Keywords
Early childhood caries, C.albicans/ S. mutans, Saliva, Dental plaque, qPCR, Indonesian
Early childhood caries, C.albicans/ S. mutans, Saliva, Dental plaque, qPCR, Indonesian
Early childhood caries (ECC) remain the most common childhood oral health problem, globally1, and Streptococcus mutans has been known for its important role in ECC development2,3. However, in recent years, Candida albicans has frequently been linked with its synergistic relationship with S. mutans in dental plaque recovered from children with ECC4,5. Consequently, many studies using different methods have been conducted to identify, quantify, and explored the relationship of this fungus with S. mutans6–8. However, a controversial report does exist, where C. albicans tends to decrease the cariogenic traits of S. mutans in in vitro dual-species biofilm9. Therefore, the main purpose of this study was to validate the synergistic relationships between C. albicans and S. mutans, when growing in caries-related biofilm. For this reason, we requited preschool children with ECC experience, and we used qPCR since it is practice and reliable as a quantitative molecular tool of clinical oral samples10. The fungus and bacterium concentrations in saliva sample were used as control, and we compared the outcomes with those subjects noted as children with free caries (FC).
Oral samples were collected from 30 requited preschool children (male and female, 3–5 years old), in two different location located near (about 30 km) to Jakarta, the capital city of Indonesia. The diagnostic of ECC referred to the criteria provided by the American Academy of Pediatric Dentistry, as previously reported11. The preschool children were recruited to get 15 subjects for each group. Thus, in this study, children were categorized into two different groups; children without any history of caries, including white-spot lesions, (caries free; CF group) and ECC group with decay-missing-filled teeth (dmft) index >4. To be included as subjects in this study, the children were required to be free of symptomatic oral candidiasis, have the absence of any medication therapy during the one month before this study, and have not worn any intraoral appliances. Before oral samples collection, written permission (informed consent) for children to participate was obtained from parents or guardians, according to the guidance provided by the Ethics Committee of Faculty of Dentistry, Universitas Indonesia.
Samples from supragingival plaque, obtained from the selected teeth deciduous (either molar or incisive) were isolated with sterile cotton rolls and pure cotton buds. Samples from the ECC group was obtained by gathering carious biofilm around the affected enamel12, including dentin, as the fungus does not invade carious human dentin13. For the FC group, samples were obtained from enamel in clinically sound gingival areas. In each group, samples collected from molar or incisor, upper or lower teeth were not separated. Therefore, the obtained plaques were pooled to give a single sample for each subject and put in a microcentrifuge tube containing 1 ml PBS (pH 7.4). Unstimulated saliva was collected from all subjects on the same occasion and immediately after the plaque collection, by spitting the saliva into sterile Falcon plastic tubes. The minimum volume of collected saliva was 0.5 ml.
Saliva and plaque samples were immediately cold-transported to the laboratory. For saliva samples, after centrifugation, the sediments were washed three times with 0.5 ml sterile milli Q water between each centrifugation and kept in -80°C until use. Similarly, plaque samples from caries-free or those with ECC were cold-transported to the laboratory and processed as mentioned above, then stored at -80°C until use.
Bacterial/fungal DNA was obtained by centrifugation each sample in the microtube, using Trizol reagent (Sigma-Aldrich, Dorset, UK). Extracted DNA sample was kept at -20°C after determining the concentration and the quality by Qubit assay reagents (Invitrogen, Carlsbad, CA). The genomic DNA samples were dissolved in Tris-EDTA (TE) buffer and kept in -20°C freeze until used. Further, the DNA samples were quantified through a qPCR reaction with universal primers for the 16S rRNA genes and C. albicans/S. mutans-specific primers as shown in Table 1. For PCR-quantification, each sample was run in triplicate on an ABI StepOnePlus Real-Time PCR System with SYBR Green PCR Master Mix (Applied Biosystems, Foster City, CA, USA) according to the manufacturer’s protocol.
| Primer name | Sequences | References |
|---|---|---|
| C. albicans | Forward:5’-CACGACGGAGTTTCACAAGA -3’ | 14 |
| Reverse: 5’-CGATGGAAGTTTGAGGCAAT-3’ | ||
| S. mutans | Forward: 5’-CCTACGGGAGGCAGCAGTAG-3’ | 14 |
| Reverse: 5’-CAACAGAGCTTTACGATCCGAAA-3’ | ||
| Universal bacterial 16S rDNA | Forward:5’-GTGSTGCAYGGYTGTCGTCA-3’ | 15 |
| Reverse: 5’-ACGTCRTCCMCACCTTCCTC-3’ | ||
| gtfB | Forward: 5’-AGCAATGCAGCCAATCTACAAAT-3’ | 14 |
| Reverse: 5’-ACGAACTTTGCCGTTATTGTCA-3’ |
The PCR conditions were run in a final reaction volume of 10 µl, composed of 50 ng of sample DNA and 1 µM of each primer (Table 1), with thermal cycling condition consisted of a 10 min initial denaturation at 95°C, followed by 40 cycles of 95°C for 15 s and 65°C for 60 s. The cycle threshold (Ct) were determined automatically by the instrument, and a dissociation curve of the amplified fragment set as follow; 95°C for 15 s, 60°C for 60 s, and 95°C for 15 s.
Estimating the amount of genomic DNA of both microorganisms tested was determined by constructing standard curves with r2 values for both organisms tested as well as total bacteria (Figure 1A–C). To do this, we used a 10-fold serial dilution of extracted fungal and bacterial genomic DNA from overnight cultured of C. albicans ATCC 10231, S. mutans Xc, and Escherichia coli JM 107, respectively. The number (CFU/ml) assessed by plating culture dilutions on sabouraud agar, tryptone-yeast extract cysteine with sucrose and bacitracin (TYCSB) agar and Luria Bertani (LB) broth for C. albicans16, S. mutans17, and E. coli18, respectively. The same strains were used as positive control for qPCR. Therefore, quantification of C. albicans and S. mutans from plaques and saliva achieved by plotting the Ct values against the log of the respective standard curve. In this study, the ratio of C. albicans or S. mutans in the microbial community, in each sample, was determined as each microorganism proportion to total bacteria.

Standard curves of total bacteria (A), C. albicans (B) and S. mutans (C). Also shown are melt curve profiles and melting temperatures for total bacteria (D), C. albicans (E), and S. mutans (F).
For both C. albicans and S. mutans, the detection limit by qPCR method was determined according to the limit of quantification (LOQ), obtained by the highest dilution of the template of the standard curve. When the Ct value of samples was higher than the LOQ, they would be considered positive, but their melting curve profile should be the same as those of the standards included when running the qPCR.
RNA isolation, purification, and reverse transcription of cDNA were performed similarly those in the previous study19. Platinum SYBR Green qPCR SuperMix-UDG (Invitrogen Life Technologies, Carlsbad, CA, USA), passive reference (ROX, Invitrogen), and S. mutans gtfB primers (Table 1), as well as 1 µg of cDNA, were used to quantify the cDNA, and non-transcribed RNA samples were used as control for genomic DNA contamination. The qPCR reaction was run on a similar machine as stated above with cycling conditions consisted of a 10 min initial denaturation at 95°C followed by 40 PCR cycles of 15 s at 95°C, and 60°C for 1 min. The formula of fold change 2-ΔΔCt was used to calculate S. mutans gtfB gene expression that was normalized to the 16S rRNA, a well-established housekeeping gene20, and gtfB expressed in dental plaque of FC group was set to be the control.
The variables for quantification, proportion, and the mean quantitative gene expression were assessed using Student’s t-test, while Pearson’s correlation two-tailed test was used to depict a linear association. Microsoft Excel software was used to perform statistical analysis, and a p-value < 0.05 was considered significant.
Standard curves were used to determine the corresponding number of microorganism tested while melting peaks were used to assess the specificity of the amplicon using saliva and plaque samples (Figure 1D–F).
In general, this study showed that in all saliva and plaque samples, from either FC or ECC children, both C. albicans and S. mutans were present. The quantification (log DNA copies) and proportion (% to total bacteria) of C. albicans and S. mutans in saliva, as well as plaque samples, are presented in Figure 2. Comparatively, it was observed, in either sample tested, a significantly higher number of both microorganisms in ECC children was found more than in those of the FC children (p< 0.05). However, in either group, the quantitative level of C. albicans, in the saliva sample was found to be significantly lower than those of S. mutans (p< 0.05). When comparing plaque and saliva samples within ECC children, we observed that the load (log DNA copies) of either microorganism in plaque was significantly lower than that in saliva (p< 0.05, Figure 2A).

Mean and standard error of absolute numbers (A) and ratios (B) of C. albicans and S. mutans detected within the same saliva (Sa) and dental plaque (Dp) samples. CF, caries-free; ECC, early childhood caries. *p < 0.05.
Furthermore, we compared the proportion of C. albicans and S. mutans DNA relative to total bacterial DNA in saliva and dental plaque samples, in FC and ECC children. Within ECC children, there was a significantly higher proportion ratio (Ca/Tb) of C. albicans in saliva samples (35.5%), than that in plaque samples (13.5%) (p < 0.05). For FC children the ratio was not statistically different (saliva, 8% and plaque, 5.3%) (Figure 2B). Similar analysis was carried out for the S. mutans proportion ratio (Sm/Tb). The result showed a different trend, with a significantly higher proportion of S. mutans in plaque (99%) than that in the saliva (62%) of ECC children (Figure 2B). The result also showed the proportion of this bacterium to total bacteria in saliva and plaque samples showed a significant difference between ECC and FC children (p < 0.05). Interestingly, there was a trend within dental plaque sample in ECC children, S. mutans DNA increased most with increased of C. albicans’ DNA (Figure 2B).
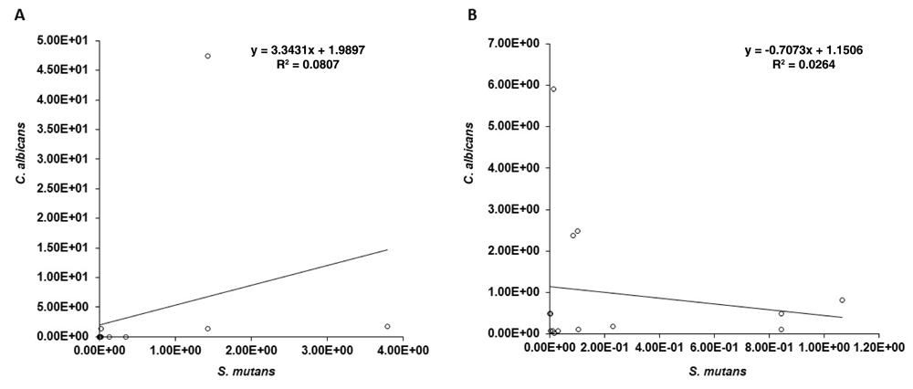
We further evaluated the possible linear relationship of C. albicans and S. mutans load or their proportion and ECC experience in the subjects. Pearson correlations coefficient analysis revealed that the association between the numbers of these two microorganisms in saliva was moderate positively significant (r = 0.1, p < 0.05). On the contrary, a weak negative not substantial (r = 0.03, p > 0.05) between the decreasing number of C. albicans and the quantity of S. mutans in plaque samples observed in the ECC group (Figure 3A and B).
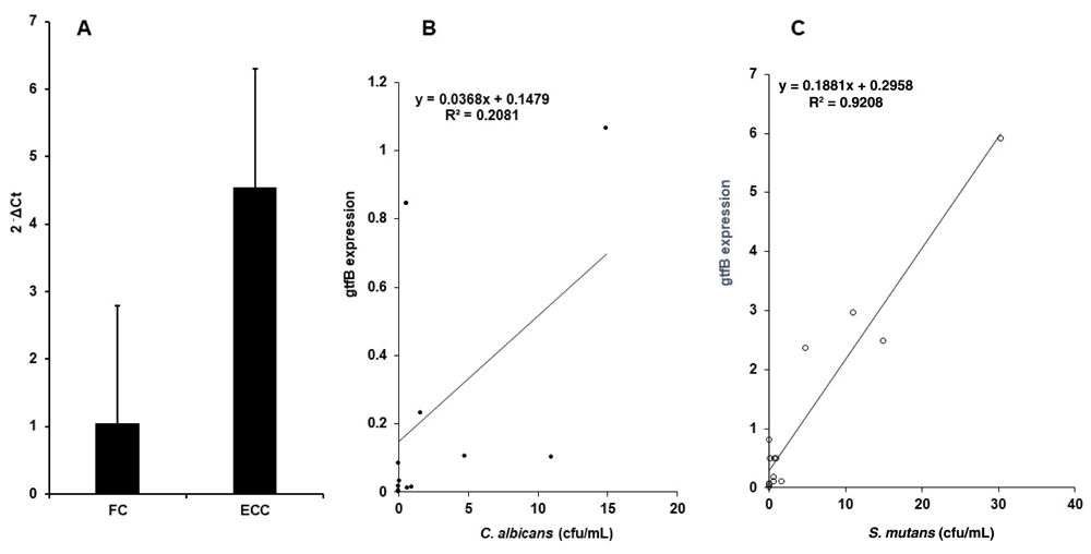
To confirm all the above results, we selected the gtfB gene, which has been reported to be mostly involved in the synergistic relationship between C. albicans and S. mutans in biofilm development7, and compared its expression in each dental plaque of children tested. The qPCR result showed that level of mRNA gtfB was induced approximately 4.5-fold in ECC-derived dental plaque samples, and it was a significant difference compared to transcription level of gtfB mRNA in dental plaque sampled from children with FC (p< 0.05) (Figure 4A). Also, gtfB transcription levels and the amount of C. albicans and S. mutans (CFU/ml) in dental plaque of children with ECC showed moderate (r = 0.2) and strong (r = 0.9) positive correlations, respectively, which was statistically significant (p< 0.05, Figure 3B and C).

(A) The fold regulation of gtfB cDNA that was normalized to the amount of cDNA of 16S rRNA. (B, C) the correlation between gtfB transcription rate and the amount of C. albicans and S. mutans, respectively.
Numerous studies7,8,21 have supported the idea that ECC may be better understood by focusing on the effect of the functional relationship between species within consortia instead of individual pathogens. This study focused on the relationship between C. albicans and S. mutans, as these oral microorganisms are frequently detected in the plaque of children with ECC12,22. Since ECC may indicate a vast proliferation of the cariogenic microorganism, we sought to evaluate the extent to which the amount of C. albicans might correlate to the ECC experience. To do this, we used qPCR. This method enabled the quantification of the targeted microorganisms’ genomic DNA from oral samples23. Thus, we examined the similarities and differences by comparing the amount and ratio to total bacteria of each microorganism in saliva and dental plaque samples, and verified their correlation with the occurrence of ECC. In general, we observed that the oral cavities of preschool children in this study, with or without ECC, are colonized by yeast (C. albicans) and bacteria, as represented by S. mutans. Overall, the fungus presence was always simultaneously detected with S. mutans, although children with ECC had a higher amount of C. albicans and S. mutans in their oral cavity, compared to those children with FC. As expected, in addition to saliva, these oral microbiotas commonly exist together in an ECC-related biofilm.
Our observation is in accordance with results from other studies, which found that in addition to S. mutans as a specific cariogenic bacterium24,25, C. albicans can be part of the dental lesion26,27. Moreover, previous studies showed strong synergism when C. albicans and S. mutans co-existed in biofilm, suggesting that this co-existence enhanced their virulence7,8,28. However, our data showed, the fungus was detected at lower levels in dental plaque, compared to S. mutans. This support the previous in vitro study29, which found that the presence of C. albicans might favor the extensive colonization of S. mutans in dental biofilm.
The causes to generate site specificity bacteria proportion are believed to include local sucrose concentration in the oral cavity30,31. In addition to sucrose32, many factors may link to the presence of C. albicans in children oral cavity. These include infection at birth, baby’s feeding bottles, infected pacifiers, and carious teeth12. We speculate that a high cariogenic diet might influence the interaction between C. albicans and S. mutans in these children tested. In turns, it becomes critical for ECC, since the presence of sucrose in the children oral cavity may lead to the ability of this species to grow within structured microbial biofilm33,34. Further studies are therefore necessary.
The presence of yeast and bacteria is one of the local factors that contributes to the etiology of ECC7. To obtain an overall insight into the impact of simultaneous participation of C. albicans and S. mutans when detecting together in each sample tested, we compared the percent proportion of C. albicans or S. mutans relative to total bacteria. As expected, the proportion of C. albicans was higher in saliva than in carious plaque among children with ECC. Other studies have reported this phenomenon, where Candida species were frequently isolated more, qualitatively and quantitatively, from saliva than from dental plaque35 and subgingival samples36. During in saliva, this fungus might act as a bridge for oral bacteria to adhere to a mucosal surface, a mechanism that may protect this bacterium from being removed by salivary flow and swallowing21. On the other side, biofilm formation is vital for C. albicans to survive as a pathogen, which involves attachment, colonization, and development of structural biofilm integrity composed of yeast and hypha37,38. Our data illustrate that co-adhesion between C. albicans and S. mutans in cariogenic biofilm is one mechanism by which the fungus, in yeast form, survives in the oral cavity39,40. Although the fungus morphology was not observed in this study, it has been reported by other studied that hypha morphology is not crucial for the C. albicans–S. mutans relationship when they grow in multispecies dental biofilms41–43. Therefore, in addition to the morphology, both the number and proportion of salivary C. albicans influence the fungal–bacterial relationships, which further increases the risk of caries. Additionally, the flushing effect of saliva, as part of innate defense mechanism, might contribute to decrease Candida adherence to the oral surface44, including tooth surface. Thus, the quality and quantity of saliva have an essential role in maintaining fungus behavior, as commensal or pathogen45.
We observed that the proportion of S. mutans was higher in dental plaque than in saliva, and there was a tendency for the percentage of C. albicans to be lower in carious plaque, where the proportion of S. mutans increased. This observation indicates that S. mutans has an active role in orchestrating the development of cariogenic biofilms46,47. This species has an essential part in attenuating the virulence of the fungus48 by interfering with the fungus transition, from yeast to hypha form when these oral microflorae interact and grow in biofilm49,50. This result further supported by the data of correlation analysis, in which the fungus-bacterium concentration in dental plaque sample showed a negative association, although a positive correlation was found in saliva sediment. This suggests that the ECC rate may not be connected to the quantity of C. albicans involves.
One of the mediators for the synergistic relationship between C. albicans and S. mutans is the streptococcal GtfB enzyme7,32. Our finding indicates that cariogenic biofilm developed in ECC children accompanied by the increased transcription level of gtfB mRNA and enhance of S. mutans growth in dental plaque derived from children with ECC. In a clinical situation, this observation is relevant, since GtfB is the enzyme that synthesizes glucan polymers from sucrose6. Thus, result of this study suggests that a high sucrose concentration, which is critical for the development of dental caries, might exist in the children oral cavity. Future studies are thus recommended.
Collectively, this study indicates that although the proportion of C. albicans was less in ECC-associated biofilm, it may support facilitation of a fungal-bacterial synergistic relationship. Yeast cells could be used by S. mutans to promote fitness and the bacterial survival, as shown by enhanced transcription level of gtfB, which reflects that more extracellular polysaccharides were produced to promote the fungal-bacterium relationship in caries-related biofilm7.
The results of the present study cannot explain the reason for such an association. However, at least this study provides information on ECC experience among preschool children. The presence of C. albicans in dental plaque and saliva could be merely an indicator of oral health conditions and the high carbohydrate intake among the young children selected in this study, which might confer a survival advantage for C. albicans and it is favorable for ECC development. More studies are needed.
There is some limitation in this study. First, the primary disadvantage of qPCR used in this study is its inability to separate and quantify the viable from nonviable cells. This technique may result in false positives or an overly high estimation, as all DNA extracted from life or dead C. albicans, or S. mutans cell will be amplified. Since the number of viable cells is especially significant for diagnosing and monitoring disease, adding cell viability information to qPCR-based diagnostics should be considered. Second, the number of children involved in this study was small (15 subjects per group) because of difficulty in sample collection, primarily to obtain the plaque on the dentin surface.
This study shows that C. albicans contributes to increasing concentration of S. mutans by inducing the expression of gtfB mRNA in ECC-related biofilm. Therefore, results from this study would be useful as a starting point to consider C. albicans, as a potential target in prevention programs to reduce the high rates of ECC in individuals or groups of young children.
Dataset 1. The raw data associated with this study. Data are grouped according to the figure with which they are associated. DOI: htpps://doi.org/10.5256/f1000research.16275.d22130451.
This study was supported by a grant from the Ministry of Research, Technology, and Higher Education, The Republic of Indonesia 2017.
The funders had no role in study design, data collection and analysis, decision to publish, or preparation of the manuscript.
We thank Anissa, Vivi, and Asti for the laboratory work at Oral Science Research Centre, Faculty of Dentistry, Universitas Indonesia. We also thank for Arif, Tika, Inge, and Hanli for collecting oral samples.
| Views | Downloads | |
|---|---|---|
| F1000Research | - | - |
| PubMed Central Data from PMC are received and updated monthly. | - | - |
Is the work clearly and accurately presented and does it cite the current literature?
Yes
Is the study design appropriate and is the work technically sound?
Yes
Are sufficient details of methods and analysis provided to allow replication by others?
Yes
If applicable, is the statistical analysis and its interpretation appropriate?
I cannot comment. A qualified statistician is required.
Are all the source data underlying the results available to ensure full reproducibility?
Yes
Are the conclusions drawn adequately supported by the results?
Partly
Competing Interests: No competing interests were disclosed.
Is the work clearly and accurately presented and does it cite the current literature?
Yes
Is the study design appropriate and is the work technically sound?
Yes
Are sufficient details of methods and analysis provided to allow replication by others?
Partly
If applicable, is the statistical analysis and its interpretation appropriate?
Yes
Are all the source data underlying the results available to ensure full reproducibility?
Yes
Are the conclusions drawn adequately supported by the results?
Partly
Competing Interests: No competing interests were disclosed.
Alongside their report, reviewers assign a status to the article:
| Invited Reviewers | ||
|---|---|---|
| 1 | 2 | |
| Version 2 (revision) 06 Dec 18 | ||
| Version 1 16 Oct 18 | read | read |
Click here to access the data.
Spreadsheet data files may not format correctly if your computer is using different default delimiters (symbols used to separate values into separate cells) - a spreadsheet created in one region is sometimes misinterpreted by computers in other regions. You can change the regional settings on your computer so that the spreadsheet can be interpreted correctly.
Provide sufficient details of any financial or non-financial competing interests to enable users to assess whether your comments might lead a reasonable person to question your impartiality. Consider the following examples, but note that this is not an exhaustive list:
Sign up for content alerts and receive a weekly or monthly email with all newly published articles
Already registered? Sign in
The email address should be the one you originally registered with F1000.
You registered with F1000 via Google, so we cannot reset your password.
To sign in, please click here.
If you still need help with your Google account password, please click here.
You registered with F1000 via Facebook, so we cannot reset your password.
To sign in, please click here.
If you still need help with your Facebook account password, please click here.
If your email address is registered with us, we will email you instructions to reset your password.
If you think you should have received this email but it has not arrived, please check your spam filters and/or contact for further assistance.
Comments on this article Comments (0)