Keywords
Areca nut, oral cancer, apoptosis, caspase-3
Areca nut, oral cancer, apoptosis, caspase-3
We have listed that the HSC-2 and HSC-3 cell lines were obtained from the Tokyo Medical and Dental University. We have added that the protocol was approved by the Ethics Committee of the Faculty of Medicine, University of Indonesia, in the “Cell culture” section. We have added the unpaired t-test results to the figure legends. We have expanded the "Discussion". Additionally, the new version also shows the limitation of the study in the last section of the “Discussion”. We have corrected the grammatical errors in this new version.
See the authors' detailed response to the review by Irna Sufiawati
See the authors' detailed response to the review by Masa-Aki Ikeda
DNA, Deoxyribose Nucleic Acid; AIF, Apoptotic Inducing factor; AP-1, Activator Protein-1; Bcl-2, B-cell lymphoma-2; COX-2, Cyclooxygenase-2; DISC, Death Inducing Signal Complex; EGF, Epidermal Growth Factor; FDA, Food and Drug Administration; FITC, Fluorescein Isothiocyanate; IC50, Inhibition Concentration 50; IGF-1, Insulin Growth Factor-1; MAPKs, Mitogen-Activated Protein Kinases; PI, Propidium Iodide; PS, Phosphatidylserine; WHO, World Health Organization.
Cancer originates from a multistep process which is modulated by environmental and genetic factors1. Cancer cells undergo pathologic proliferation and no longer respond to expression signals from tumor suppressor genes, causing disruption of cell cycle phases which acts to repair DNA, and eventually become antiapoptotic cells1,2. Cell cycle inhibition and apoptosis induction are two strategies in treating cancer which is considered forms of targeted therapy3. Cancer cells lose the ability to control these two mechanisms4. The ability of an anti-neoplastic drug is to induce cell cycle inhibition and apoptosis highly influences its potency as a cytotoxic agent. An effective chemopreventive agent should preferably interfere early in the process of carcinogenesis to eliminate premalignant cells before they acquire malignant character5. Apoptosis is the process of programmed cell death and is dependent on cysteine protease enzymes called caspases6. There are two pathways involved in the initiation of apoptosis, the intrinsic and extrinsic pathway7. These two pathways ultimately lead to the activation of executioner caspases, caspases 3, 6, and 77. Expression of caspase-3 is significantly lower in tumor tissue compared with normal tissue and tissue surrounding the tumor8. The caspase-3 is a key effector caspase in the apoptotic program of cell suicide. The lack of caspase-3 expression may lead survival of cancer cell so that it will increase the severity of cancer.
Natural compounds are important in the treatment of life-threatening conditions. In many surveys, herbal medicines are amongst the most commonly used group of treatment. Herbal remedies are believed by the general public to be safe, cause fewer side effects and less likely to cause dependency. According to the World Health Organization (WHO), poverty and poor access to treatment cause approximately 65%–80% of world population living in developing countries to still depend on natural ingredients of plants for medicine as they are much more affordable9. Development of herbal drugs in the internationally has increased rapidly, with China, Europe, and the United States as the largest suppliers. The percentage of herbal drug users has reached 90% in Ethiopia, 70% in India and Chile, and 40% in China and Colombia10. One study found that four in ten adults in the United States currently uses traditional alternative treatment11. 60% of the drugs approved by the US Food and Drug Administration (FDA) since 1984–1994 are isolated from plants12. Of the 121 types of drugs prescribed for cancer treatment, 90 are derived from medicinal plants10.
One study reports that of the 65 new drugs listed for cancer treatment since 1981–2002, 48 originated from natural products derived from plants13. Research and development of herbal medicines are needed to produce drugs which can be approved by formal health care agencies, especially in terms of their quality, safety and efficacy14.
One of the plants with potential to be developed as a herbal medicine is the pinang plant (Areca catechu Linn; areca, Palmaceae). Indians and Malaysians chew this seed to refresh breath, smooth digestion, increase sexual desire, eradicate helminths, and maintain stamina15. Areca nut is believed to be able to induce euphoria, a tranquilized condition, with warm and comforting effects. The activities of areca nut effects include antioxidant and antihelmintic16–24, antidiabetic25, antidepressant20, antifungal24, antibacterial26, antimicrobial27, antimalarial28, anti-inflammatory22, insecticide, psychoactive, hepatoprotective29, and larvicidal30, antiaging and cosmetic31, hypolipidaemic32 and hypoglycemic33. Other studies, however, have identified negative effect from excessive areca nut consumption specifically carcinogenic properties which can induce oral squamous cell carcinoma (OSCC)34. The carcinogenic effect of areca nut is caused by nitrosamine that was produced by nitrosation process by alkaloid (arecoline) from dry areca nut when chewed or digested in the acidic condition in gastric for a long-term and uncontrollable35. The incidence of OSCC can also be influenced by several other both intrinsic (abnormalities or mutation of tumor suppressor genes and oncogenes) and extrinsic (smoking tobacco, vitamin A and iron deficiency, candida infection, viral infection, and immunosuppression). Areca nut is traditionally masticated either alone or along with a large variety of ingredients, such as betel leaf (family Piperaceae), Uncaria gambir, and slaked lime for traditional ceremonial cultural roles in Indonesia. However, there are no current reports on the apoptotic mechanism of the areca nut extract on oral squamous cell lines.
Hence in this study, the ability of areca nut to induce apoptosis and caspase-3 activity was evaluated and compared between two different time periods (24 and 48 hours) and two types of OSCC cell lines, human squamous carcinoma HSC-2 and HSC-3.
The study materials were obtained from areca nuts of pinang plant from Aceh Besar, Indonesia, which was determined and documented by the Botanical Division of Biological Research Center LIPI Cibinong, complete with its roots, stems, leaves, flowers, and seeds in 2017.
The sample used was two kilograms of areca nut (gross weight). Areca nut was collected and cleansed from dirt (wet sortation), then washed with running water until clean and drained. Those seeds were dried in open air and covered from direct sunlight then continued with drying using an oven at 50°C. Dried simplicia (unprocessed natural ingredient) was crushed using a blender producing a powdered simplicia and sifted with 20 mesh sieves. The powder was macerated with 96% ethanol solvent. Around 500 grams powdered simplicia was put into a container, then 1 L of 96% ethanol was added, closed, and left for three days covered from sunlight, while repeatedly stirred. After three days the extract was strained, and the remaining extract then was dried. The dried extract was added to 500 mL of 96% ethanol and stirred, after acquiring all extract. The container was closed, left in a cool place and covered from sunlight for two days. The sediment was separated and liquid extract was obtained. Then the extract was evaporated using rotary evaporator at 30–40°C then concentrated again using water bath so a dense extract of areca nut would be obtained.
The HSC-2 and HSC-3 cell lines were cultured in complete Dulbecco’s modified Eagle’s medium (D6429, Sigma-Aldrich) containing 10% FBS, nonessential amino acids, pyruvate, glutamine, and vitamins at 37°C with 5% CO2/95% air in a humified CO2 incubator. All media were also supplemented with 100 units/mL of penicillin and 100 mg/mL of streptomycin (15070063, Thermo Fisher Scientific). The above-mentioned cell lines were procured more than 6 months ago and have not been tested recently for authentication in our laboratory. The HSC-3 and HSC-2 cell lines used in this study were provided by the Oral Biological Laboratory, Faculty of Dentistry of the University of Indonesia. The HSC-2 and HSC-3 cell lines used in this study were given by the Section of Molecular Embriology, Graduate School of Medical and Dental Sciences, Tokyo Medical and Dental University. The HSC-3 cell line was derived from an oral squamous cell carcinoma of the tongue with a p53 gene mutation, namely a 4bp insertion or change in the amino acid in the form of TAAG insertion in codon 305–306, exon 8 (JCRB0623)36. The HSC-2 cell line was also derived from an oral squamous cell carcinoma of the tongue but without the p53 gene mutation (JCRB0622)37. Cell lines, placed in cryophilic liquid N2, were then moved into a 15 mL tube, then PBS (10010031, ThermoFisher Scientific) was added up to 10 mL. The thawing process started with centrifuging by using Laboratory benchtop centrifuge Liston C 2201 for 10 min at 300 × g at room temperature, the supernatant was disposed, the cell concentrate at the base of the tube (pellet) was added to 2–3 mL complete DMEM medium, and then it was pipetted to culture a plate containing 7–10 mL DMEM medium and was spread evenly. It was incubated at 37°C with a 5% CO2/95% air in a humified CO2 incubator. Media was changed by removing old medium from the culture plate by pipetting, rinsing with PBS two to three times, pouring new complete DMEM medium (around 7 – 10 mL) and then placing back into the incubator. If the cells achieved 80% confluence, then the confluence was ready to be harvested. The medium was disposed and rinsed with PBS Ca2+ and Mg2+ two to three times with the volume of 2 mL, then 1 mL Trypsin EDTA (59418C, Sigma-Aldrich) was added, then it was incubated for five to ten minutes. After the addition of complete DMEM (2 – 3 ml) and transferred into a 15 mL tube by pipetting, and centrifuging at 500 rpm for 10 minutes, the supernatant was discarded. The pellet was homogenized by pipetting, and the resuspended cells with the culture medium were ready to be used for experiment and cell counting with a hemocytometer. We had performed the cell viability assay previously to evaluate the percentage cytotoxicity and IC50 of areca nut extract after treating the HSC-2 cells for 72 hours is 629.50 µg/mL while in HSC-3 cells is 164.06 µg/mL38. The protocol was approved by the Ethics Committee of the Faculty of Medicine, University of Indonesia no. 501/H2.F1/Etik/2014 in compliance with the International biosafety guidelines (WHO laboratory biosafety manual, 2004).
The HSC-2 and HSC-3 cells were plated at 1 × 105 cells/well in 60 mm dishes with DMEM. Areca nut extract (629.50 µg/mL) was added for HSC-2 cells and 164.06 µg/mL for HSC-3 cells. For combination experiments, areca nut extracts were added at the same time and both were incubated for 24 and 48 h, before the preparation of cell extract or quantification of apoptosis and caspase-3 activity (see below).
A flow cytometry was used to analyze tubes containing cells with and without extract material after 24 and 48 hours exposures. Cultures of HSC-2 and HSC-3 cells with 1×105 cells/mL concentration were centrifuged for five minutes with 500 rpm speed, washed with 1 mL cold PBS (10010031, ThermoFisher Scientific), and re-centrifuged for five minutes and vortexed. One hundred µl test solution containing 1×105 cells in each tube is resuspended with binding buffer. 5 µL FITC Annexin V (556547, BD PharmingenTM) and 5 µL PI (556547, BD PharmingenTM) stains were added to these cells and incubated for 15 minutes in a dark place, analyzed by flow cytometry (BD FACS Calibur Flow cytometry System type E 34297502328, .San Jose, California, USA) and by manual gating using CellQuest software (Becton Dickinson, NJ). Gating was performed on blinded samples
Cells were collected with and without areca nut extract for 24 and 48 hours, respectively. Prepared HSC-2 and HSC-3 cells (1×105 cells/mL, 5 mL) were washed with cold PBS and resuspended with 400 µL BD Cytofix/CytopermTM Solution (51-6896KC, BD PharmingenTM). The procedure was begun by determining the amount of BD Perm/WashTM buffer (51-6897KC, BD PharmingenTM) and 20 µL Rabbit anti-active caspase-3 polyclonal antibody (351-68655X, BD PharmingenTM) required so that each test was consist of 100 mL BD Perm/WashTM buffer and 20 µL antibody. After incubation for 20 minutes on ice, cells were centrifuged and washed with BD Perm/WashTM buffer. After that, BD Perm/WashTM buffer was added and then the antibody is incubated for thirty minutes in room temperature. Each tube was rinsed again with 1 mL BD Perm/WashTM buffer, re-centrifuged then added 300 µL BD Perm/WashTM buffer.
All data were presented as the mean ± standard deviation of triplicate parallel measurements. Statistical analysis used SPSS 10.0 and the data were analyzed with the unpaired t-test using a significance level of p<0.01.
Apoptosis assay was performed on cell population with and without areca nut extract for 24 and 48 hours. The IC50 dose of extract used was 629.50 μg/mL for HSC-2 cells. The percentage value of the cell population count was calculated based on the division of four quadrants, i.e. the viable cells (lower left quadrant; AV-/PI-), early apoptosis (lower right quadrant; AV+/PI-), late apoptosis (upper right quadrant; AV+/PI+), and necrotic cells (upper left quadrant; AV-/PI+). The results of the apoptosis assay in 24 hours showed an increase in percentage cell number after areca nut extract treatment undergoing late apoptosis, as much as 83.82±15.86%. This number is 68.28% higher compared to controls, or approximately 5.4 times higher than control (15.54±23.52%). This increase was significant, suggesting that a reduction of viability represents mostly apoptosis.
Then, we examined the effect of areca nut extract after 48 hours of exposure. The result showed that areca nut also induced an increase in late apoptosis cell after 48 hours. As can be seen in Figure 1, late apoptotic cells with pink and red dots in upper right quadrant indicated that areca nut was high cytotoxicity. Therefore, it can be concluded that areca nut extract is capable of inducing apoptosis in HSC-2 cells. Graphs showing a comparison of mean percentage between control cells and after areca nut extract exposure is shown in Figure 1.

A. Flow cytometry analysis for apoptosis-inducing activities of areca nut on HSC-2 cells, a and c: control; b and d: treated with areca nut. B. Graph of comparison between the percentage of HSC-2 cells with and without 24 and 48 hours extract exposure at IC50 (629.50 µg/mL). The percentage value is mean±SD. Unpaired t-test shows the correlation of the means between control group and test group.*p < 0.01.
The apoptosis assay performed in HSC-3 cells demonstrates a different result to that of HSC-2 cells after areca nut extract exposure for 24 hours. There was no increase in late apoptosis but, instead, the early apoptotic cell population increased. There was an increase in early apoptotic cell populations from untreated to treated cells (1.77% to 17.88%, respectively). The apoptosis assay in HSC-3 cells after 48 hours exposure, however, shows an increase in early and late apoptotic cell percentage.
Figure 2B shows that, in HSC-3 cell lines, areca nut extract induced only early apoptosis after 24 hours, but both early and late apoptosis was markedly enhanced after 48 hours. During apoptosis, cell shrinkage occurs, which is associated with a decrease in forward scatter. Further, the formation of apoptotic vesicles in the cells during apoptosis leads to an increase side scatter profile.

A. Flow cytometry analysis for apoptosis-inducing activities of areca nut on HSC-3 cells, a and c: control; b and d: treated with areca nut. B. Graph of comparison between HSC-3 cell percentage with and without 24 and 48 hours areca nut extract exposure at IC50 (164.06 µg/mL). The percentage value is mean±SD. Unpaired t-test shows the correlation of the means between control group and test group.*p < 0.01.
The caspase-3 assay was performed in triplicate in HSC-2 cells also using flow cytometry. The value is calculated based on the percentage of the cell population with caspase-3 enzyme activity during apoptosis. The percentage of control and test cells in the same quadrant was compared. The M1 quadrant demonstrates the number of living cells without active caspase-3, whereas M2 quadrant is a number of apoptotic cells with active caspase-3. Areca nut extract caused an increase in the number of cells with active caspase-3 which is 85.94±56.86% more than the number of cells without activating caspase-3 (14.37±11.27% after 24 hours exposure). This value is in accordance with the results of the apoptosis test, as an increase in caspase-3 corresponds with an increase of late apoptosis cell population. Untreated cells (M1) were primarily negative for the presence of active caspase-3, whereas greater than one-third of the treated cells were positive for active caspase-3 staining (M2). The similar patterns were seen in 24 and 48 hours after exposure (Figure 3A). This shows that the ability of the extract to induce apoptosis is increased with longer exposure in HSC-2 cells.

A. Flow cytometry analysis for caspase-3 activity inducing activities of areca nut on HSC-2 cells, a and c: control; b and d: treated with areca nut. B. Graph of comparison between the percentage of HSC-2 cells with active caspase 3 with and without areca nut extract exposure after 24 and 48 hours at IC50 (629.50 µg/mL). The percentage value is mean±SD. Unpaired t-test shows the correlation of the means between control group and test group.*p < 0.01.
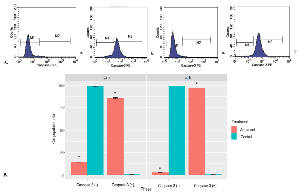
The high concentration of active caspase-3 activated in HSC-3 cells, which is increasing 126 times higher than control cells after 48 hours of exposure (Figure 4). Population distribution is also clearly shown between cells with and without extract exposure.

A. Flow cytometry analysis for caspase-3 activity inducing activities of areca nut on HSC-3 cells, a and c: control; b and d: treated with areca nut. B. Graph of comparison between the percentage of HSC-3 cells with active caspase-3 with and without areca nut extract exposure after 24 and 48 hours at IC50 (164.06 µg/mL). The percentage value is mean±SD. Unpaired t-test shows the correlation of the means between control group and test group. *p < 0.01.
This study is a novel or first study which clearly reveals the potential cytotoxicity effect and mechanism of action of areca nut in oral squamous cell lines. Our preliminary study showed that the areca nut has high content of total phenolic and flavonoid.1(new refference) The areca nut has chemosensitivity of cancer cells in different concentrations. We performed a MTS assay to observe the areca nut extract on cell viability. Five doses were adding into cancer cells, which were 160, 320, 640, 1280, and 2560 μg/mL in HSC-2, HSC-3, and HaCat cells38. We found that the areca nut extract was cytotoxic towards HSC-2 (IC50 629.50 µg/mL), while in the HSC-3 cells, the IC50 is lower than HSC-2 cells (IC50 164.06 µg/mL). The areca nut showed weak cytotoxicity against HSC-2 cells. Sakagami et al. found that flavonoid-related phenols especially flavones showed weak cytotoxic activity against HSC-239.
This study performs apoptosis and caspase-3 activity tests using flow cytometry, with the objective to acknowledge whether the cell death mechanism happens through apoptosis induction by areca nut extract or not. In order to acknowledge the optimum time of areca nut extract activity against the cells, two units of time are used, which are 24 and 48 hours. The results of flow cytometry analysis on HSC-2 cells shows that areca nut extract can induce late apoptosis activity after 24 and 48 hours exposure, but the increase of late apoptotic cells occurs more following 48 hours exposure. This result is in accordance with the past study that performed apoptosis test using orange acridine-ethidium bromide staining (double staining). The result showed that treatment with an ethanolic extract of areca nut (IC50 77 μg/mL) for 48 hours inhibits the growth of MCF-7 cells as much as 13–84%40.
The flow cytometry analysis was performed to reveal the loss of plasma membrane asymmetry in cells. In apoptotic cells, the membrane phospholipid phosphatidylserine (PS) is translocated from the inner to the outer leaflet of the plasma membrane, thereby exposing PS to the external cellular environment. Annexin V is a 35–36 kDa Ca2+-dependent phospholipid-binding protein with high affinity for PS and binds to exposed apoptotic cell surface PS. Annexin V can be conjugated to fluorochromes while retaining its high affinity for PS and thus serves as a sensitive probe for flow cytometric analysis of cells undergoing apoptosis. This is one of the earliest features of apoptosis. In our research, The flow cytometry was performed triple for both cells. The cells are processed with enzymatic degradation, centrifugation, and/or filtration to isolate the cells of interest, and the resulting cellular suspension is “stained” with fluorescent antibodies. When HSC-2 cells were cultured with areca nut for 48 hours, most of the cells were in the upper right quadrant; AV+/PI+. It means that most of the cells have undergone late apoptosis (Figure 1B). However, when HSC-2 cells were cultured for 48 hours under the same condition without areca nut treatment, we found that only less than 40% of the cells were viable. This condition suggests that the preparation of the staining process in flow cytometry itself may trigger the death of the cells (apoptosis or necrosis). This includes one of the limitations of our research. The same result is seen in the HSC-3 cells for 24 hours without treatment.
Areca nut extract can possibly induce non-apoptotic cell death or necrosis. This is shown from the increase in necrotic cell percentage significantly after 24 hours of exposure. One of the past studies using catechin from green tea, proved that catechin has the ability to induce necrosis or non-apoptotic cell death in leukemia cells without caspase-8, 9, and 3 activities41 Although molecular mechanism pathway of necrosis is not clearly understood, catechin can possibly induce necrosis through two pathways, which are decreasing concentration of intracellular ATP and interaction on ATP-binding site of glucose-regulated protein (GRP78) leading to increased activity of ATPase41. This result shows two competitive abilities between catechin and ATP-binding site leading to necrosis with catechin activity via the apoptosome (intrinsic pathway) and death induced signaling pathway (DISC; extrinsic pathway).
Analysis of caspase-3 activity in HSC-2 cells shows results in accordance with the apoptosis assay, in that caspase-3 activity increases significantly after areca nut extract for 24 and 48 hours compared to control, with the increase of caspase-3 activity also being higher after 48 hours exposure. This result is similar to the study using catechin of green tea and hydrate catechin against HS-sultan and RPMI8226 cell strains, and MCF-7 cells using Western blot and quantitative RT-PCR techniques, that this compound can induce caspase-3, 8, and 9 activities42.
The results of flow cytometry analysis on HSC-3 cells show that areca nut extract could also induce apoptosis after extract exposure for 24 and 48 hours. Unlike with HSC-2 cells, extract exposure induced more early apoptosis after 24 hours exposure, but after 48 exposure apoptosis induction by the extract happened more in the end step. Caspase-3 activity as an effector caspase is shown to be related with late apoptosis activity because of the increase of caspase-3 with increasing late apoptotic cells percentage. There is a significant increase in necrotic cells percentage after 48 hours of exposure. Therefore, the apoptosis assay showed that areca nut extract is capable of inducing apoptosis in HSC-2 and HSC-3 cells with an optimum time after 48 hours exposure. Although the extract has the same optimum time in both cells, there is a difference on extract effect on the number of apoptotic cells, where the percentage of HSC-2 cells undergoing apoptosis is higher than HSC-3 cells. This result is possible because of the characteristic of HSC-3 cells is different from HSC-2 cells. The HSC-3 cells have the p53 gene mutation36. The mutation of HSC-3 cells was confirmed in a previous report43. However, when the p53 gene mutates, the mutated p53 protein is excessively produced or accumulated, thereby compromising apoptosis and leading to abnormal or malignant cell growth44. We found that HSC-3 cells have the ability to withstand apoptosis higher than HSC-2 cells. However, this finding may vary by the study design and so much more data must be collected to better understand this phenomena.
Literature shows that in addition to the p53 gene mutation in HSC-3, severe damage to phosphorylation of Ser46 in HSC-3 cells causes loss of apoptotic ability mediated by p53 and also increased survival ability of HSC-3 cells against anticancer genes compared to HSC-2 cells45. The p53 tumor suppressor gene holds an important role in deciding the cells’ fate if there is DNA damage. If there is mild damage, p53 will stop the growth until the DNA repair process is done. If there is severe damage, p53 will induce senescence process to prevent the increase of precancerous cells. Phosphorylation of Ser46 causes p53 to activate proapoptotic genes, leading to the induction of apoptosis45. However, the different response between HSC-2 and HSC-3 cells after exposure to extract could possibly be caused by different effects of areca nut extract on the extrinsic and intrinsic pathways. Due to the effects of the p53 mutation on the intrinsic pathway in HSC-3 cells raises the possibility of the effects of the extracts being solely through the extrinsic pathway, whereas in HSC-2 cells, the extract works on the extrinsic and intrinsic pathways leading to more apoptosis occurring in HSC-2 cells. This cannot be determined from these results as not tests on caspase 8 and 9 were performed.
The induction of apoptosis in tumor cells is considered a valuable method to treat cancer. A wide variety of natural substances have been recognized to have the ability to induce apoptosis in various tumor cells. Apoptosis is an active form of cell suicide controlled by a network of genes, in which the Bcl-2 family proteins play an important role in the control of apoptosis. The balance of pro- and anti-apoptotic Bcl-2 family proteins control permeabilization of the outer mitochondrial membrane and release of intermembrane space proteins, most notably cytochrome c. In the presence of cytochrome c and dATP, Apaf-1, the scaffold around which the apoptosome is built, recruits and activates caspase-9, which then propagates a cascade of further caspase activation events downstream.
Caspases inside cells are in an inactive form (procaspase), but activation induces the production of other caspases leading to cell death through proteolytic activity46,47. Initiator caspase activation (caspase-8 and 9) by catechin shows early apoptotic activity in cell death. Cell death through extrinsic pathway can be influenced by catechin derivates originating from green tea, resulting in inhibition NF-kB, MAPKs signals, nitric oxide synthesis, and EGFR mediated by transduction pathway signaling through suppressing on EGF binding with its receptor, AP-1, IGF-1 signaling pathway, COX-2, and proteasome activity46. Cell death through the mitochondrial pathway can also be induced by catechin. Changes in mitochondria caused by an increase in membrane permeability lead to opened pores and loss of the mitochondrial transmembrane potential causing the release of cytochrome c into the cytosol, thereby activating the caspase-9 and 3 pathway46.
Catechin can increase apoptogenic protein release from mitochondria such as cytochrome c, Smac/DIABLO, and AIF into cytosol leading to death signaling from inside of the mitochondria releasing more and activating caspase-348. The decrease of Bcl2 and Bcl-XL antiapoptotic protein, an increase of Bax proapoptotic protein in the intrinsic pathway are also influenced by catechin. If there is a p53 mutation, the function of BH-3 proapoptotic protein will be inhibited and function of Bcl-2 antiapoptotic protein family will increase leading to inhibition of anticancer agent activity in the intrinsic pathway. Caspase-3 activation is a crucial component in the apoptotic signaling cascade. Based on the results obtained from our study, the apoptosis pathway involved in areca nut-induced cell death in both cancer cell lines may be through the extrinsic and intrinsic pathways. Further investigation is needed to clarify the exact mechanism through which areca nut induces apoptosis.
This research also showed that the apoptosis activity using flow cytometry has several advantages, including fast period time analysis (thousand of cells per second), single cell analysis, and multiparametric measurements (correlations with several different cell events in one unit of time), but this machine also has drawbacks; the presence of physical and enzymatic manipulations during cell preparation and staining, can trigger additional apoptosis or necrosis cell numbers. Furthermore, flow cytometry is an efficient machine to calculate the number of apoptotic cells based on PS staining out of the cell membrane, so it is more appropriate to detect early apoptosis. If the test aims to improve the accuracy of DNA fragmentation calculations in late apoptosis, it is recommended to use Terminal deoxynucleotidyl transferase (TdT) dUTP Nick-End Labeling (TUNEL).
Apoptosis is the main cell death mechanism in HSC-2 and HSC-3 cells after areca nut extract exposure for 24 and 48 hours. This is shown by the high population of early and late apoptotic cells in HSC-2 and HSC-3 cells compared to cells without extract exposure. The optimum time of apoptosis occurrence after areca nut extract is 48 hours. We postulated that one of the possible action for the apoptosis effects of this extract occurred through increased activities of the caspase-3 enzyme. This is indicated by the high activity of caspase-3 in HSC-2 and HSC-3 cells compared to cells without extract exposure, which also proves that cell death that happened was late apoptosis. There is great potential to develop areca nut as an adjuvant therapy as a chemotherapeutic agent for oral squamous cell carcinoma treatment, hence additional studies are needed, particularly in vivo studies to further evaluate the observed effect.
Dataset 1: Output flow cytometry files for all experiments with statistical analysis output files 10.5256/f1000research.14856.d20633849.
| Views | Downloads | |
|---|---|---|
| F1000Research | - | - |
| PubMed Central Data from PMC are received and updated monthly. | - | - |
Is the work clearly and accurately presented and does it cite the current literature?
Partly
Is the study design appropriate and is the work technically sound?
Yes
Are sufficient details of methods and analysis provided to allow replication by others?
Yes
If applicable, is the statistical analysis and its interpretation appropriate?
Partly
Are all the source data underlying the results available to ensure full reproducibility?
Yes
Are the conclusions drawn adequately supported by the results?
Yes
Competing Interests: No competing interests were disclosed.
Is the work clearly and accurately presented and does it cite the current literature?
Partly
Is the study design appropriate and is the work technically sound?
Yes
Are sufficient details of methods and analysis provided to allow replication by others?
Yes
If applicable, is the statistical analysis and its interpretation appropriate?
Yes
Are all the source data underlying the results available to ensure full reproducibility?
Yes
Are the conclusions drawn adequately supported by the results?
Yes
References
1. Baig S, Seevasant I, Mohamad J, Mukheem A, et al.: Potential of apoptotic pathway-targeted cancer therapeutic research: Where do we stand?. Cell Death Dis. 2016; 7: e2058 PubMed Abstract | Publisher Full TextCompeting Interests: No competing interests were disclosed.
Reviewer Expertise: Oral Medicine, Immunology, Microbiology, Infectious Disease
Alongside their report, reviewers assign a status to the article:
| Invited Reviewers | ||
|---|---|---|
| 1 | 2 | |
| Version 5 (revision) 01 Jul 19 | read | |
| Version 4 (revision) 12 Feb 19 | read | |
| Version 3 (revision) 07 Dec 18 | read | read |
| Version 2 (revision) 26 Oct 18 | ||
| Version 1 11 Jun 18 | read | read |
Click here to access the data.
Spreadsheet data files may not format correctly if your computer is using different default delimiters (symbols used to separate values into separate cells) - a spreadsheet created in one region is sometimes misinterpreted by computers in other regions. You can change the regional settings on your computer so that the spreadsheet can be interpreted correctly.
Provide sufficient details of any financial or non-financial competing interests to enable users to assess whether your comments might lead a reasonable person to question your impartiality. Consider the following examples, but note that this is not an exhaustive list:
Sign up for content alerts and receive a weekly or monthly email with all newly published articles
Already registered? Sign in
The email address should be the one you originally registered with F1000.
You registered with F1000 via Google, so we cannot reset your password.
To sign in, please click here.
If you still need help with your Google account password, please click here.
You registered with F1000 via Facebook, so we cannot reset your password.
To sign in, please click here.
If you still need help with your Facebook account password, please click here.
We have sent an email to , please follow the instructions to reset your password.
If you don't receive this email, please check your spam filters and/or contact .
Comments on this article Comments (0)