ALL Metrics
-
Views
-
Downloads
Get PDF
Get XML
Cite
Export
Track
Research Article

Phytochemical and antioxidant activity evaluation of the bark of Tampoi (Baccaurea macrocarpa)

[version 1; peer review: 3 approved with reservations, 1 not approved]
PUBLISHED 24 Dec 2018
Author details Author details
OPEN PEER REVIEW
REVIEWER STATUS

This article is included in the ICTROPS 2018 collection.

Abstract

Background: Tampoi (Baccaurea macrocarpa) is a tropical rainforest plant that produces edible fruit and is native to Southeast Asia, especially East Kalimantan, Indonesia. Previous research showed that Tampoi potentially can be developed as a drug. It was reported that the extract of Tampoi fruit displayed antioxidant activity, which was correlated with its phenolic and flavonoid substances. There is no information about the antioxidant activity of other parts of this plant, such as the bark, which might also have this kind of activity. Therefore, the aim of this study was to evaluate the phytochemical, toxicity, and antioxidant activity of the bark of Tampoi.
Methods: The bark of Tampoi was extracted with methanol and concentrated using rotary evaporator to obtain the methanol extract of the bark. Secondary metabolites of this extract was determined using phytochemical analysis. Afterward, the methanol extract was tested for its toxicity using brine shrimp lethality test and antioxidant activity using the 2,2-diphenyl-1-picrylhydrazyl method.
Results: Phytochemical evaluation results showed that the methanol extract of bark of this plant contains several secondary metabolites including alkaloids, flavonoids, phenolics, steroids, and triterpenoids. The toxicity test displayed no toxic property due to a LC50 value above 1000 ppm. For antioxidant activity, the result exhibited that the methanol extract of bark of this plant could be categorized as an active extract with IC50 value of 11.15 ppm. Moreover, based on gas chromatography-mass spectrometer analysis, there are 37 isolated compounds from the bark, one of which is methylparaben, a phenolic predicted to act as an antioxidant.
Conclusion: The results obtained in this research demonstrated that the bark of Tampoi (B. macrocarpa) has potential as an antioxidant.

Keywords

Tampoi, Baccaurea macrocarpa, toxicity, BSLT, antioxidant, DPPH

Introduction

Indonesia is a mega-diverse country in terms of biodiversity that is flanked by the Indian and Pacific Oceans. Indonesia's biodiversity encompasses the diversity of living things both on land and sea1. Indonesia, especially East Kalimantan, has very extensive tropical rainforest, which is a habitat for much biodiversity. Various types of plants have long been utilized by the community as traditional medicines. The utilization of natural products as an alternative medicine is increasing because natural ingredients are believed to be safer than synthetic substances, i.e. do not contain chemicals that only can be found in modern medicines, which are linked to toxicity2.

Among plants, the genus of Baccaurea have interesting biological activities. For example, B. angulata has been reported as a potential functional food with effective antioxidant3, anti-inflammatory, anti-atherogenic, and hypocholesteromia activities4. Other research has also investigated the biological activity of other species of this genus, i.e. B. lanceolata and B. macrocarpa. It was reported that the fruits of B. macrocarpa exhibited the highest antioxidant activity compared with B. lanceolata, which significantly correlated with the phenolic and flavonoid contents5.

B. macrocarpa is one of the typical plants of East Kalimantan, Indonesia and the edible fruits is a source of additional nutrients and known as Tampoi. Until now, the information about the antioxidant activity of other parts of this plant such as the bark of Tampoi has not been reported yet. Hence, the present research was conducted to investigate the phytochemical, toxicity, and antioxidant activity of the bark of Tampoi (B. macrocarpa). Furthermore, the gas chromatography-mass spectrometer (GC-MS) analysis was performed to obtain information about the kinds of isolated compounds contained.

Methods

Extraction

Extraction was carried out as described previously by Erwin et al. (2014)6. The bark of Tampoi (B. macrocarpa) was dried for 1 week at room temperature and ground to a powder. The powder was extracted using a maceration method by soaking in methanol for 24 hours at room temperature, which was repeated three times. Afterwards, the extract solution was filtered by filter paper and the solvent was evaporated under vacuum using a rotary evaporator (Buchi R II) at 45°C and 1 atm, to obtain the methanol extract of bark of Tampoi.

Phytochemical evaluation

Phytochemical evaluation was performed to investigate the secondary metabolites contents of the methanol extract of bark of Tampoi (B. macrocarpa), including alkaloids, flavonoids, phenolics, steroids, triterpenoids, and saponins, as described previously7. The presence of secondary metabolites were identified by observing the changing color of the extract. These evaluations were performed as follows:

Alkaloids. 1 mg of extract was inserted into a test tube and then diluted in 1 mL methanol. Then a few drops of H2SO4 1M was added. Afterwards, a few drops of Dragendorff reagent was added into the mixture. The formation of orange on filter paper indicated the presence of alkaloids.

Flavonoids. 1 mg of extract was inserted into a test tube and diluted in 1 mL methanol. A few 2 mg of Magnesium powder was added followed by a few drops of concentrated HCl. The presence of flavonoids was identified by the formation of pink or red color.

Phenolics. 1 mg of extract was introduced into a test tube and dissolved in methanol. Then a few drops of 1% FeCl3 were inserted. The formation of green, red, purple, dark blue or black indicated the presence of phenolics.

Steroids and triterpenoids. 1 mL of methanol and 1 mg of extract were inserted into a test tube, stirred until homogeneous, then 2 drops of anhydride acetate and 1 drop of H2SO4 were added (Liebermann Burchard reagent). The formation of green or purple precipitation showed a sample containing steroids, and red precipitation displayed the presence of terpenoids.

Saponins. 1 mg extract was put into a test tube and then dissolved in distilled water, and shaken strongly. The presence of saponins is characterized by the formation of durable foam on the surface of the liquid. Foam that remains stable after the addition of a few drops of concentrated HCl indicated the presence of saponins.

Toxicity test

The toxicity test of extract was performed using brine shrimp lethality test (BSLT), as described previously8. Methanol extract of bark of Tampoi (B. macrocarpa) (1 mg) was dissolved using 100 µL of 1% DMSO (dimethyl sulfoxide) and homogenized. The samples were diluted using 150 µL of distilled water until the total of volume reached 250 µL, and then pipetted 200 µL and diluted again using 600 µL of distilled water until the total of volume was 800 µL, so that the sample concentration was 1000 ppm. Samples with a concentration of 500, 250, 125, 62.5, 31.2, 15.6, and 7.8 ppm were made from sample dilutions of a concentration of 1000 ppm. The control solution was made with the same treatment as the sample without the addition of extract.

The toxicity test was carried out using several standard micro plates. About 100 µL seawater containing 8-13 shrimp larvae was added to each diluted sample so that the sample volume was 200 µL (with a concentration of 500, 250, 125, 62.5, 31.2, 15.6, and 7.8 ppm). The number of dead shrimp larvae was calculated for 24 hours after treatment. Each sample was treated in triplicate. The data obtained was recorded and the value of LC50 calculated (Lethal Concentration 50%) using SAS Probit analysis.

Antioxidant assay

The antioxidant activity of the extract was evaluated using 2,2-diphenyl-1-picrylhydrazyl (DPPH) free radical scavenging method, as described previously7,911. Briefly, the extract of bark of Tampoi (B. macrocarpa) was prepared in a solution with a concentration of 25, 50, 75 and 100 ppm, respectively. 1 mL of extract and 1 mL of DPPH (0.024 mg/mL) were put into a test tube, which was incubated for 30 min at 37°C before being measured by Spectrophotometer UV Thermo Scientific Evolution 201 (measurements were carried out at a wavelength of 515 nm). Vitamin C was used as a positive control with variations in concentration were 2, 4, 6, and 8 ppm, respectively. Determination of antioxidant activity or DPPH scavenging effect (%) of extract and vitamin C were carried out in triplicate using equation as follow.

percentageofantioxidantactivity=AbsorbanceofblankAbsorbanceofsampleAbsorbanceofblank×100%

Then, the value of IC50 (Inhibitory Concentration 50%) was determined using linear regression.

GC-MS analysis

In order to obtain the information of the kinds of compounds in methanol extract of bark of Tampoi, an analysis using GC-MS 5977 was performed. Specification of column that used in this research was HP-5MS with length 30 m, diameter 0.25 mm, thick of film 0.25 µm. The identification of the compound was compared to NIST standard data (https://webbook.nist.gov).

Results

The secondary metabolites found in the methanol extract of the bark of Tampoi (B. macrocarpa) are presented in Table 1.

Table 1. Phytochemical evaluation of the methanol extract of bark of Tampoi (Baccaurea macrocarpa).

Secondary metabolitesBark
Alkaloids+
Steroids+
Triterpenoids+
Flavonoids+
Phenolics +
Saponins˗

(+): Presence; (-): Absence

To evaluate the antioxidant activity of the methanol extract of the bark, DPPH method was performed. The results of the antioxidant test can be seen in Table 2.

Table 2. Antioxidant activity of the methanol extract of bark of Tampoi (Baccaurea macrocarpa).

Average of three replicates performed for each concentration.

SampleConcentration (ppm)AbsorbanceInhibition Percentage of inhibition (%)IC50 (ppm)
Sample Blank
Bark 200.21900.41500.4722947.22911.15
400.05600.8819388.193
600.04900.8650686.506
750.03050.9265192.651
Vitamin C 20.54700.67000.1836018.3603.28
40.15300.7716077.160
60.04500.9328093.280
80.03400.9493094.930

Furthermore, the methanol extract was analyzed using GC-MS analysis. The chromatogram and it compound contents of this extract is shown in Figure 1 and Table 3, respectively.

d0d99c80-0cea-4532-a038-124d10e13da1_figure1.gif

Figure 1. GC chromatogram of methanol extract of bark of Tampoi (Baccaurea macrocarpa).

Table 3. Composition of compounds from methanol extract of bark of Tampoi (B. macrocarpa).

PeakRetention
Time (min)
% Peak
Area
Molecule
Formula
Molecular
Weight
Compounds
19.467 0.76C8H8O3152 Methylparaben
214.877 1.32C14H26194Cyclohexane, 1-(cyclohexylmethyl)-2-methyl-, cis
319.329 0.91C17H34O2270.Methyl palmitate
420.034 16.14C16H32O2256palmitic acid
520.227 0.72C16H32O2256palmitic acid
620.300 3.08C34H65F3O2562Dotriacontyl trifluoroacetate
720.432 3.18C34H65F3O2562Tricosyl trifluoroacetate
821.234 1.40C18H36O2284Methyl 7-methylhexadecanoate
922.4790.04C19H34O22949,12-Octadecadienoic acid (Z,Z)-, methyl ester
1022.5978.46C19H36O22969-Octadecenoic acid, methyl ester
1122.811 0.62C29H60O424Eicosyl nonyl ether
1223.069 7.05C19H38O2298Heptadecanoic acid, 16-methyl, methyl ester
1323.334 3.34336Undec-10-ynoic acid, undecyl ester
1423.431 0.29C18H32O2649,17-Octadecadienal, (Z)-
1523.485 0.07C24H48O2Si396cis-Vaccenic acid
1623.730 1.19C18H34O2282Oleic Acid
1723.7741.15C15H24O220(2S,3S,6S)-6-Isopropyl-3-methyl-2-(prop-1-en-2-
yl)-3-vinylcyclohexan one
1823.7940.78C15H282087-Pentadecyne
1924.592 0.67C18H35ClO23182- Chloropropionic acid, pentadecyl ester
2026.520 2.77C21H42O2326Methyl 18-methylnonadecanoate
2226.733 3.58C20H42282Eicosane
2327.207 0.87C36H65F7O2662Dotriacontyl heptafluorobutyrate
2427.255 0.08C54H108Br2917Tetrapentacontane, 1,54-dibromo-
2528.234 0.74C28H58394Octacosane
2628.286 1.48C47H94659Pentatriacontane, 13-docosenylidene-
2728.374 2.31C19H362641H-Indene, 5-butyl-6-hexyloctahydro-
2828.403 2.33C21H39F3O2380Nonadecyl trifluoroacetate
2928.941 1.68C29H52400Nonacos-1-ene
3028.963 0.31C22H41F3O2394Eicosyl trifluoroacetate
3128.980 0.34C23H463229-Tricosene, (Z)-
3229.192 1.32C18H362521-Octadecene
3329.224 1.10C26H523641-Hexacosene
3429.708 7.09C23H46O2354Methyl 20-methyl-heneicosanoate
3529.829 0.10C18H362521-Octadecene
3629.878 0.29C29H52400Nonacos-1-ene
3729.907 0.28C35H7049017-Pentatriacontene
Dataset 1.Dataset 1. Sheet 1, raw data of the results of phytochemical evaluation for alkaloids, flavonoids, phenolics, steroids, triterpenoids, and saponins by observing the changing of colors; Sheet 2, raw data of the observation of the mortality numbers of Artemia salina Leach and calculation of LC50 value in toxicity test using brine shrimp lethality test; Sheet 3, raw data for antioxidant activity by DPPH method, including the measurement of absorbance using spectrophotometer in triplicate, the calculation of percentage of antioxidant activity, and the value of IC50; Sheet 4, raw data of GC-MS analysis.
https://doi.org/10.5256/f1000research.16643.d227222

Discussion

Based on the phytochemical evaluation, the results showed that the methanol extract of bark of Tampoi (B. macrocarpa) contains several secondary metabolites including alkaloids, flavonoids, phenolics, steroids, and triterpenoids. Several secondary metabolites including alkaloids, steroids, triterpenoids, flavonoids, and phenolics are known to have antioxidant properties. These antioxidant compounds wield their activities through different mechanisms, for example by inhibiting hydrogen abstraction, radical scavenging, binding transition metal ions, disintegrating peroxides12,13, and one of the most important factors influencing antioxidant activity is the ability of the compounds to donate electrons.

Furthermore, in the present study the antioxidant activity of the Tampoi extract was determined by DPPH method. This method was used because it is simple, efficient, quick, more practical, and relatively inexpensive14. Based on Table 2, it is known that the methanol extract of bark of Tampoi (B. macrocarpa) can be categorized as an active extract in an antioxidant assay with IC50 value of 11.15 ppm. In addition, the results of the toxicity test using the BSLT method showed that the extract was toxic because it displayed LC50 value above 1000 ppm.

According to the results of GC-MS analysis, the chromatogram showed 37 peaks (compounds). The profile of the compounds showed that the main components were fatty acids and fatty acid esters. Total content of unsaturated fatty acids and esters with a peak area of 12.15% including 9,12-octadecadienoic acid (Z,Z)-, methyl ester (peak area 0.04), 9-octadecenoic acid, methyl ester (peak area 8.46), undec-10-ynoic acid, undecyl ester (peak area 3.58), undec-10-ynoic acid, undecyl ester (peak area 3.346), cis-vaccenic acid (peak area 0.07), and oleic acid (peak area 0.19). It was been reported that unsaturated fatty acid compounds and unsaturated fatty acid esters have significant antioxidant properties1517.

It can be seen that only a small part of those are aromatic compounds. However, aromatic compounds are compounds that have the ability to stabilize high free radicals. The mechanism of phenolics as antioxidants is started by the formation a bond between free radical (DPPH radical) and hydrogen atom from OH-phenolics (ArOH) to form ArO. radical. Hydrogen atom will easier to be released because of the presence of electron withdrawing group which is bound at ortho- or para- positions18. Furthermore, ArO will react with a radical (ArO. or other radical) to form a stable compound19,20.

DPPH. + AOH → DPPH-H + ArO.

DPPH. + ArO. → DPPH-OAr or DPPH. + R. → DPPH-R

According to identification of the compound in the methanol extract of bark of Tampoi (B. macrocarpa) using NIST database (DRUGBANK accession number, DB14212), it is known that the compound is identified as methylparaben. Based on the NIST database, peak at retention time at 9.467 min and peak area of 0.76% showed the characteristic of methylparaben (Molecular formula=C8H8O3; Molecular weight=152).

It has been reported that methylparaben does not show negative effects on male mouse reproduction21. Methylparaben is widely used as a preservative in cosmetic products, medicines or pharmaceutical products and food ingredients22,23, and the antibacterial activity of methylparaben is stronger than benzoate acid24.

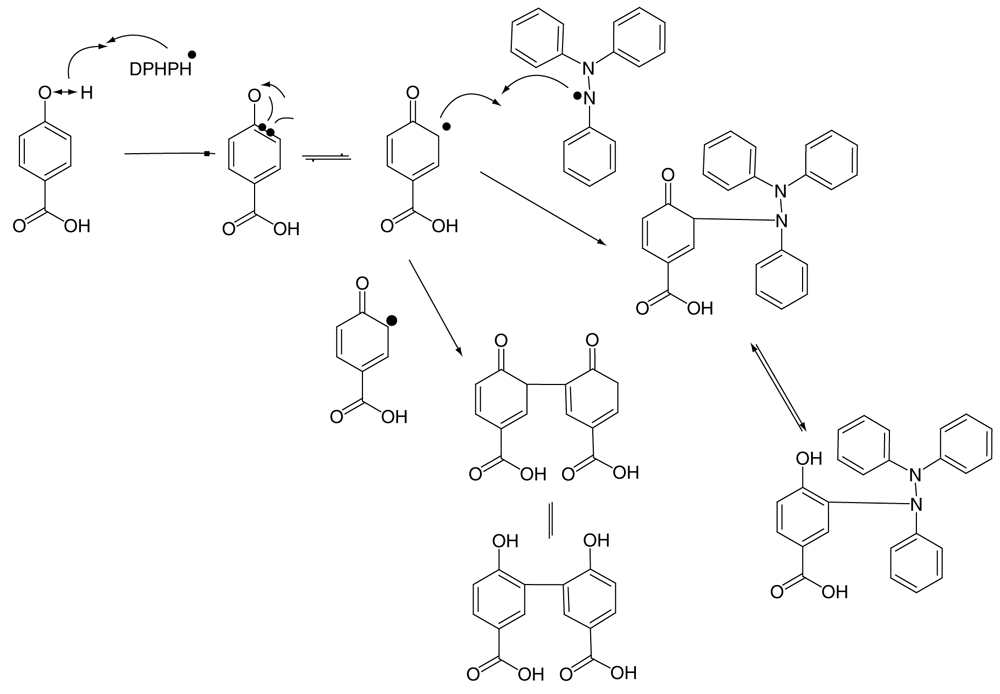
Methylparaben is a phenolic group that can reduce free radicals because it contains aromatic groups, -OH clusters and carbonyl groups. The presence of –COOCH3 substituent at para- position in methylparaben makes this compound act as an electron withdrawing group. The bond dissociation energy (BDE) of the O–H bond is a main factor to investigate the action of antioxidant, due to the weaker OH bond the reaction of the free radical will be easier19. As the prediction of the previous reaction mechanism7,19, the prediction of the reaction mechanism between DPPH radical and methyl paraben can be seen in Figure 2.

d0d99c80-0cea-4532-a038-124d10e13da1_figure2.gif

Figure 2. Prediction of DPPH radical scavenging mechanism by methylparaben.

Conclusion

The results of the study showed that the bark of Tampoi (Baccaurea macrocarpa) has antioxidant activity with an IC50 value of 11.15 ppm.

Data availability

F1000Research: Dataset 1. Sheet 1, raw data of the results of phytochemical evaluation for alkaloids, flavonoids, phenolics, steroids, triterpenoids, and saponins by observing the changing of colors; Sheet 2, raw data of the observation of the mortality numbers of Artemia salina Leach and calculation of LC50 value in toxicity test using brine shrimp lethality test; Sheet 3, raw data for antioxidant activity by DPPH method, including the measurement of absorbance using spectrophotometer in triplicate, the calculation of percentage of antioxidant activity, and the value of IC50; Sheet 4, raw data of GC-MS analysis., https://doi.org/10.5256/f1000research.16643.d22722225

Comments on this article Comments (0)

Version 2
VERSION 2 PUBLISHED 24 Dec 2018
Comment
Author details Author details
Competing interests
Grant information
Copyright
Download
 
Export To
metrics
Views Downloads
F1000Research - -
PubMed Central
Data from PMC are received and updated monthly.
- -
Citations
CITE
how to cite this article
Erwin E, Pusparohmana WR, Sari IP et al. Phytochemical and antioxidant activity evaluation of the bark of Tampoi (Baccaurea macrocarpa) [version 1; peer review: 3 approved with reservations, 1 not approved]. F1000Research 2018, 7:1977 (https://doi.org/10.12688/f1000research.16643.1)
NOTE: If applicable, it is important to ensure the information in square brackets after the title is included in all citations of this article.
track
receive updates on this article
Track an article to receive email alerts on any updates to this article.

Open Peer Review

Current Reviewer Status: ?
Key to Reviewer Statuses VIEW
ApprovedThe paper is scientifically sound in its current form and only minor, if any, improvements are suggested
Approved with reservations A number of small changes, sometimes more significant revisions are required to address specific details and improve the papers academic merit.
Not approvedFundamental flaws in the paper seriously undermine the findings and conclusions
Version 1
VERSION 1
PUBLISHED 24 Dec 2018
Views
16
Cite
Reviewer Report 15 Nov 2019
Chanya Chaicharoenpong, Institute of Biotechnology and Genetic Engineering, Molecular Crop Research Unit, Faculty of Science, Chulalongkorn University, Bangkok, Thailand 
Approved with Reservations
VIEWS 16
This manuscript reported the new information of phytochemical and antioxidant activity of barks of Baccaurea macrocarpa.

The authors used only DPPH assay to evaluate antioxidant activity. Antioxidant activity should be investigated using various assays to present antioxidant ... Continue reading
CITE
CITE
HOW TO CITE THIS REPORT
Chaicharoenpong C. Reviewer Report For: Phytochemical and antioxidant activity evaluation of the bark of Tampoi (Baccaurea macrocarpa) [version 1; peer review: 3 approved with reservations, 1 not approved]. F1000Research 2018, 7:1977 (https://doi.org/10.5256/f1000research.18189.r56216)
NOTE: it is important to ensure the information in square brackets after the title is included in all citations of this article.
  • Author Response 12 Dec 2019
    erwin erwin, Department of Chemistry, Faculty of Mathematics and Natural Sciences Mulawarman University, Samarinda, 75123, Indonesia
    12 Dec 2019
    Author Response
    Reviewer comment #1
    The authors used only DPPH assay to evaluate antioxidant activity. The antioxidant activity should be investigated using various assays to present antioxidant capacity of the extracts. The results of ... Continue reading
COMMENTS ON THIS REPORT
  • Author Response 12 Dec 2019
    erwin erwin, Department of Chemistry, Faculty of Mathematics and Natural Sciences Mulawarman University, Samarinda, 75123, Indonesia
    12 Dec 2019
    Author Response
    Reviewer comment #1
    The authors used only DPPH assay to evaluate antioxidant activity. The antioxidant activity should be investigated using various assays to present antioxidant capacity of the extracts. The results of ... Continue reading
Views
22
Cite
Reviewer Report 11 Nov 2019
Agustono Wibowo, Faculty Applied Science, Universiti Putra Malaysia, Pahang Darul Makmur, Malaysia 
Approved with Reservations
VIEWS 22
Introduction:
  1. In first paragraph line 5, please correct your statement on natural ingredients “do not contain chemicals” that only can be found in modern medicines, as all things in this world is formed from chemical constituents. Please
... Continue reading
CITE
CITE
HOW TO CITE THIS REPORT
Wibowo A. Reviewer Report For: Phytochemical and antioxidant activity evaluation of the bark of Tampoi (Baccaurea macrocarpa) [version 1; peer review: 3 approved with reservations, 1 not approved]. F1000Research 2018, 7:1977 (https://doi.org/10.5256/f1000research.18189.r56219)
NOTE: it is important to ensure the information in square brackets after the title is included in all citations of this article.
  • Author Response 12 Dec 2019
    erwin erwin, Department of Chemistry, Faculty of Mathematics and Natural Sciences Mulawarman University, Samarinda, 75123, Indonesia
    12 Dec 2019
    Author Response
    Reviewer comments #1
    In first paragraph line 5, please correct your statement on natural ingredients “do not contain chemicals” that only can be found in modern medicines, as all things in this ... Continue reading
COMMENTS ON THIS REPORT
  • Author Response 12 Dec 2019
    erwin erwin, Department of Chemistry, Faculty of Mathematics and Natural Sciences Mulawarman University, Samarinda, 75123, Indonesia
    12 Dec 2019
    Author Response
    Reviewer comments #1
    In first paragraph line 5, please correct your statement on natural ingredients “do not contain chemicals” that only can be found in modern medicines, as all things in this ... Continue reading
Views
24
Cite
Reviewer Report 06 Nov 2019
Natthida Weerapreeyakul, Division of Pharmaceutical Chemistry, Faculty of Pharmaceutical Sciences, Khon Kaen University, Khon Kaen, Thailand 
Not Approved
VIEWS 24
According to the GC chromatogram the peak that was claimed to be methyl paraben was detected at 9.479 min but when identified with the MS the peak at 9.467 min was identified instead. This might be wrong interpretation.
Why ... Continue reading
CITE
CITE
HOW TO CITE THIS REPORT
Weerapreeyakul N. Reviewer Report For: Phytochemical and antioxidant activity evaluation of the bark of Tampoi (Baccaurea macrocarpa) [version 1; peer review: 3 approved with reservations, 1 not approved]. F1000Research 2018, 7:1977 (https://doi.org/10.5256/f1000research.18189.r56217)
NOTE: it is important to ensure the information in square brackets after the title is included in all citations of this article.
Views
32
Cite
Reviewer Report 04 Nov 2019
Chinnadurai Immanuel Selvaraj, Department of Biotechnology, School of Biosciences and Technology,, VIT University, Vellore, Tamil Nadu, India 
Approved with Reservations
VIEWS 32
The study design and the methodology sounds good. Still more details on the plant B. macrocarpa need to be included in the introduction. Even though the authors try to substantiate Methyl paraben as a non-toxic compound, it is a universally known ... Continue reading
CITE
CITE
HOW TO CITE THIS REPORT
Selvaraj CI. Reviewer Report For: Phytochemical and antioxidant activity evaluation of the bark of Tampoi (Baccaurea macrocarpa) [version 1; peer review: 3 approved with reservations, 1 not approved]. F1000Research 2018, 7:1977 (https://doi.org/10.5256/f1000research.18189.r44034)
NOTE: it is important to ensure the information in square brackets after the title is included in all citations of this article.
  • Author Response 12 Dec 2019
    erwin erwin, Department of Chemistry, Faculty of Mathematics and Natural Sciences Mulawarman University, Samarinda, 75123, Indonesia
    12 Dec 2019
    Author Response
    Reviewer comment #1
    The authors can check for other compounds in GC-MS and state its importance in the manuscript

    Author response #1
    We have re-checked the 37 peaks which appeared to be methylparaben most likely to ... Continue reading
COMMENTS ON THIS REPORT
  • Author Response 12 Dec 2019
    erwin erwin, Department of Chemistry, Faculty of Mathematics and Natural Sciences Mulawarman University, Samarinda, 75123, Indonesia
    12 Dec 2019
    Author Response
    Reviewer comment #1
    The authors can check for other compounds in GC-MS and state its importance in the manuscript

    Author response #1
    We have re-checked the 37 peaks which appeared to be methylparaben most likely to ... Continue reading

Comments on this article Comments (0)

Version 2
VERSION 2 PUBLISHED 24 Dec 2018
Comment
Alongside their report, reviewers assign a status to the article:
Approved - the paper is scientifically sound in its current form and only minor, if any, improvements are suggested
Approved with reservations - A number of small changes, sometimes more significant revisions are required to address specific details and improve the papers academic merit.
Not approved - fundamental flaws in the paper seriously undermine the findings and conclusions
Sign In
If you've forgotten your password, please enter your email address below and we'll send you instructions on how to reset your password.

The email address should be the one you originally registered with F1000.

Email address not valid, please try again

You registered with F1000 via Google, so we cannot reset your password.

To sign in, please click here.

If you still need help with your Google account password, please click here.

You registered with F1000 via Facebook, so we cannot reset your password.

To sign in, please click here.

If you still need help with your Facebook account password, please click here.

Code not correct, please try again
Email us for further assistance.
Server error, please try again.