSOM and ConsensusClusterPlus, we use the (arcsinh-transformed) unscaled data to generate the dendrogram of the hierarchical structure of metaclusters.

The color in the heatmap represents the median of the arcsinh, 0-1 transformed marker expression. The dendrogram on the left represents the hierarchical similarity between the 20 metaclusters (metric: Euclidean distance; linkage: average). Values in the brackets indicate the relative size of a given cluster.
Instead of using only medians, which do not give a full representation of cluster specifics, one can plot the entire marker expression distribution in each cluster (see Figure 7). Such a plot gives more detailed profile of each cluster, but represents an increase in the amount of information to interpret. Heatmaps give the overall overview of clusters, are quicker and easier to interpret, and together with the dendrogram can be a good basis for further cluster merging (see Cluster merging and annotation section).

Blue densities represent marker expression for cells in the given cluster. Grey densities are calculated from all the cells and serve as a reference.
Since we will use the heatmap and density plots again later on in this workflow, in code chunks below, we create wrapper functions that generate these two types of plots.
color_clusters <- c("#DC050C", "#FB8072", "#1965B0", "#7BAFDE", "#882E72", "#B17BA6", "#FF7F00", "#FDB462", "#E7298A", "#E78AC3", "#33A02C", "#B2DF8A", "#55A1B1", "#8DD3C7", "#A6761D", "#E6AB02", "#7570B3", "#BEAED4", "#666666", "#999999", "#aa8282", "#d4b7b7", "#8600bf", "#ba5ce3", "#808000", "#aeae5c", "#1e90ff", "#00bfff", "#56ff0d", "#ffff00")
plot_clustering_heatmap_wrapper <- function(expr, expr01, cell_clustering, color_clusters, cluster_merging = NULL){ # Calculate the median expression expr_median <- data.frame(expr, cell_clustering = cell_clustering) %>% group_by(cell_clustering) %>% summarize_each(funs(median)) expr01_median <- data.frame(expr01, cell_clustering = cell_clustering) %>% group_by(cell_clustering) %>% summarize_each(funs(median)) # Calculate cluster frequencies clustering_table <- as.numeric(table(cell_clustering)) # This clustering is based on the markers that were used for the main clustering d <- dist(expr_median[, colnames(expr)], method = "euclidean") cluster_rows <- hclust(d, method = "average") expr_heat <- as.matrix(expr01_median[, colnames(expr01)]) rownames(expr_heat) <- expr01_median$cell_clustering labels_row <- paste0(rownames(expr_heat), " (", round(clustering_table / sum(clustering_table) * 100, 2), "%)") labels_col <- colnames(expr_heat) # Row annotation for the heatmap annotation_row <- data.frame(cluster = factor(expr01_median$cell_clustering)) rownames(annotation_row) <- rownames(expr_heat) color_clusters <- color_clusters[1:nlevels(annotation_row$cluster)] names(color_clusters) <- levels(annotation_row$cluster) annotation_colors <- list(cluster = color_clusters) annotation_legend <- FALSE
if(!is.null(cluster_merging)){
cluster_merging$new_cluster <- factor(cluster_merging$new_cluster) annotation_row$cluster_merging <- cluster_merging$new_cluster color_clusters <- color_clusters[1:nlevels(cluster_merging$new_cluster)] names(color_clusters) <- levels(cluster_merging$new_cluster) annotation_colors$cluster_merging <- color_clusters annotation_legend <- TRUE } # Colors for the heatmap color <- colorRampPalette(rev(brewer.pal(n = 9, name = "RdYlBu")))(100) pheatmap(expr_heat, color = color, cluster_cols = FALSE, cluster_rows = cluster_rows, labels_col = labels_col, labels_row = labels_row, display_numbers = TRUE, number_color = "black", fontsize = 8, fontsize_number = 4, annotation_row = annotation_row, annotation_colors = annotation_colors, annotation_legend = annotation_legend) } plot_clustering_heatmap_wrapper(expr = expr[, lineage_markers_ord], expr01 = expr01[, lineage_markers_ord], cell_clustering = cell_clustering1, color_clusters = color_clusters)
plot_clustering_distr_wrapper <- function(expr, cell_clustering){ cell_clustering <- factor(cell_clustering) expr_median <- data.frame(expr, cell_clustering = cell_clustering) %>% group_by(cell_clustering) %>% summarize_each(funs(median)) d <- dist(expr_median[, colnames(expr)], method = "euclidean")
cluster_rows <- hclust(d, method = "average") cell_clustering <- factor(cell_clustering, levels = levels(cell_clustering)[cluster_rows$order]) freq_clust <- table(cell_clustering) freq_clust <- round(as.numeric(freq_clust)/sum(freq_clust)*100, 2) cell_clustering <- factor(cell_clustering, labels = paste0(levels(cell_clustering), " \n(", freq_clust, "%)")) ggd <- melt(data.frame(cluster = cell_clustering, expr), id.vars = "cluster", value.name = "expression", variable.name = "antigen") ggd$antigen <- factor(ggd$antigen, levels = colnames(expr)) ggplot(data = ggd, aes(x = expression, y = ..scaled..)) + geom_density(data = transform(ggd, cluster = NULL), color = "darkgrey", fill = "black", adjust = 1, alpha = 0.3) + geom_density(color = "blue", fill = "blue", adjust = 1, alpha = 0.3) + facet_grid(cluster ~ antigen, scales = "free") + theme_bw() + theme(axis.text.x = element_text(angle = 90, hjust = 1), axis.text = element_text(size = 5), strip.text = element_text(size = 5)) } plot_clustering_distr_wrapper(expr = expr[, lineage_markers_ord], cell_clustering = cell_clustering1)
One of the most popular plots for representing single cell data are t-SNE plots, where each cell is represented in a lower, usually two-dimensional, space computed using t-stochastic neighbor embedding (t-SNE) (Van Der Maaten & Hinton, 2008). More generally, dimensionality reduction techniques represent the similarity of points in 2 or 3 dimensions, such that similar objects in high dimensional space are also similar in lower dimensional space. Mathematically, there are a myriad of ways to define this similarity. For example, principal components analysis (PCA) uses linear combinations of the original features to find orthogonal dimensions that show the highest levels of variability; the top 2 or 3 principal components can then be visualized.
Nevertheless, there are few notes of caution when using t-SNE or any other dimensionality reduction technique. Since they are based on preserving similarities between cells, those that are similar in the original space will be close in the 2D/3D representation, but the opposite does not always hold. In our experience, t-SNE with default parameters for HDCyto data is often suitable; for more guidance on the specifics of t-SNE, see How to Use t-SNE Effectively (Wattenberg et al., 2016). Due to the stochastic nature of t-SNE optimization, rerunning the method will result in different lower dimensional projections, thus it is advisable to run it a few times to identify the common trends and get a feeling about the variability of the results. As with other methods, to be sure that the analysis is reproducible, the user can define the random seed.
t-SNE is a method that requires significant computational time to process the data even for tens of thousands of cells. CyTOF datasets are usually much larger and thus to keep running times reasonable, one may use a subset of cells; for example, here we use 2000 cells from each sample. The t-SNE map below is colored according to the expression level of the CD4 marker, highlighting that the CD4+ T-cells are placed to the left side of the plot (see Figure 8). In this way, one can use a collection of markers to highlight where cell types of interest are located on the map.

From each of the 16 samples, 2000 cells were randomly selected. Cells are colored according to the expression level of the CD4 marker.
Instead of t-SNE, one could also use other dimension reduction techniques, such as PCA, diffusion maps, SIMLR (Wang et al., 2017) or isomaps, some of which are conveniently available via the cytof_dimReduction function from the cytofkit package (Chen et al., 2016). To speed up the t-SNE analysis, one could use a multicore version that is available via the Rtsne.multicore package. Alternative algorithms, such as largeVis (Tang et al., 2016) (available via the largeVis package), can be used for dimensionality reduction of very large datasets without downsampling. Alternatively, the dimensionality reduction can be performed on the codes of the SOM, at a resolution specified by the user (see Figure 12).
## Find and skip duplicates dups <- which(!duplicated(expr[, lineage_markers])) ## Data subsampling: create indices by sample inds <- split(1:length(sample_ids), sample_ids) ## How many cells to downsample per-sample tsne_ncells <- pmin(table(sample_ids), 2000) ## Get subsampled indices
set.seed(1234) tsne_inds <- lapply(names(inds), function(i){ s <- sample(inds[[i]], tsne_ncells[i], replace = FALSE) intersect(s, dups) }) tsne_inds <- unlist(tsne_inds) tsne_expr <- expr[tsne_inds, lineage_markers]
## Run t-SNE library(Rtsne) set.seed(1234) tsne_out <- Rtsne(tsne_expr, check_duplicates = FALSE, pca = FALSE)
## Plot t-SNE colored by CD4 expression dr <- data.frame(tSNE1 = tsne_out$Y[, 1], tSNE2 = tsne_out$Y[, 2], expr[tsne_inds, lineage_markers]) ggplot(dr, aes(x = tSNE1, y = tSNE2, color = CD4)) + geom_point(size = 0.8) + theme_bw() + scale_color_gradientn("CD4", colours = colorRampPalette(rev(brewer.pal(n = 11, name = "Spectral")))(50))
We can color the cells by cluster. Ideally, cells of the same color should be close to each other (see Figure 9). When the plots are further stratified by sample (see Figure 10), we can verify whether similar cell populations are present in all replicates, which can help in identifying outlying samples. Optionally, stratification can be done by condition (see Figure 11). With such a spot-check plot, we can inspect whether differences in cell abundance are strong between conditions, and we can identify distinguishing clusters.

From each of the 16 samples, 2000 cells were randomly selected. Cells are colored according to the 20 cell populations obtained with FlowSOM after the metaclustering step with ConsensusClusterPlus.


dr$sample_id <- sample_ids[tsne_inds] mm <- match(dr$sample_id, md$sample_id) dr$condition <- md$condition[mm] dr$cell_clustering1 <- factor(cell_clustering1[tsne_inds], levels = 1:nmc) ## Plot t-SNE colored by clusters ggp <- ggplot(dr, aes(x = tSNE1, y = tSNE2, color = cell_clustering1)) + geom_point(size = 0.8) + theme_bw() + scale_color_manual(values = color_clusters) + guides(color = guide_legend(override.aes = list(size = 4), ncol = 2)) ggp
## Facet per sample ggp + facet_wrap(~ sample_id)
## Facet per condition ggp + facet_wrap(~ condition)
The SOM codes represent characteristics of the 100 (by default) clusters generated in the first step of the FlowSOM pipeline. Their visualization can also be helpful in understanding the cell population structure and determining the number of clusters. Ultimately, the metaclustering step uses the codes and not the original cells. We treat the codes as new representative cells and apply the t-SNE dimension reduction to visualize them in 2D (see Figure 12). The size of the points corresponds to the number of cells that were assigned to a given code. The points are colored according to the results of metaclustering. Since we have only 100 data points, the t-SNE analysis is fast.

(A) t-SNE plot and (B) PCA plot representing the 100 SOM codes in the PBMC dataset colored according to the metaclustering with ConsensusClusterPlus into 20 cell populations. The SOM codes represent characteristics of the 100 (by default) clusters generated in the first step of the FlowSOM pipeline. The size of the points corresponds to the number of cells that were assigned to a given code.
As there are multiple ways to mathematically define similarity in high dimensional space, it is always good practice visualizing projections from other methods to see how consistent the observed patterns are. For instance, we also represent the FlowSOM codes via the first two principal components (see Figure 12).
## Get code sizes; sometimes not all the codes have mapped cells so they will have size 0 code_sizes <- table(factor(som$map$mapping[, 1], levels = 1:nrow(codes))) code_sizes <- as.numeric(code_sizes)
## Run t-SNE on codes set.seed(1234) tsne_out <- Rtsne(codes, pca = FALSE) ## Run PCA on codes pca_out <- prcomp(codes, center = TRUE, scale. = FALSE)
codes_dr <- data.frame(tSNE1 = tsne_out$Y[, 1], tSNE2 = tsne_out$Y[, 2], PCA1 = pca_out$x[, 1], PCA2 = pca_out$x[, 2]) codes_dr$code_clustering1 <- factor(code_clustering1) codes_dr$size <- code_sizes ## Plot t-SNE on codes gg_tsne_codes <- ggplot(codes_dr, aes(x = tSNE1, y = tSNE2, color = code_clustering1, size = size)) + geom_point(alpha = 0.9) + theme_bw() + scale_color_manual(values = color_clusters, guide = FALSE) + theme(legend.position = "bottom")
## Plot PCA on codes gg_pca_codes <- ggplot(codes_dr, aes(x = PCA1, y = PCA2, color = code_clustering1, size = size)) + geom_point(alpha = 0.9) + theme_bw() + scale_color_manual(values = color_clusters) + guides(color = guide_legend(override.aes = list(size = 4), nrow = 2)) + scale_size(guide = FALSE) + theme(legend.position = "top") library(cowplot) plot_grid(gg_tsne_codes, gg_pca_codes, ncol = 1, labels = c(’A’, ’B’))
In our experience, manual merging of clusters leads to slightly different results compared to an algorithm with a specified number of clusters. In order to detect somewhat rare populations, some level of over-clustering is necessary so that the more subtle populations become separated from the main populations. In addition, merging can always follow an over-clustering step, but splitting of existing clusters is not generally feasible.
In our setup, over-clustering is also useful when the interest is identifying the “natural” number of clusters present in the data. In addition to the t-SNE plots, one could investigate the delta area plot from the ConsensusClusterPlus package and the hierarchical clustering dendrogram of the over-clustered subpopulations, as shown below.
In our example, we expect around 6 specific cell types, and we have performed FlowSOM clustering into 20 groups as a reasonable over-estimate. After analyzing the heatmaps and t-SNE plots, we can clearly see that stratification of the data into 20 clusters may be too strong. Many clusters are placed very close to each other, indicating that they could be merged together. The same can be deduced from the heatmaps, highlighting that marker expression patterns for some neighboring clusters are very similar. Cluster merging and annotating is somewhat manual, based partially on visual inspection of t-SNE plots and heatmaps and thus, benefits from expert knowledge of the cell types.
In our experience, the main reference for manual merging of clusters is the heatmap of marker characteristics across metaclusters, with dendrograms showing the hierarchy of similarities. Such plots aggregate information over many cells and thus show average marker expression for each cluster. Together with dimensionality reduction, these plots give good insight into the relationships between clusters and the marker levels within each cluster. Given expert knowledge of the cell types and markers, it is then left to the researcher to decide how exactly to merge clusters (e.g., with higher weight given to some markers).
The dendrogram highlights the similarity between the metaclusters and can be used explicitly for the merging. However, there are reasons why we would not always follow the dendrogram exactly. In general, when it comes to clustering, blindly following the hierarchy of codes will lead to identification of populations of similar cells, but it does not necessarily mean that they are of biological interest. The distances between metaclusters are calculated across all the markers, and it may be that some markers carry higher weight for certain cell types. In addition, different linkage methods may lead to different hierarchy, especially when clusters are not fully distinct. Another aspect to consider in cluster merging is the cluster size, represented in the parentheses next to the cluster label in our plots. If the cluster size is very small, but the cluster seems relevant and distinct, one can keep it as separate. However, if it is small and different from the neighboring clustering only in a somewhat unimportant marker, it could be merged. And, if some of the metaclusters do not represent any specific cell types, they could be dropped out of the downstream analysis instead of being merged. However, in case an automated solution for cluster merging is truly needed, one could use the cutree() function applied to the dendrogram.
Based on the seed that was set, cluster merging of the 20 metaclusters is defined in the PBMC8_cluster_merging1.xlsx file on the Robinson Lab server with the IDs of the original clusters and new cluster names, and we save it as a cluster_merging1 data frame. The expert has annotated 8 cell populations: CD8 T-cells, CD4 T-cells, B-cells IgM-, B-cells IgM+, NK cells, dendritic cells (DCs), monocytes and surface negative cells; monocytes could be further subdivided based on HLA-DR into high, medium and low subtypes.
cluster_merging1_filename <- "PBMC8_cluster_merging1.xlsx" download.file(file.path(url, cluster_merging1_filename), destfile = cluster_merging1_filename) cluster_merging1 <- read_excel(cluster_merging1_filename) data.frame(cluster_merging1)
## original_cluster new_cluster
## 1 1 B-cells IgM+
## 2 2 surface-
## 3 3 NK cells
## 4 4 CD8 T-cells
## 5 5 B-cells IgM-
## 6 6 monocytes
## 7 7 monocytes
## 8 8 CD8 T-cells
## 9 9 CD8 T-cells
## 10 10 monocytes
## 11 11 monocytes
## 12 12 CD4 T-cells
## 13 13 DC
## 14 14 CD8 T-cells
## 15 15 CD4 T-cells
## 16 16 DC
## 17 17 CD4 T-cells
## 18 18 CD4 T-cells
## 19 19 CD4 T-cells
## 20 20 CD4 T-cells## New clustering1m mm <- match(cell_clustering1, cluster_merging1$original_cluster) cell_clustering1m <- cluster_merging1$new_cluster[mm] mm <- match(code_clustering1, cluster_merging1$original_cluster) code_clustering1m <- cluster_merging1$new_cluster[mm]
We update the t-SNE plot with the new annotated cell populations, Figure 13.

From each of the 16 samples, 2000 cells were randomly selected. Cells are colored according to the manual merging of the 20 cell populations obtained with FlowSOM into 8 PBMC populations.
dr$cell_clustering1m <- factor(cell_clustering1m[tsne_inds]) ggplot(dr, aes(x = tSNE1, y = tSNE2, color = cell_clustering1m)) + geom_point(size = 0.8) + theme_bw() + scale_color_manual(values = color_clusters) + guides(color = guide_legend(override.aes = list(size = 4)))
One of the usefull representations of merging is a heatmap of median marker expression in each of the original clusters, which are labeled according to the proposed merging, Figure 14.
plot_clustering_heatmap_wrapper(expr = expr[, lineage_markers_ord], expr01 = expr01[, lineage_markers_ord], cell_clustering = cell_clustering1, color_clusters = color_clusters, cluster_merging = cluster_merging1)

To get a final summary of the annotated cell types, one can plot a heatmap of median marker expression, calculated based on the cells in each of the annotated populations, Figure 15.

The heat represents the median of arcsinh and 0-1 transformed marker expression. Values in the brackets indicate the relative size of each of the cell populations across all the samples.
The ConsensusClusterPlus package provides visualizations that can help to understand the metaclustering process and the characteristics of the analyzed data. For example, the delta area plot (see Figure 16) highlights the amount of extra cluster stability gained when clustering into k groups as compared to k-1 groups (from k=2 to k=20). It can be expected that high stability of clusters can be reached when clustering into the number of groups that best fits the data. Thus, using the delta area plot could help finding the “natural” number of clusters present in the data, which would correspond to the value of k where there is no appreciable increase in stability. This strategy can be referred as the “elbow criterion”. For more details about the meaning of this plot, the user can refer to the original description of the consensus clustering method (Monti et al., 2003).

The delta area score (y-axis) indicates the relative increase in cluster stability obtained when clustering the 100 SOM codes generated by FlowSOM into k groups (x-axis).
The elbow criterion is quite subjective since the “appreciable” increase is not defined exactly. For example, in the delta plot below, we could say that the last point before plateau is for k=6, or for k=5, or for k=3, depending on our perception of sufficient decrease of the delta area score. Moreover, the exact point where a plateau is reached may vary for runs with different random seeds, the drop may not always be so sharp and and the function is not guaranteed to be decreasing. It is advisable to investigate more of those plots and the resulting t-SNE and heatmaps before drawing any conclusions about the final number of “natural” clusters.
Manual merging of up to 20 clusters can be laborious. To simplify this task, one could reduce the strength of over-clustering and allow the metaclustering method to do a part of the merging, which then can be completed manually. Analyzing the delta plot from the right side, we can see how much we can reduce the strength of over-clustering while still obtaining stable clusters. In parallel, one should check the heatmaps to see whether the less stringent stratification is able to capture cell populations of interest.
knitr::include_graphics("consensus_plots/consensus022.png")
As an example, we chose to reduce the strength of metaclustering to 12 groups.
## Get cluster ids for each cell nmc2 <- 12 code_clustering2 <- mc[[nmc2]]$consensusClass cell_clustering2 <- code_clustering2[som$map$mapping[, 1]]
In the t-SNE plot (see Figure 17), we can see that many small clusters obtained when stratifying data into 20 groups are now merged together, which should simplify the new cluster annotation.

From each of the 16 samples, 2000 cells were randomly selected. Cells are colored according to the 12 cell populations obtained with FlowSOM after the metaclustering step with ConsensusClusterPlus.
dr$cell_clustering2 <- factor(cell_clustering2[tsne_inds], levels = 1:nmc2) ggplot(dr, aes(x = tSNE1, y = tSNE2, color = cell_clustering2)) + geom_point(size = 0.8) + theme_bw() + scale_color_manual(values = color_clusters) + guides(color = guide_legend(override.aes = list(size = 4), ncol = 2))
plot_clustering_heatmap_wrapper(expr = expr[, lineage_markers_ord], expr01 = expr01[, lineage_markers_ord], cell_clustering = cell_clustering2, color_clusters = color_clusters)
Over-clustering into as few as 12 groups still allows us to identify the same 8 cell populations as when merging 20 clusters (see Figure 18–Figure 21), but it is simpler to define since fewer profiles need to be manually scanned. The expert-based merging is saved in the PBMC8_cluster_merging2.xlsx file on the Robinson Lab server.

The heat represents the median of arcsinh and 0-1 transformed marker expression. The dendrogram on the left represents the hierarchical similarity between the 12 metaclusters (metric: Euclidean distance; linkage: average). Values in the brackets indicate the relative size of a given cluster.

From each of the 16 samples, 2000 cells were randomly selected. Cells are colored according to the 12 metaclusters obtained with FlowSOM after the metaclustering step with ConsensusClusterPlus.


The heat represents the median of arcsinh and 0-1 transformed marker expression. Values in the brackets indicate the relative size of each of the cell populations across all the samples.
cluster_merging2_filename <- "PBMC8_cluster_merging2.xlsx" download.file(file.path(url, cluster_merging2_filename), destfile = cluster_merging2_filename) cluster_merging2 <- read_excel(cluster_merging2_filename) data.frame(cluster_merging2)
## original_cluster new_cluster
## 1 1 B-cells IgM+
## 2 2 surface-
## 3 3 NK cells
## 4 4 CD8 T-cells
## 5 5 B-cells IgM-
## 6 6 monocytes
## 7 7 CD8 T-cells
## 8 8 CD8 T-cells
## 9 9 monocytes
## 10 10 CD8 T-cells
## 11 11 DC
## 12 12 CD8 T-cells## New clustering2m mm <- match(cell_clustering2, cluster_merging2$original_cluster) cell_clustering2m <- cluster_merging2$new_cluster[mm]
dr$cell_clustering2m <- factor(cell_clustering2m[tsne_inds]) gg_tsne_cl2m <- ggplot(dr, aes(x = tSNE1, y = tSNE2, color = cell_clustering2m)) + geom_point(size = 0.8) + theme_bw() + scale_color_manual(values = color_clusters) + guides(color = guide_legend(override.aes = list(size = 4))) gg_tsne_cl2m
plot_clustering_heatmap_wrapper(expr = expr[, lineage_markers_ord], expr01 = expr01[, lineage_markers_ord], cell_clustering = cell_clustering2, color_clusters = color_clusters, cluster_merging = cluster_merging2)
plot_clustering_heatmap_wrapper(expr = expr[, lineage_markers_ord], expr01 = expr01[, lineage_markers_ord], cell_clustering = cell_clustering2m, color_clusters = color_clusters)
The manual merging of 20 (or 12) clusters by an expert resulted in identification of 8 cell populations. To highlight the impact of manual merging versus algorithm-defined subpopulations, we compare to the results of an automated cluster merging that is set to stratify the data also into 8 clusters. We extract the result from the ConsensusClusterPlus output. Out of interest, we can see which clusters are split by tabulating the cell labels.
## Get cluster ids for each cell nmc3 <- 8 code_clustering3 <- mc[[nmc3]]$consensusClass cell_clustering3 <- code_clustering3[som$map$mapping[, 1]]
# tabular comparison of cell_clustering3 and cell_clustering2m table(algorithm=cell_clustering3, manual=cell_clustering2m)
## manual ## algorithm B-cells IgM+ B-cells IgM- CD4 T-cells CD8 T-cells DC NK cells ## 1 6651 0 0 0 0 0 ## 2 0 0 0 0 0 0 ## 3 0 0 0 32112 0 24518 ## 4 0 3265 0 0 0 0 ## 5 0 0 0 0 0 0 ## 6 0 0 2603 19038 0 0 ## 7 0 0 60287 0 0 0 ## 8 0 0 0 0 1980 0 ## manual ## algorithm monocytes surface- ## 1 0 0 ## 2 0 3901 ## 3 0 0 ## 4 0 0 ## 5 18436 0 ## 6 0 0 ## 7 0 0 ## 8 0 0
In the t-SNE map (see Figure 22), we can see that part of the new cell populations (cluster 7, 1 and 4, 2, 5 and 8) overlap substantially with populations obtained by the means of manual merging (CD4 T-cells, B-cells, surface-, monocytes and DC). However, cells that belong to clusters 3 and 6 are subdivided in a different manner according to the manual merging. Cluster 3 consists of CD8 T-cells and NK cells, and the latter cannot be identified anymore based on the heatmap corresponding to clustering into 8 groups (see Figure 23).
dr$cell_clustering3 <- factor(cell_clustering3[tsne_inds], levels = 1:nmc3) gg_tsne_cl3 <- ggplot(dr, aes(x = tSNE1, y = tSNE2, color = cell_clustering3)) + geom_point(size = 0.8) + theme_bw() + scale_color_manual(values = color_clusters) + guides(color = guide_legend(override.aes = list(size = 4))) plot_grid(gg_tsne_cl2m, gg_tsne_cl3, ncol = 1, labels = c(’A’, ’B’))
plot_clustering_heatmap_wrapper(expr = expr[, lineage_markers_ord], expr01 = expr01[, lineage_markers_ord], cell_clustering = cell_clustering3, color_clusters = color_clusters)

t-SNE plot with cells colored according to (A) the expert merging of 12 metaclusters obtained with FlowSOM into 8 PBMC populations; and (B) the 8 automatically detected with FlowSOM metaclusters.

The heat represents the median of arcsinh and 0-1 transformed marker expression. The dendrogram on the left represents the hierarchical similarity between the 8 metaclusters (metric: Euclidean distance; linkage: average). Values in the brackets indicate the relative size of a given cluster.
The example above highlights the difference between automatic clustering and manual merging of algorithm-generated clusters in the search for biologically meaningful cell populations. Automated and manual merging may give different weight to marker importance and thus result in different populations being detected. However, in our view, the manual merging done here in a reproducible fashion results in a more biologically meaningful cell stratification.
For the dataset used in this workflow (Bodenmiller et al., 2012; Bruggner et al., 2014), we perform three types of analyses that aim to identify subsets of PBMCs and signaling markers that respond to BCR/FcR-XL stimulation, by comparing stimulated samples to unstimulated samples. We first describe the differential abundance of the defined cell populations, followed by differential analysis of marker expression within each cluster. Finally, differential analysis of the overall aggregated marker expression could also be of interest.
The PBMC subset analyzed in this workflow originates from a paired experiment, where samples from 8 patients were treated with 12 different stimulation conditions for 30 minutes, together with unstimulated reference samples (Bodenmiller et al., 2012). This is a natural example where one would choose a mixed model to model the response (abundance or marker signal), and patients would be treated as a random effect. In this way, one can formally account for within-patient variability, observed to be quite strong in the MDS plot (see MDS plot section), and this should give a gain in power to detect differences between conditions.
We use the stats and lme4 packages to fit the fixed and mixed models, respectively, and the multcomp package for hypothesis testing. In all differential analyses here, we want to test for differences between the reference (Ref) and BCR/FcR-XL treatment (BCRXL). The fixed model formula is straightforward: ∼ condition, where condition indicates the treatment group. The corresponding full model design matrix consists of the intercept and dummy variable indicating the treated samples. In the presence of batches, one can include them in the model by using a formula ∼ condition + batch, or if they affect the treatment, a formula with interactions ∼ condition * batch.
For testing, we use the general linear hypotheses function glht, which allows testing of arbitrary hypotheses. The linfct parameter specifies the linear hypotheses to be tested. It should be a matrix where each row corresponds to one comparison (contrast), and the number of columns must be the same as in the design matrix. In our analysis, the contrast matrix indicates that the regression coefficient corresponding to conditionBCRXL is tested to be equal to zero; i.e. we test the null hypothesis that there is no effect of the BCR/FcR-XL treatment. The result of the test is a p-value, which indicates the probability of observing an as strong (or stronger) difference between the two conditions assuming the null hypothesis is true.
Testing is performed on each cluster and marker separately, resulting in 8 tests for differential abundance (one for each merged population), 14 tests for overall differential marker expression analysis and 8 ´ 14 tests for differential marker expression within-populations. Thus, to account for the multiple testing correction, we apply the Benjamini & Hochberg adjustment to each of them using an FDR cutoff of 5%.
library(lme4) library(multcomp) ## Model formula without random effects model.matrix( ∼ condition, data = md)
## (Intercept) conditionBCRXL ## 1 1 1 ## 2 1 0 ## 3 1 1 ## 4 1 0 ## 5 1 1 ## 6 1 0 ## 7 1 1 ## 8 1 0 ## 9 1 1 ## 10 1 0 ## 11 1 1 ## 12 1 0 ## 13 1 1 ## 14 1 0 ## 15 1 1 ## 16 1 0 ## attr(,"assign") ## [1] 0 1 ## attr(,"contrasts") ## attr(,"contrasts")$condition ## [1] "contr.treatment"
## Create contrasts contrast_names <- c("BCRXLvsRef") k1 <- c(0, 1) K <- matrix(k1, nrow = 1, byrow = TRUE, dimnames = list(contrast_names)) K
## [,1] [,2] ## BCRXLvsRef 0 1
FDR_cutoff <- 0.05
Differential analysis of cell population abundance compares the proportions of cell types across experimental conditions and aims to highlight populations that are present at different ratios. First, we calculate two tables: one that contains cell counts for each sample and population and one with the corresponding proportions of cell types by sample. The proportions are used only for plotting, since the statistical modeling takes the cell counts by cluster and sample as input.
counts_table <- table(cell_clustering1m, sample_ids) props_table <- t(t(counts_table) / colSums(counts_table)) * 100
counts <- as.data.frame.matrix(counts_table) props <- as.data.frame.matrix(props_table)
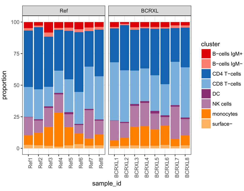
For each sample, we plot its PBMC cell type composition represented with colored bars, where the size of a given stripe reflects the proportion of the corresponding cell type in a given sample (see Figure 24).
ggdf <- melt(data.frame(cluster = rownames(props), props), id.vars = "cluster", value.name = "proportion", variable.name = "sample_id") ## Add condition info mm <- match(ggdf$sample_id, md$sample_id) ggdf$condition <- factor(md$condition[mm]) ggplot(ggdf, aes(x = sample_id, y = proportion, fill = cluster)) + geom_bar(stat = "identity") + facet_wrap(∼ condition, scales = "free_x") + theme_bw() + theme(axis.text.x = element_text(angle = 90, hjust = 1)) + scale_fill_manual(values = color_clusters)

The 8 cell populations are a result of manual merging of the 20 FlowSOM metaclusters.
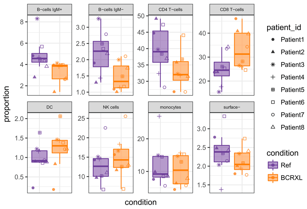
It may be quite hard to see the differences in cluster abundances in the plot above, especially for clusters with very low frequency. And, since boxplots cannot represent multimodal distributions, we show boxplots with jittered points of the sample-level cluster proportions overlaid (see Figure 25). The y-axes are scaled to the range of data plotted for each cluster, to better visualize the differences in frequency of lower abundance clusters. For this experiment, it may be interesting to additionally depict the patient information. We do this by plotting a different point shape for each patient. Indeed, we can see that often the direction of abundance changes between the two conditions are concordant among the patients.
ggdf$patient_id <- factor(md$patient_id[mm]) ggplot(ggdf) + geom_boxplot(aes(x = condition, y = proportion, color = condition, fill = condition), position = position_dodge(), alpha = 0.5, outlier.color = NA) + geom_point(aes(x = condition, y = proportion, color = condition, shape = patient_id), alpha = 0.8, position = position_jitterdodge()) + facet_wrap(∼ cluster, scales = "free", nrow = 2) + theme_bw() + theme(axis.text.x = element_blank(), axis.ticks.x = element_blank(), strip.text = element_text(size = 6)) + scale_color_manual(values = color_conditions) + scale_fill_manual(values = color_conditions) + scale_shape_manual(values = c(16, 17, 8, 3, 12, 0, 1, 2))

Different colors are used for the two conditions: unstimulated (Ref) and stimulated with BCR/FcR-XL (BCRXL). Values for each patient are indicated with different shape. The 8 cell populations are a result of manual merging of the 20 FlowSOM metaclusters.
As our goal is to compare proportions, one could take these values, transform them (e.g. logit) and use them as a dependent variable in a linear model. However, this approach does not take into account the uncertainty of proportion estimates, which is higher when ratios are calculated for samples with lower total cell counts. A distribution that naturally accounts for such uncertainty is the binomial distribution (i.e. logistic regression), which takes the cell counts as input (relative to the total for each sample). Nevertheless, as in the genomic data analysis, the pure logistic regression is not able to capture the overdispersion that is present in HDCyto data. A natural extension to model the extra variation is the generalized linear mixed model (GLMM), where the random effect is defined by the sample ID (Jia et al., 2014; Zhao et al., 2013). Additionally, in our example the patient pairing could be accounted in the model by incorporating a random intercept for each patient. Thus, we present two GLMMs. Both of them comprise a random effect defined by the sample ID to model the overdispersion in proportions. The second model includes a random effect defined by the patient ID to account for the experiment pairing.
In our model, the blocking variable is patient ID i = 1, ..., n, where n = 8. For each patient, there are ni samples measured, and j = 1, ..., ni indicates the sample ID. Here, ni = 2 for all i (one from reference and one from BCR/FcR-XL stimulated).
We assume that for a given cell population, the cell counts Yij follow a binomial distribution Yij ∼ Bin(mij, πij), where mij is a total number of cells in a sample corresponding to patient i and condition j. The generalized linear mixed model with observation-level random effects ξij is defined as follows:
where and xij corresponds to the conditionBCRXL column in the design matrix and indicates whether a sample ij belongs to the reference (xij = 0) or treated condition (xij = 1). Since E(Yij |β0, β1, ξij) = πij, the above formula can be written as follows:
The generalized linear mixed model that furthermore accounts for the patient pairing incorporates additionally a random intercept for each patient i:
Whereformula_glmer_binomial1 <- y/total ∼ condition + (1|sample_id) formula_glmer_binomial2 <- y/total ∼ condition + (1|patient_id) + (1|sample_id)
The wrapper function below takes as input a data frame with cell counts (each row is a population, each column is a sample), the metadata table, and the formula, and performs the differential analysis specified with contrast K for each population separately, returning a table with non-adjusted and adjusted p-values.
differential_abundance_wrapper <- function(counts, md, formula, K){ ## Fit the GLMM for each cluster separately ntot <- colSums(counts) fit_binomial <- lapply(1:nrow(counts), function(i){ data_tmp <- data.frame(y = as.numeric(counts[i, md$sample_id]), total = ntot[md$sample_id], md) fit_tmp <- glmer(formula, weights = total, family = binomial, data = data_tmp) ## Fit contrasts one by one out <- apply(K, 1, function(k){ contr_tmp <- glht(fit_tmp, linfct = matrix(k, 1)) summ_tmp <- summary(contr_tmp) pval <- summ_tmp$test$pvalues return(pval) }) return(out) }) pvals <- do.call(rbind, fit_binomial) colnames(pvals) <- paste0("pval_", contrast_names) rownames(pvals) <- rownames(counts) ## Adjust the p-values adjp <- apply(pvals, 2, p.adjust, method = "BH") colnames(adjp) <- paste0("adjp_", contrast_names) return(list(pvals = pvals, adjp = adjp)) }
We fit both of the GLMMs specified above. We can see that accounting for the patient pairing increases the sensitivity to detect differentially abundant cell populations.
da_out1 <- differential_abundance_wrapper(counts, md = md, formula = formula_glmer_binomial1, K = K) apply(da_out1$adjp < FDR_cutoff, 2, table)
## adjp_BCRXLvsRef
## FALSE 5
## TRUE 3da_out2 <- differential_abundance_wrapper(counts, md = md, formula = formula_glmer_binomial2, K = K) apply(da_out2$adjp < FDR_cutoff, 2, table)
## adjp_BCRXLvsRef
## FALSE 2
## TRUE 6An output table containing the observed cell population proportions in each sample and p-values can be assembled (and optionally written to a file).
da_output2 <- data.frame(cluster = rownames(props), props, da_out2$pvals, da_out2$adjp, row.names = NULL) print(head(da_output2), digits = 2)
## cluster BCRXL1 BCRXL2 BCRXL3 BCRXL4 BCRXL5 BCRXL6 BCRXL7 BCRXL8
## 1 B-cells IgM+ 3.95 1.43 4.1 3.8 3.9 4.0 2.6 2.7
## 2 B-cells IgM- 1.09 1.01 2.0 1.1 1.5 1.2 2.1 1.7
## 3 CD4 T-cells 26.81 35.78 32.3 31.8 36.7 44.1 26.8 31.5
## 4 CD8 T-cells 46.05 40.87 26.5 25.9 28.2 24.6 34.3 39.7
## 5 DC 0.18 0.83 1.5 1.4 2.1 1.4 1.2 1.2
## 6 NK cells 15.64 11.69 16.6 18.3 12.6 6.8 25.5 12.9
## Ref1 Ref2 Ref3 Ref4 Ref5 Ref6 Ref7 Ref8 pval_BCRXLvsRef
## 1 4.82 2.8 8.3 4.7 4.4 5.68 4.34 3.82 3.5e-08
## 2 1.90 1.3 3.3 1.4 2.5 2.34 2.79 2.19 2.2e-11
## 3 44.72 49.1 39.7 32.4 38.4 47.33 28.16 36.94 1.9e-03
## 4 23.66 23.8 15.5 17.6 26.0 25.31 33.49 34.21 1.2e-03
## 5 0.22 0.9 1.2 1.2 1.6 0.86 0.93 0.89 7.1e-05
## 6 14.31 9.7 15.1 14.5 10.2 6.67 22.54 10.99 4.5e-13
## adjp_BCRXLvsRef
## 1 9.2e-08
## 2 8.8e-11
## 3 2.5e-03
## 4 1.9e-03
## 5 1.4e-04
## 6 3.6e-12We use a heatmap to report the differential cell populations (see Figure 26). Proportions are first scaled with the arcsine-square-root transformation (as an alternative to logit that does not return NAs when ratios are equal to zero or one). Then, Z-score normalization is applied to each population to better highlight the relative differences between compared conditions. We created two wrapper functions: normalization_wrapper performs the normalization of submitted expression expr to mean 0 and standard deviation 1, and plot_differential_heatmap_wrapper generates a heatmap of submitted expression expr_norm, where samples are grouped by condition, indicated with a color bar on top of the plot. Additionally, labels of clusters contain the adjusted p-values in parenthesis.
normalization_wrapper <- function(expr, th = 2.5){ expr_norm <- apply(expr, 1, function(x){ sdx <- sd(x, na.rm = TRUE) if(sdx == 0){ x <- (x - mean(x, na.rm = TRUE)) }else{ x <- (x - mean(x, na.rm = TRUE)) / sdx } x[x > th] <- th x[x < -th] <- -th return(x) }) expr_norm <- t(expr_norm) }

plot_differential_heatmap_wrapper <- function(expr_norm, sign_adjp, condition, color_conditions, th = 2.5){ ## Order samples by condition oo <- order(condition) condition <- condition[oo] expr_norm <- expr_norm[, oo, drop = FALSE] ## Create the row labels with adj p-values and other objects for pheatmap labels_row <- paste0(rownames(expr_norm), " (", sprintf( "%.02e", sign_adjp), ")") labels_col <- colnames(expr_norm) annotation_col <- data.frame(condition = factor(condition)) rownames(annotation_col) <- colnames(expr_norm) annotation_colors <- list(condition = color_conditions) color <- colorRampPalette(c("#87CEFA", "#56B4E9", "#56B4E9", "#0072B2", "#000000", "#D55E00", "#E69F00", "#E69F00", "#FFD700"))(100) breaks = seq(from = -th, to = th, length.out = 101) legend_breaks = seq(from = -round(th), to = round(th), by = 1) gaps_col <- as.numeric(table(annotation_col$condition)) pheatmap(expr_norm, color = color, breaks = breaks, legend_breaks = legend_breaks, cluster_cols = FALSE, cluster_rows = FALSE, labels_col = labels_col, labels_row = labels_row, gaps_col = gaps_col, annotation_col = annotation_col, annotation_colors = annotation_colors, fontsize = 8) }
## Apply the arcsine-square-root transformation asin_table <- asin(sqrt((t(t(counts_table) / colSums(counts_table))))) asin <- as.data.frame.matrix(asin_table) ## Keep significant clusters and sort them by significance sign_clusters <- names(which(sort(da_out2$adjp[, "adjp_BCRXLvsRef"]) < FDR_cutoff)) ## Get the adjusted p-values sign_adjp <- da_out2$adjp[sign_clusters , "adjp_BCRXLvsRef", drop=FALSE] ## Keep samples for condition A and normalize to mean = 0 and sd = 1 asin_norm <- normalization_wrapper(asin[sign_clusters, ])
mm <- match(colnames(asin_norm), md$sample_id) plot_differential_heatmap_wrapper(expr_norm = asin_norm, sign_adjp = sign_adjp, condition = md$condition[mm], color_conditions = color_conditions)
For this part of the analysis, we calculate the median expression of the 14 signaling markers in each cell population (merged cluster) and sample. These will be used as the response variable Yij in the linear model (LM) or linear mixed model (LMM), for which we assume that the median marker expression follows a Gaussian distribution (on the already arcsinh-transformed scale). The linear model is formulated as follows:
where ∈ij ∼ N(0, σ2), and the mixed model includes a random intercept for each patient:
where In the current experiment, we have an intercept (basal level) and a single covariate, xij, which is represented as a binary (stimulated/unstimulated) variable. For more complicated designs or batch effects, additional columns of a design matrix can be used.
One drawback of summarizing the protein marker intensity with a median over cells is that all the other characteristics of the distribution, such as bimodality, skewness and variance, are ignored. On the other hand, it results in a simple, easy to interpret approach, which in many cases will be able to detect interesting changes. Another issue that arises from using a summary statistic is the level of uncertainty, which increases as the number of cells used to calculate it decreases. In the statistical modeling, this problem could be partially handled by assigning observation weights (number of cells) to each cluster and sample. However, since each cluster is tested separately, these weights do not account for the differences in size between clusters.
There might be instances of small cell populations for which no cells are observed in some samples or where the number of cells is very low. For clusters absent from a sample (e.g. due to biological variance or insufficient sampling), NAs are introduced because no median expression can be calculated; in the case of few cells, the median may be quite variable. Thus, we apply a filter to remove samples that have fewer than 5 cells. We also remove cases where marker expression is equal to zero in all the samples, as this leads to an error during model fitting.
## Get median marker expression per sample and cluster expr_median_sample_cluster_tbl <- data.frame(expr[, functional_markers], sample_id = sample_ids, cluster = cell_clustering1m) %>% group_by(sample_id, cluster) %>% summarize_each(funs(median)) ## Melt expr_median_sample_cluster_melt <- melt(expr_median_sample_cluster_tbl, id.vars = c("sample_id", "cluster"), value.name = "median_expression", variable.name = "antigen") ## Rearange so the rows represent clusters and markers expr_median_sample_cluster <- dcast(expr_median_sample_cluster_melt, cluster + antigen ∼ sample_id, value.var = "median_expression") rownames(expr_median_sample_cluster) <- paste0(expr_median_sample_cluster$cluster, "_", expr_median_sample_cluster$antigen) ## Eliminate clusters with low frequency clusters_keep <- names(which((rowSums(counts < 5) == 0))) keepLF <- expr_median_sample_cluster$cluster %in% clusters_keep expr_median_sample_cluster <- expr_median_sample_cluster[keepLF, ] ## Eliminate cases with zero expression in all samples keep0 <- rowSums(expr_median_sample_cluster[, md$sample_id]) > 0 expr_median_sample_cluster <- expr_median_sample_cluster[keep0, ]
It is helpful to plot the median expression of all the markers in each cluster for each sample colored by condition, to get a rough image of how strong the differences might be (see Figure 27). We do this by combining boxplots and jitter.
ggdf <- expr_median_sample_cluster_melt[expr_median_sample_cluster_melt$cluster %in% clusters_keep, ] ## Add info about samples mm <- match(ggdf$sample_id, md$sample_id) ggdf$condition <- factor(md$condition[mm]) ggdf$patient_id <- factor(md$patient_id[mm]) ggplot(ggdf) + geom_boxplot(aes(x = antigen, y = median_expression, color = condition, fill = condition), position = position_dodge(), alpha = 0.5, outlier.color = NA) + geom_point(aes(x = antigen, y = median_expression, color = condition, shape = patient_id), alpha = 0.8, position = position_jitterdodge(), size = 0.7) + facet_wrap(∼ cluster, scales = "free_y", ncol=2) + theme_bw() + theme(axis.text.x = element_text(angle = 90, vjust = 0.5, hjust = 1)) + scale_color_manual(values = color_conditions) + scale_fill_manual(values = color_conditions) + scale_shape_manual(values = c(16, 17, 8, 3, 12, 0, 1, 2))

Different colors are used for the two conditions unstimulated (Ref) and stimulated with BCR/FcR-XL (BCRXL). Values for each patient are indicated with different shape. The 8 cell populations are a result of manual merging of the 20 metaclusters.
We created a wrapper function differential_expression_wrapper that performs the differential analysis of marker expression. The user needs to specify a data frame expr_median with marker expression, where each column corresponds to a sample and each row to a cluster/marker combination. One can choose between fitting a regular linear model model = "lm" or a linear mixed model model = "lmer". The formula parameter must be adjusted adequately to the model choice. The wrapper function returns the non-adjusted and adjusted p-values for each of the specified contrasts K for each cluster/marker combination.
differential_expression_wrapper <- function(expr_median, md, model = "lmer", formula, K){ ## Fit LMM or LM for each marker separately fit_gaussian <- lapply(1:nrow(expr_median), function(i){ data_tmp <- data.frame(y = as.numeric(expr_median[i, md$sample_id]), md) switch(model, lmer = { fit_tmp <- lmer(formula, data = data_tmp) }, lm = { fit_tmp <- lm(formula, data = data_tmp) }) ## Fit contrasts one by one out <- apply(K, 1, function(k){ contr_tmp <- glht(fit_tmp, linfct = matrix(k, 1)) summ_tmp <- summary(contr_tmp) pval <- summ_tmp$test$pvalues return(pval) }) return(out) }) pvals <- do.call(rbind, fit_gaussian) colnames(pvals) <- paste0("pval_", contrast_names) rownames(pvals) <- rownames(expr_median) ## Adjust the p-values adjp <- apply(pvals, 2, p.adjust, method = "BH") colnames(adjp) <- paste0("adjp_", contrast_names) return(list(pvals = pvals, adjp = adjp)) }
To present how accounting for the within patient variability with the mixed model increases sensitivity, we also fit a regular linear model. The linear mixed model has a random intercept for each patient.
formula_lm <- y ∼ condition formula_lmer <- y ∼ condition + (1|patient_id)
By accounting for the patient effect, we detect almost twice as many cases of differential signaling compared to the regular linear model.
de_out1 <- differential_expression_wrapper(expr_median = expr_median_sample_cluster, md = md, model = "lm", formula = formula_lm, K = K) apply(de_out1$adjp < FDR_cutoff, 2, table)
## adjp_BCRXLvsRef
## FALSE 51
## TRUE 42de_out2 <- differential_expression_wrapper(expr_median = expr_median_sample_cluster, md = md, model = "lmer", formula = formula_lmer, K = K) apply(de_out2$adjp < FDR_cutoff, 2, table)
## adjp_BCRXLvsRef
## FALSE 23
## TRUE 70One can assemble together an output table with the information about median marker expression in each cluster and sample, and the obtained p-values.
de_output2 <- data.frame(expr_median_sample_cluster, de_out2$pvals, de_out2$adjp, row.names = NULL) print(head(de_output2), digits = 2)
## cluster antigen BCRXL1 BCRXL2 BCRXL3 BCRXL4 BCRXL5 BCRXL6 BCRXL7
## 1 B-cells IgM+ pNFkB 1.179 0.880 0.808 1.47 1.361 1.725 1.436
## 2 B-cells IgM+ pp38 0.109 -0.012 0.044 0.24 -0.046 0.083 -0.039
## 3 B-cells IgM+ pAkt 3.247 2.960 2.951 3.26 2.382 3.184 2.762
## 4 B-cells IgM+ pStat1 0.343 0.126 0.242 0.33 -0.010 0.616 -0.050
## 5 B-cells IgM+ pZap70 0.317 0.287 0.351 0.40 0.132 0.604 0.267
## 6 B-cells IgM+ pStat3 -0.047 -0.059 0.451 0.35 -0.058 -0.026 0.534
## BCRXL8 Ref1 Ref2 Ref3 Ref4 Ref5 Ref6 Ref7 Ref8
## 1 1.5747 1.9639 1.869 1.7726 2.1833 1.861 1.953 1.915 1.979
## 2 -0.0055 0.8891 1.113 0.8534 0.6424 0.126 0.210 0.128 0.126
## 3 3.1439 2.3195 2.310 2.2688 3.0858 1.729 2.024 2.145 2.603
## 4 0.3795 -0.0058 0.064 0.0079 0.5151 -0.047 0.030 -0.034 0.191
## 5 0.3202 -0.0198 -0.033 -0.0336 -0.0056 -0.061 -0.060 -0.032 -0.017
## 6 0.3092 -0.0479 -0.082 0.2652 0.1567 -0.060 -0.066 0.275 0.381
## pval_BCRXLvsRef adjp_BCRXLvsRef
## 1 6.1e-11 2.7e-10
## 2 7.5e-04 1.6e-03
## 3 2.6e-11 1.3e-10
## 4 6.2e-02 7.5e-02
## 5 1.6e-14 1.0e-13
## 6 5.6e-02 7.1e-02To report the significant results, we use a heatmap (see Figure 28). Instead of plotting the absolute expression, we display the normalized expression, which better highlights the direction of marker changes. Additionally, we order the cluster-marker instances by their significance and group them by cell type (cluster).
## Keep the significant markers, sort them by significance and group by cluster sign_clusters_markers <- names(which(de_out2$adjp[, "adjp_BCRXLvsRef"] < FDR_cutoff)) oo <- order(expr_median_sample_cluster[sign_clusters_markers, "cluster"], de_out2$adjp[sign_clusters_markers, "adjp_BCRXLvsRef"]) sign_clusters_markers <- sign_clusters_markers[oo]
## Get the significant adjusted p-values sign_adjp <- de_out2$adjp[sign_clusters_markers , "adjp_BCRXLvsRef"]
## Normalize expression to mean = 0 and sd = 1 expr_s <- expr_median_sample_cluster[sign_clusters_markers,md$sample_id] expr_median_sample_cluster_norm <- normalization_wrapper(expr_s)
mm <- match(colnames(expr_median_sample_cluster_norm), md$sample_id) plot_differential_heatmap_wrapper(expr_norm = expr_median_sample_cluster_norm, sign_adjp = sign_adjp, condition = md$condition[mm], color_conditions = color_conditions)
The analysis of overall expression is analogous to the previous section, except that median marker expression is aggregated from all the cells in a given sample, Figure 29.
ggdf <- melt(data.frame(expr_median_sample[functional_markers, ], antigen = functional_markers), id.vars = "antigen", value.name = "median_expression", variable.name = "sample_id") ## Add condition info mm <- match(ggdf$sample_id, md$sample_id) ggdf$condition <- factor(md$condition[mm]) ggdf$patient_id <- factor(md$patient_id[mm]) ggplot(ggdf) + geom_boxplot(aes(x = condition, y = median_expression, color = condition, fill = condition), position = position_dodge(), alpha = 0.5, outlier.color = NA) + geom_point(aes(x = condition, y = median_expression, color = condition, shape = patient_id), alpha = 0.8, position = position_jitterdodge()) + facet_wrap(∼ antigen, scales = "free", nrow = 4) + theme_bw() + theme(axis.text.x = element_blank(), axis.ticks.x = element_blank()) + scale_color_manual(values = color_conditions) +

Different colors are used for the two conditions unstimulated (Ref) and stimulated with BCR/FcR-XL (BCRXL). Values for each patient are indicated with different shape.
Similar to the analysis above, we identify more markers being differentially expressed with the LMM, which accounts for the within patient variability.
## Fit a linear model de_out3 <- differential_expression_wrapper(expr_median = expr_median_sample[functional_markers, ], md = md, model = "lm", formula = formula_lm, K = K) apply(de_out3$adjp < FDR_cutoff, 2, table)
## adjp_BCRXLvsRef
## FALSE 9
## TRUE 5## Fit a linear mixed model with patient ID as a random effect de_out4 <- differential_expression_wrapper(expr_median = expr_median_sample[functional_markers, ], md = md, model = "lmer", formula = formula_lmer, K = K) apply(de_out4$adjp < FDR_cutoff, 2, table)
## adjp_BCRXLvsRef
## FALSE 3
## TRUE 11As before, we create an output table with the median marker expression calculated in each sample and the p-values, and we plot a heatmap with the significant markers sorted by their statistical significance (Figure 30).
de_output4 <- data.frame(antigen = functional_markers, expr_median_sample[functional_markers, ], de_out4$pvals, de_out4$adjp) print(head(de_output4), digits=2)
## antigen BCRXL1 BCRXL2 BCRXL3 BCRXL4 BCRXL5 BCRXL6 BCRXL7 BCRXL8
## pNFkB pNFkB 1.070 0.520 1.144 1.7397 1.143 1.6951 1.195 1.245
## pp38 pp38 -0.052 -0.057 -0.024 -0.0034 -0.061 -0.0006 -0.064 -0.053
## pStat5 pStat5 -0.043 -0.058 -0.041 -0.0103 -0.075 -0.0404 -0.067 -0.060
## pAkt pAkt 3.053 2.727 2.876 3.2424 1.958 2.6068 2.075 2.416
## pStat1 pStat1 1.356 1.096 1.504 1.6960 0.535 1.9823 0.526 0.566
## pSHP2 pSHP2 -0.053 -0.057 -0.048 -0.0352 -0.073 -0.0435 -0.068 -0.065
## Ref1 Ref2 Ref3 Ref4 Ref5 Ref6 Ref7 Ref8
## pNFkB 2.392 2.469 2.670 2.940 1.979 2.025 1.980 1.985
## pp38 1.280 1.474 1.467 0.939 0.091 0.218 0.062 0.122
## pStat5 -0.049 -0.049 -0.040 0.100 -0.065 -0.063 -0.059 -0.052
## pAkt 2.416 2.122 2.300 3.273 1.443 1.573 1.680 2.114
## pStat1 0.889 0.930 1.474 2.056 0.493 1.097 0.416 0.549
## pSHP2 -0.071 -0.068 -0.059 -0.038 -0.080 -0.069 -0.073 -0.066
## pval_BCRXLvsRef adjp_BCRXLvsRef
## pNFkB 2.3e-09 1.1e-08
## pp38 1.0e-03 1.8e-03
## pStat5 3.0e-01 3.0e-01
## pAkt 3.0e-06 8.3e-06
## pStat1 1.9e-01 2.1e-01
## pSHP2 5.4e-04 1.1e-03
## Keep the significant markers and sort them by significance sign_markers <- names(which(sort(de_out4$adjp[, "adjp_BCRXLvsRef"]) < FDR_cutoff)) ## Get the adjusted p-values sign_adjp <- de_out4$adjp[sign_markers , "adjp_BCRXLvsRef"] ## Normalize expression to mean = 0 and sd = 1 expr_median_sample_norm <- normalization_wrapper(expr_median_sample[sign_markers, ]) mm <- match(colnames(expr_median_sample_norm), md$sample_id) plot_differential_heatmap_wrapper(expr_norm = expr_median_sample_norm, sign_adjp = sign_adjp, condition = md$condition[mm], color_conditions = color_conditions)
In this workflow, we have presented a pipeline for diverse differential analyses of HDCyto datasets. First, we highlight quality control steps, where aggregate characteristics of the samples are visualized (e.g. an MDS plot), allowing for verification of the experimental design, detection of batch effects and outlying samples. Next, cell population identification was carried out via clustering, which forms the basis for subsequent differential analyses of cell population abundance, differential marker expression within a population or overall marker expression differences. The approaches to differential analyses proposed here are very general and thus able to model complex experimental designs via design matrices, such as factorial experiments, paired experiments or adjustment for batch effects. We have presented a range of visualizations that help in understanding the data and reporting the results of clustering and differential analyses. The wrapper functions presented in this workflow may need to be tailored to the needs of a different experiment.
Clustering is one of the most challenging steps in the workflow, and its accuracy is critical to the downstream differential analyses. Getting the right resolution of clusters is crucial, since there can be situations where a biologically meaningful cell population may be differentially enriched between conditions, but in an automatic clustering, was combined with another cell population that behaves differently. While we have a good understanding of how computational algorithms recapitulate manual gating in high dimensions (Weber & Robinson, 2016), one of the open areas of research remains how to best cluster across samples. A recent approach uses a combination of high dimensional density estimation, hierarchical clustering and network inference and comparison to extract clusters across samples, with a possibility to handle batch effects (Li et al., 2017). In our approach, we aggregated all cells together before clustering. An alternative would be to cluster within each sample and then aggregate a collection of metaclusters across samples. Further research is required to better understand these effects, especially when batch effects are present.
The data analyzed here (Bodenmiller et al., 2012; Bruggner et al., 2014) was generated using sample barcoding; this strategy reduces intersample variability, since all samples are exposed to the same antibody cocktail and measured in a single acquisition (Zunder et al., 2015). Thus, the range of marker expression for each channel should, in principle, be within a similar range across samples. Additional challenges may arise when combining data from different instrument acquisitions and additional preprocessing treatments may need to be applied. Despite adjustments through bead-based normalization (Finck et al., 2013), the observed marker expression may be affected by the varying efficiency of antibody binding in each batch and by the ion detection sensitivity after machine calibration. Beyond normalization, other strategies have been proposed, such as equalizing the dynamic range between batches for each marker or the use of warping functions to eliminate non-linear distortions (see cydar vignette). However, a comprehensive evaluation of these approaches and their effect on downstream analyses is still missing. Overall, we expect that as a general rule, including batch parameters (or other covariates) in the linear modeling largely mitigates the problem.
We presented a classical statistical approach where preprocessing of the HDCyto data leads to tables of summaries (e.g. cell counts) or aggregated measurements (e.g. cluster-specific signals) for each samples, which become the input to statistical model. Of course, there are a variety of alternative computational approaches available to the user. We have mentioned citrus and CellCnn, which are both machine-learning approaches that fit a reverse model to ours (i.e. phenotype of interest as the response variable). Neither of these approaches are directly able to account for batch effects or complicated designs. However, they may have advantages in the search for rare distinguishing populations, which could be used together with our framework for formal statistical testing.
We have shown that some level of over-clustering is convenient for detecting meaningful cell populations, since automatic detection of the number of natural clusters is difficult (Weber & Robinson, 2016). However, there are tradeoffs between the resolution of clustering and the labor involved in aggregating them to biologically meaningful clusters. Overall, we take an interactive but flexible algorithm-guided approach together with subject-area experts to arrive at sensible cell populations. In particular, we rely on various visualizations, such as dendrograms, t-SNE maps or other dimension reduction techniques to guide us in the process. Alternative strategies could be combined with the statistical inference we present, such as over-clustering combined with data-driven aggregation to the optimal resolution.
One of the main goals of this workflow was to highlight how a model-based approach is able to handle complex experimental designs. This becomes important in many experimental situations where covariates (e.g. age, gender, batch) may affect the observed HDCyto data. Thus, the classical regression framework allows also to flexibly test situations well beyond two-group differences. Of course, alternatives exist for two group comparisons, such as the nonparametric Mann-Whitney-Wilcoxon test (Hartmann et al., 2016), which makes no assumptions about normality of the data, or the Student’s t-test (Pejoski et al., 2016) and its variations, such as the paired t-test.
We note that the LM, LMM and GLMM may perform poorly for extremely small samples. Solutions similar to those widely accepted in transcriptomics that share information over variance parameters (Love et al., 2014; Ritchie et al., 2015; Robinson & Smyth, 2007) could be leveraged. An example of such an approach is cydar (Lun et al., 2017), which performs the differential abundance analysis (on hypersphere counts) using the generalized linear modeling capabilities of edgeR (McCarthy et al., 2012).
The approach presented in this workflow is not fully automated due to the cluster merging, annotating, and extensive exploratory data analysis steps. In general, our philosophy is that fully automated analyses are to be avoided, but rather a battery of diagnostic checks can be designed, as we have promoted here. Cluster annotation remains a manual step in many other approaches as well. Recently, a tool was proposed for consistent characterization of cell subsets using marker enrichment modeling (MEM) (Diggins et al., 2017).
To keep the analysis of this workflow reproducible, one needs to define a random seed before running FlowSOM and t-SNE. This is especially important in the clustering step, where the order of clusters may change with different seeds, and the cluster merging needs to be matched to the seed used.
All software packages used in this workflow are publicly available from the Comprehensive R Archive Network (https://cran.r-project.org) or the Bioconductor project (http://bioconductor.org). The specific version numbers of the packages used are shown below, along with the version of the R installation. Version numbers of all Bioconductor packages correspond to release version 3.5 of the Bioconductor project. Users can install all required packages and execute the workflow by following the instructions at https://github.com/gosianow/cytofWorkflow.
sessionInfo()
## R version 3.4.0 (2017-04-21)
## Platform: x86_64-apple-darwin15.6.0 (64-bit)
## Running under: macOS Sierra 10.12.4
##
## Matrix products: default
## BLAS: /Library/Frameworks/R.framework/Versions/3.4/Resources/lib/libRblas.0.dylib
## LAPACK: /Library/Frameworks/R.framework/Versions/3.4/Resources/lib/libRlapack.dylib
##
## locale:
## [1] C
##
## attached base packages:
## [1] stats graphics grDevices utils datasets methods base
##
## other attached packages:
## [1] multcomp_1.4-6 TH.data_1.0-8
## [3] MASS_7.3-47 survival_2.41-3
## [5] mvtnorm_1.0-6 lme4_1.1-13
## [7] Matrix_1.2-9 cowplot_0.7.0
## [9] Rtsne_0.13 ConsensusClusterPlus_1.40.0
## [11] FlowSOM_1.8.0 igraph_1.0.1
## [13] pheatmap_1.0.8 RColorBrewer_1.1-2
## [15] ggrepel_0.6.5 limma_3.32.2
## [17] dplyr_0.5.0 reshape2_1.4.2
## [19] ggplot2_2.2.1 matrixStats_0.52.2
## [21] flowCore_1.42.0 readxl_1.0.0
## [23] BiocStyle_2.4.0 knitr_1.15.1
##
## loaded via a namespace (and not attached):
## [1] Rcpp_0.12.10 lattice_0.20-35
## [3] corpcor_1.6.9 zoo_1.8-0
## [5] assertthat_0.2.0 rprojroot_1.2
## [7] digest_0.6.12 R6_2.2.0
## [9] cellranger_1.1.0 plyr_1.8.4
## [11] backports_1.0.5 stats4_3.4.0
## [13] pcaPP_1.9-61 evaluate_0.10
## [15] highr_0.6 httr_1.2.1
## [17] lazyeval_0.2.0 minqa_1.2.4
## [19] nloptr_1.0.4 rmarkdown_1.5
## [21] labeling_0.3 splines_3.4.0
## [23] stringr_1.2.0 munsell_0.4.3
## [25] compiler_3.4.0 BiocGenerics_0.22.0
## [27] htmltools_0.3.6 tibble_1.3.0
## [29] bookdown_0.3 codetools_0.2-15
## [31] XML_3.98-1.7 rrcov_1.4-3
## [33] grid_3.4.0 nlme_3.1-131
## [35] tsne_0.1-3 gtable_0.2.0
## [37] DBI_0.6-1 magrittr_1.5
## [39] scales_0.4.1 BiocWorkflowTools_1.2.0
## [41] graph_1.54.0 stringi_1.1.5
## [43] robustbase_0.92-7 sandwich_2.3-4
## [45] tools_3.4.0 Biobase_2.36.2
## [47] DEoptimR_1.0-8 parallel_3.4.0
## [49] yaml_2.1.14 colorspace_1.3-2
## [51] cluster_2.0.6
MN and MDR designed and ran analyses. MN drafted the manuscript with input from MDR. CK and SG performed experiments, analyzed data and gave feedback on clinical applications. CK performed the cluster merging. FJH and LMW contributed code and ideas for the analyses. MPL interpreted data and provided clinical perspective. BB gave feedback on the manuscript and the bioinformatics. All authors read and approved the final manuscript and have agreed to the content.
MN acknowledges the funding from a Swiss Institute of Bioinformatics (SIB) Fellowship.
The funders had no role in study design, data collection and analysis, decision to publish, or preparation of the manuscript.
The authors wish to thank members of the Robinson, Bodenmiller and von Mering groups from the Institute of Molecular Life Sciences, University of Zurich for helpful discussions.
| Views | Downloads | |
|---|---|---|
| F1000Research | - | - |
|
PubMed Central
Data from PMC are received and updated monthly.
|
- | - |
Is the rationale for developing the new method (or application) clearly explained?
Yes
Is the description of the method technically sound?
Yes
Are sufficient details provided to allow replication of the method development and its use by others?
Yes
If any results are presented, are all the source data underlying the results available to ensure full reproducibility?
Yes
Are the conclusions about the method and its performance adequately supported by the findings presented in the article?
Yes
References
1. Lin L, Frelinger J, Jiang W, Finak G, et al.: Identification and visualization of multidimensional antigen-specific T-cell populations in polychromatic cytometry data.Cytometry A. 2015; 87 (7): 675-82 PubMed Abstract | Publisher Full TextCompeting Interests: No competing interests were disclosed.
Is the rationale for developing the new method (or application) clearly explained?
Yes
Is the description of the method technically sound?
Yes
Are sufficient details provided to allow replication of the method development and its use by others?
Yes
If any results are presented, are all the source data underlying the results available to ensure full reproducibility?
Yes
Are the conclusions about the method and its performance adequately supported by the findings presented in the article?
Yes
Competing Interests: No competing interests were disclosed.
Alongside their report, reviewers assign a status to the article:
| Invited Reviewers | ||
|---|---|---|
| 1 | 2 | |
|
Version 4 (revision) 17 Dec 19 |
||
|
Version 3 (revision) 24 May 19 |
||
|
Version 2 (revision) 14 Nov 17 |
||
|
Version 1 26 May 17 |
read | read |
Provide sufficient details of any financial or non-financial competing interests to enable users to assess whether your comments might lead a reasonable person to question your impartiality. Consider the following examples, but note that this is not an exhaustive list:
Sign up for content alerts and receive a weekly or monthly email with all newly published articles
Already registered? Sign in
The email address should be the one you originally registered with F1000.
You registered with F1000 via Google, so we cannot reset your password.
To sign in, please click here.
If you still need help with your Google account password, please click here.
You registered with F1000 via Facebook, so we cannot reset your password.
To sign in, please click here.
If you still need help with your Facebook account password, please click here.
If your email address is registered with us, we will email you instructions to reset your password.
If you think you should have received this email but it has not arrived, please check your spam filters and/or contact for further assistance.
Comments on this article Comments (0)