ALL Metrics
-
Views
-
Downloads
Get PDF
Get XML
Cite
Export
Track
Research Article

Hematologic and coagulopathy parameter as a survival predictor among moderate to severe COVID-19 patients in non- ICU ward: a single-center study at the main referral hospital in Surabaya, East Java, Indonesia

[version 1; peer review: 2 approved with reservations]
PUBLISHED 11 Aug 2021
Author details Author details
OPEN PEER REVIEW
REVIEWER STATUS

This article is included in the Emerging Diseases and Outbreaks gateway.

This article is included in the Coronavirus (COVID-19) collection.

Abstract

Background : This research aimed to examine and analyze risk factors for death, hematologic parameters and coagulation in COVID-19 patients at RSUD Dr. Soetomo Surabaya, one of the referral centers for probable COVID-19 patient cases in East Java.
Method : This was a retrospective analytical study by taking secondary data on patients with probable COVID-19 cases who were treated in hospital isolation rooms from May to September, 2020.
Result : Of 538 probable COVID-19 patients, 217  tested positive, with an average age of 52.11±13.12 years, and there were 38 death cases. Hematologic parameters, such as white blood cell, neutrophil and lymphocyte counts, were significantly different in the deceased group. On the other hand, coagulation parameters, consisting of D-dimer, CRP, PT, and aPTT showed significantly similar value in the deceased group. Univatiate analysis concluded that chronic kidney disease, diabetes mellitus, coronary heart disease, WBC, NLR, and PPT counts could predict the mortality, while multivariate analysis revealed that coronary heart disease was the only significant independent predictor of mortality.
Conclusion : This research shows that hematologic and coagulation parameters were increased in the majority of COVID-19 patients and the deceased group. While the number of neutrophils and WBC increases, the number of lymphocytes decreases significantly with increasing disease severity. Coronary heart disease is an independent predictor of mortality.

Keywords

COVID-19, comorbid, hematology, coagulopathy, good health, and well-being

Introduction

In December 2019, China reported a mysterious pneumonia case of unknown cause which had spread rapidly in Wuhan city. The World Health Organization (WHO) named this virus as the 2019 novel coronavirus (2019-nCoV),1,2 and the name was changed to Severe Acute Respiratory Syndrome Coronavirus-2 (SARS-CoV-2) by the Coronaviridae Study Group (CSG) of the International Committee on Taxonomy of Viruses; the official name of the disease caused by the virus is COVID-19.2,3 COVID-19 is a major health concern at this time, especially for the elderly, due to the SARS-CoV-2 virus.4,5 This coronavirus has become the main pathogen, causing an outbreak of respiratory disease until it has been declared a pandemic, and spreading rapidly throughout the world, including Indonesia.6 COVID-19 has become a global problem today due to the high transmission and mortality rates.7

As reported by Huang et al., patients with COVID-19 present primarily with fever, myalgia or fatigue, and dry cough.7 Although most patients are considered to have good prognoses, elderly patients, as well as those with underlying chronic conditions, may have worse outcomes. Severe patients may experience shortness of breath and hypoxemia within one week of disease onset, which can rapidly progress to acute respiratory distress syndrome (ARDS) or end-organ damage. Chronic cardiac and metabolic disease, the presence of acute inflammation as well as decreased organ (heart, kidney, liver, and hematology) function experienced by patients at the beginning of treatment, can increase the risk of death due to COVID-19 infection.8,9

The need for COVID 19 patients to be hospitalized varies widely from country to country as it depends on the prevalence of community testing and admission criteria.2,10 However, it is estimated that one in 5–10 adult patients with disease severity and sufficient criteria to be hospitalized. Most of the patients with severe acute respiratory infections or severe acute respiratory syndrome were managed according to the case definition of WHO. The criteria for intensive care also vary from country to country. Old age, chronic disease, and male gender are consistently associated with increased mortality.10

Hematologic and coagulation parameters were important for predicting the severity of COVID-19. The occurrence of disseminated intravascular coagulation (DIC) is a common finding in deceased COVID-19 patients.11 In addition, administering anticoagulant therapy to high-risk patients is effective in reducing mortality.12,13

The first COVID-19 case in Indonesia was announced on March 2, 2020, about four months after the first case in China.14 The first cases in Indonesia in March 2020 were two cases; and after that on March 6, two cases were found again. COVID-19 cases continue to grow. In the beginning, there were hundreds of cases added; and until now, the number of cases has increased to thousands. On March 17, 2020, the government of East Java reported the first case of COVID-19, and as of July 31, 2020, there were 22,098 confirmed cases with a fairly high mortality rate of 7.6%.16 Meanwhile, in Surabaya City in July 2020, there were 8,691 confirmed COVID-19 patients. The RSUD Dr. Soetomo (RSDS) Surabaya is one of the referral centers for probable COVID-19 patient cases in East Java. Based on the total cases, it is necessary to collect data, including clinical manifestations, risk factors, hematologic parameters, and coagulation which aggravate the condition of COVID-19 patients.17

Several studies related to clinical manifestations and risk factors for COVID-19 patients have been reported previously; however, this research is based on relatively small sample size, and the risk factors that lead to poor clinical outcomes have not yet been well explained. In addition, deceased patients in probable and confirmed cases of COVID-19 at RSDS Surabaya had often presented with comorbidities, such as diabetes mellitus, high blood pressure, heart disease, hematological disorders, old age, chronic lung disease, stroke, and kidney disorders. This leads to discussion around which comorbid, hematologic parameters and coagulation factors may become predictive of COVID-19 mortality.

Methods

This was a retrospective analytical study, performed by taking secondary data on patients with probable COVID-19 cases who were treated at the special isolation room (non-intensive care) of the Department of Internal Medicine of the teaching hospital of RSUD Dr. Soetomo between May and September, 2020. The sample consisted of deceased and survived patients at the special isolation room (non-intensive care) of Internal Medicine of RSUD Dr. Soetomo, who had been hospitalized with probable COVID-19. The inclusion criterion was hospitalization with probable COVID-19 in patients who were more than 18 years old. The exclusion criterion was incomplete care clinical data. This research began with sample selection including all COVID-19-probable hospitalized patients (a total of 538 probable cases); then a diagnosis of COVID-19 was examined using reverse-transcription polymerase chain reaction (RT-PCR), carried out through nasal swab. RT-PCR results showed 297 patients were positive (55.2%) and 241 patients were negative (44.8%). Of the 297 positive patients with COVID-19, 80 patients had incomplete medical record data, therefore, 217 patients met the inclusion criterion and were included in the study (see Figure 1).

a0ae3f27-5018-4fb9-821a-ed48401ea52f_figure1.gif

Figure 1. Patient COVID-19 data selection process.

Approval from the local ethics committee was obtained for this research; written informed consent was obtained from patients during hospitalization. Then from the hospital infromation database system, we retrieved patient characteristics such as age, gender, comorbidities, signs and symptoms, and laboratory results, including hemoglobin, white blood cell (WBC), neutrophil, lymphocyte, and platelet counts, D-dimer level, C-reactive protein (CRP), prothrombin time (PT), and activated partial thromboplastin time (aPTT).

Statistical analysis

Data analysis was performed using SPSS version 25 (Chicago, IL, USA; RRID:SCR_002865); JASP (RRID:SCR_015823) is an open access alternative. Patient characteristics (see Table 1) are presented as mean ± standard deviation or median, and interquartile ranges of 25th and 75th percentiles (IQR 1–3) or minimum and maximum, depending on the continuous distribution variable. Normality tests were performed and a comparison test for normal distribution data by an independent sample t-test and a Mann–Whitney test, otherwise. Comparison for the caterogical variables were performed using Pearson's and Fisher's Exact Chi-squared tests. Survival analyses and Kaplan–Meier survival curves were performed for hemoglobin, white blood cell, neutrophil, lymphocyte, neutrophil–lymphocyte ratio, D-dimer, PT, aPTT, and CRP.

Table 1. Laboratory and clinical overview of the deceased and survived patients.

Total (n = 217)Survival statusp-value
Not survive (n = 38)Survive (n = 179)
Age52.11 ± 13.1258.42 ± 12.7850.77 ± 12.83<0.001
Gender
Male116 (53.5)23 (60.5)93 (52.0)0.336
Female101 (46.5)15 (39.5)86 (48.0)
Comorbid factors129 (59.4)28 (73.7)101 (56.4)0.049
Diabetes (DM)72 (33.2)18 (47.4)54 (30.2)0.041
Hypertension (HT)66 (30.4)13 (34.2)53 (29.6)0.575
Coronary heart disease4 (1.8)4 (10.5)0 (0)<0.001*
Thyroid2 (0.9)0 (0)2 (1.1)0.680*
Obesity2 (0.9)0 (0)2 (1.1)0.680*
Malignancy10 (4.6)4 (10.5)6 (3.4)0.076*
CKD42 (19.4)27 (15.1)15 (39.5)<0.001
Regular HD11 (5.1)9 (5.0)2 (5.3)0.605*
Hepatitis B7 (3.2)4 (2.2)3 (7.9)0.105*
Chronic liver disease5 (2.3)3 (1.7)2 (5.3)0.211*
Chronic lung disease5 (2.3)0 (0)5 (2.8)0.378*
Symptoms
Short of breath118 (54.4)25 (65.8)93 (52.0)0.120
Cough111 (51.2)19 (50.0)92 (52.4)0.876
Fever87 (40.1)19 (50.0)68 (38.0)0.170
Limp51 (23.5)11 (28.9)40 (22.3)0.383
Hoarseness0 (0)0 (0)0 (0)-
Anosmia2 (0.9)0 (0)2 (1.1)0.680*
Nasal congestion1 (0.5)0 (0)1 (0.6)0.825*
Watery eyes0 (0)0 (0)0 (0)-
Muscle pain0 (0)0 (0)0 (0)-
Diarrhea25 (11.5)4 (10.5)21 (11.7)0.833
Swallowing pain9 (4.1)2 (5.3)7 (3.9)0.705
Headache5 (2.3)1 (2.6)4 (2.2)0.883
COVID-19 therapies
Hydroxychloroquine35 (16.1)2 (5.3)33 (18.4)-
Isoprinosine25 (11.5)6 (15.8)19 (10.6)-
Oseltamivir14 (6.5)13 (7.3)1 (2.6)-
Lopinavir38 (17.5)11 (28.9)27 (15.1)-
Favipiravir (Avigan)2 (0.9)0 (0)2 (1.1)-
Laboratory parameters
Hb (g/dL)12.27 ± 2.5411.75 ± 2.3012.38 ± 2.580.075**
WBC (×109/L)10.83 ± 9.6413.67 ± 11.8310.23 ± 9.030.011**
Neutrophil abs (×109/L)8.19 ± 7.3913.67 ± 11.1310.23 ± 6.160.002**
Lymphocyte abs (×109/L)1.46 ± 1.341.39 ± 1.541.48 ± 0.110.074**
NLR8.53 ± 17.8715.57 ± 39.147.04 ± 7.510.003**
PLT count (×109/L)298.87 ± 174.02315.28 ± 253.73295.39 ± 152.630.953**
aPTT (second)28.82 ± 9.1431.37 ± 17.4028.28 ± 6.070.635**
PPT (second)12.58 ± 6.8115.06 ± 14.2712.06 ± 3.520.103**
D-Dimer (ng/dL)3593.15 ± 5380.456767.55 ± 8655.182919.26 ± 4117.03<0.001**
CRP (mg/dL)12.95 ± 45.5417.80 ± 11.5511.92 ± 49.83<0.001**

* Fischer Exact test.

** Mann-Whitney test.

Evaluation the independent predictors of mortality was perfomed by univariate and multivariate Cox regression analysis. Threshold mortality predictor from the laboratory parameter was performed;the receiver–operating curve (ROC) analysis associated with the area under the curve (AUC) was used to find the optimal threshold value of the laboratory rate parameter to predict the progression of mortality in the study group. The AUC was interpreted as excellent if 0.9 < AUC < 1; good if 0.8 < AUC < 0.9; moderate if 0.7 < AUC < 0.8; poor if 0.6 < AUC < 0.7; and fail if 0.5 < AUC < 0.6.

Results

As many as 538 patients with probable COVID-19 were included during the study period. Based on the total, 288 (53.5%) were males, with the mean ± SD age of 51.69 ± 13.67 years. More than half of the patients (63.7%) had elemental diseases, including diabetes mellitus (34%), hypertension (32.5%), and CKD (22.7%). All the patients with probable COVID-19 experienced symptoms on arrival, including complaints of shortness of breath (48.7%), cough (40%), fever (32%), and limp (24%). Some patients also complained of diarrhea and headache but the percentage was low at 10.2% and 3.2%, respectively.

Demographic and clinical overview and laboratory results of the COVID-19 patient study group

In total, we included 217 hospitalized patients with a diagnosis of COVID-19; their were 116 male patients and the male-to-female ratio was 1.14. The average age of this retrospective research was 52.11 ± 13.12 years. The most common chronic disease (comorbid) among patients was diabetes (33.2%). The clinical and demographic characteristics and laboratory results are shown in Table 1.

Comparison of laboratory parameters in deceased and survived patients

From 217 patients, 38 patients (17.5%) died. They were significantly older than those who survived (mean 58.42 ± 12.78 versus 50.77 ± 12.83 years, respectively; p < 0.001). The majority of the deceased patients had at least one comorbidity (73%), while 56.4% of the patients who survived had comorbid factors (p = 0.049). The common comorbidities that were significantly different were diabetes mellitus, hypertension, and coronary heart disease in the group of deceased patients than in those who survived. In deceased patients, the white blood cell, neutrophil, and lymphocyte counts were significantly different to the survived patients. The same was true for D-dimer, CRP, PPT and aPTT (see Table 2).

Table 2. Comparison of laboratory results in deceased and survived patients.

Total
(n = 217)
Survival statusp-value
Not survive (n = 38)Survive (n = 179)
Hemoglobin (g/dL) (%)
<1278 (35.9)20 (52.6)58 (52.4)0.052*
12-16136 (62.7)18 (47.4)118 (65.9)
>163 (1.4)0 (0)3 (1.7)
WBC (leucocyte) (×109) (%)
<4.013 (6.0)2 (5.3)11 (6.1)0.028
4.0-10.0125 (57.6)15 (39.5)110 (61.5)
>10.079 (36.4)21 (55.3)28 (32.4)
Neutrophil count (×109) (%)
<2.09 (4.1)2 (5.3)7 (3.9)0.006
2.0-7.0119 (54.8)12 (31.6)107 (59.8)
>7.089 (41.0)24 (63.2)65 (36.3)
Lymphocyte count (×109) (%)
<0.847 (21.7)12 (31.6)35 (19.6)0.048*
0.8-4.0166 (76.5)24 (63.2)142 (79.3)
>4.04 (1.8)2 (5.3)2 (1.1)
Platelet count (×109) (%)
<15027 (12.4)3 (7.9)24 (13.4)0.588*
150-450164 (75.6)31 (81.6)133 (74.3)
>45026 (12.0)4 (10.5)22 (12.3)
Above-normal result percentages
C-reactive protein (%)192 (88.5)37 (97.4)155 (86.6)0.042
D-dimer (%)203 (93.5)36 (94.7)167 (93.3)0.543
Prothrombin time (%)12 (5.5)5 (13.2)7 (3.9)0.039
aPTT (%)7 (3.2)2 (5.3)5 (2.8)0.354
NLR154 (71)33 (86.8)121 (67.6)0.018

* Kruskal-Wallis test.

Inflammatory markers (leukocyte, C-reactive protein, neutrophill count and NLR) were significantly higher in the deceased group than in the group who survived. While the normal leukocyte and neutrophil counts were significantly more common in the patients who survived, and lymphopenia was significantly more common in deceased patients (p = 0.048). Meanwhile, the frequency of thrombocytopenia and the increase in D-dimer were comparable between the two groups.

The ROC analysis using sensitivity and specificity based on mortality predictor revealed that there was an optimal cut-off value for several laboratory parameters including WBC count, neutrophil count, CRP level, D-dimer, and NLR count. The largest AUC value was CRP with a cut-off value of ≥1.85 (sensitivity = 94.7% and specificity = 72.1%). NLR, WBC count, neutrophil count, D-dimer, and CRP as mortality predictors showed good results (see Table 3).

Table 3. Sensitivity and specificity of laboratory parameters.

AUCSensitivitySpecificityCut-off95% CIp-value
Hemoglobin (g/dL)0.4080.7820.658>10.850.311-0.5050.075
WBC (×109)0.6310.6200.737≥70900.534-0.7280.011
Neutrophil count (×109)0.6630.9610.947≥20800.570-0.7560.002
Lymphocyte count (×109)0.4080.7650.632≥8590.306-0.5090.074
Platelet count (×109)0.4970.6870.684≥2080000.401-0.5930.953
C-reactive protein0.7730.9470.721≥1.850.693-0.852<0.001
D-dimer0.6790.9390.974≥4100.586-0.772<0.001
Prothrombin time0.5840.8770.895≥9.950.476-0.6920.103
aPTT0.5250.3850.421≥290.428-0.6210.635
NLR0.6520.5920.789≥3.880.563-0.7430.003

Survival analysis

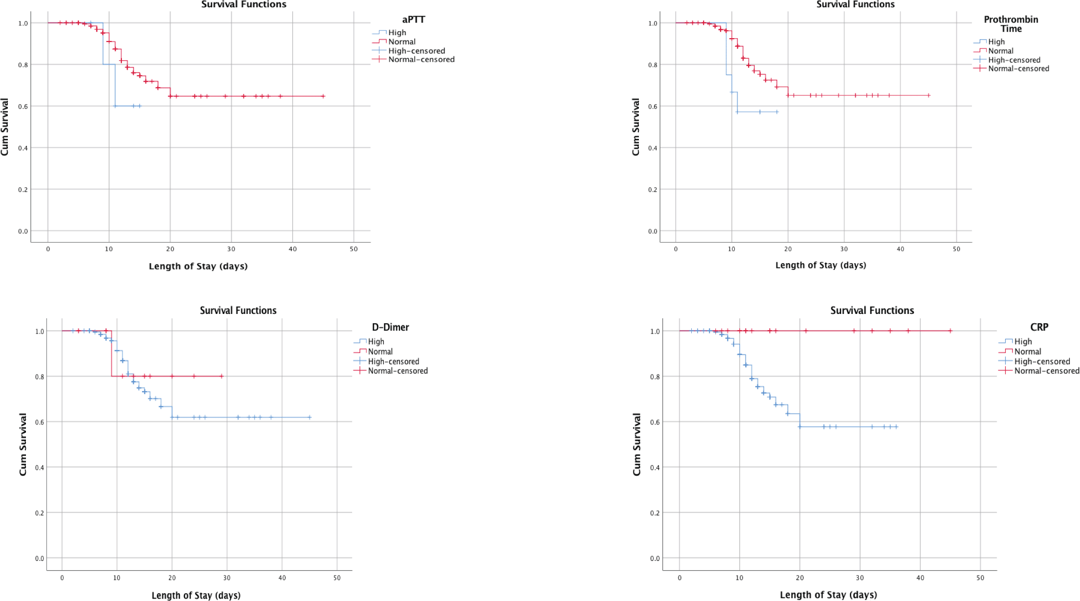
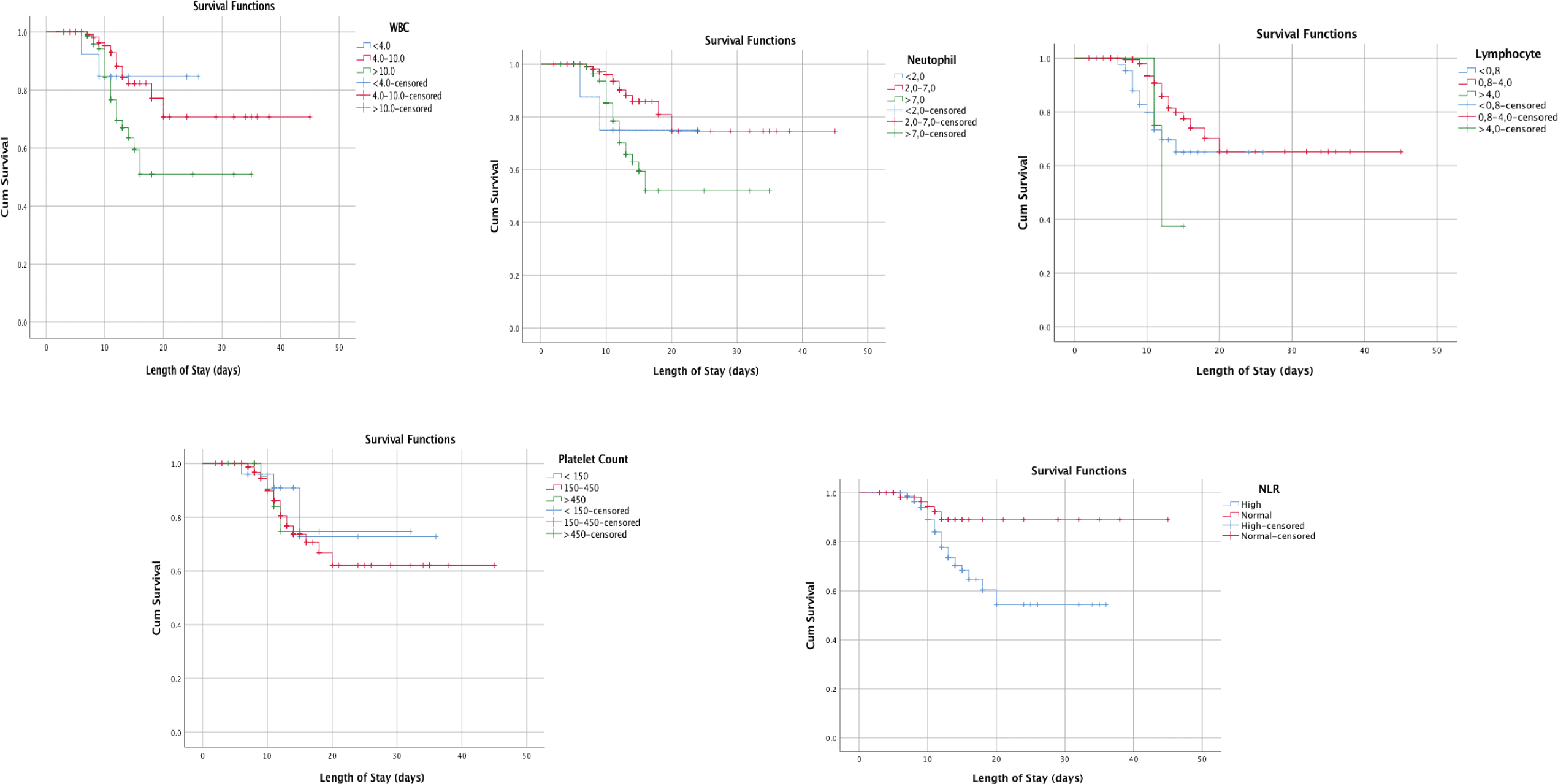
The Kaplan–Meier graph showed that there was a significant association between mortality and leukocyte count, neutrophil count, NLR, PT, and CRP (p < 0.05, respectively) (see Figure 2). Lower survival rate was shown from leukopenia, leukocytosis, neutrophillia, high NLR, high CRP, and prolonged PT (p = 0.015; p = 0.018, p = 0.003, p = 0.035, and p = 0.03, respectively).

a0ae3f27-5018-4fb9-821a-ed48401ea52f_figure2a.gifa0ae3f27-5018-4fb9-821a-ed48401ea52f_figure2b.gif

Figure 2. Kaplan-Meier survival curves white blood cell count (WBC), neutrophil count, lymphocyte count, neutrophil-lymphocyte ratio (NLR), platelet count, aPTT, prothrombin time, D-Dimer, and CRP.

Determining independent predictors of mortality

We included age (as a categorical variable of under and over 65 years old), presence of chronic kidney disease, diabetes mellitus, coronary heart disease, and indicators, such as WBC count, NLR, CRP, PT, aPTT, and D-dimer for determining the predictors of mortality. In the univariate analysis, the independent predictors of mortality were shown from presence of chronic kidney disease, diabetes mellitus, coronary heart disease, WBC count, NLR, and PPT. However, based on the Cox multivariate regression analysis, only coronary heart disease significantly became the independent predictor of mortality (see Table 4).

Table 4. Multivariate with Cox regression analysis.

Crude
HR (95% CI)
Crude
p-value
Adjusted
HR (95% CI)
Adjusted
p-value
Age >65 years old: exists or not2.05 (0.99-4.23)0.051
Hypertension: exists or not1.16 (0.59-2.28)0.647
CKD: exists or not2.76 (1.44-5.29)0.0021.64 (0.78-3.41)0.185
Diabetes mellitus: exists or not1.95 (1.03-3.71)0.0391.69 (0.84-3.39)0.136
Coronary heart disease: exists or not9.24 (3.20-26.67)<0.00111.56 (3.24-41.26)<0.001
Platelet count: high or normal0.971 (0.34-2.74)0.956
WBC count: high or normal2.47 (1.29-4.69)0.0061.58 (0.76-3.29)0.216
NLR: high or normal2.91 (1.13-7.47)0.0261.81 (0.66-4.98)0.247
C-reactive protein: high or normal6.31 (0.86-46.30)0.070
Prothrombin time: high or normal2.68 (1.04-6.91)0.0401.91 (0.67-5.39)0.222
aPTT: high or normal2.24 (0.53-9.34)0.268
D-Dimer1.42 (0.34-5.930.630

Discussion

Significant differences were found in the demographic and clinical variables, and hematologic and coagulation parameters between the deceased and surviving COVID-19 patients. We included age in the risk factor for COVID-19 mortality, whereas the age had a p-value <0.05. The age factor appeared to be crucial for the outcome of COVID-19. The average age of the deceased patients was 58 years old and was significantly older than the surviving patients. This was in accordance with previous studies which stated that 80% of deaths in COVID-19 were of adulthood, therefore, old age can be said to be a risk factor for COVID-19 mortality.15,16 Increasing age also increased the percentage of COVID-19 mortality from 5% in the youngest age patients, to 55% at the oldest age.17

Gender was proven to be a risk factor for mortality in COVID-19 patients, which was higher for men than for women. This was due to the fundamental differences in the immunological systems of men and women, differences in lifestyle, and the prevalence of smoking.18 In this research, although statistically insignificant, the percentage of the number of male COVID-19 patients was higher, both overall and in the group of deceased patients. The higher mortality rates were associated with the higher chronic comorbidities in men, e.g., diabetes mellitus, kidney disease, hypertension, heart disease, lung disease, and smoking.19

The comorbid factors of diabetes mellitus, heart disease, and chronic kidney disease in COVID-19 patients could be the risk factors of death in this research, with a p-value of <0.05. This result was similar to the meta-analysis study conducted by Mantovani et al., who stated that the prevalence of diabetic patients hospitalized due to COVID-19 was 14.34%, and 11.06% in patients in Asian countries. Meanwhile, the prevalence in non-Asian countries was higher, which was 23.34%. The risk of worsening the condition to require treatment in intensive care was two times greater in diabetes patients.20 Likewise, elderly patients with diabetes belonged to the group at risk of death.21

For the hematologic parameters in this research, the leukocyte, neutrophil counts, lymphocyte count, and NLR were significantly different in the deceased patients than in the surviving patients. This research results were consistent with several previously published studies.22,23 On the other hand, the platelet count in this research was comparable between the groups of deceased and surviving patients. This was in contrast with the results of a meta-analysis that concluded by Lippi et al., who showed that thrombocytopenia was associated with increasing severity risk and mortality of COVID-19.24 Differences in pathophysiological mechanisms in each patient may lead to insignificant findings in this research. Many researchers have studied the changes in peripheral blood cell counts in COVID-19, and the results were that in infected patients, the white blood cell and neutrophil count increased, while the lymphocyte and platelet counts decreased.25 In the other cases, coagulation abnormalities (prolonged PT and aPTT) and intravascular coagulopathy (DIC) were so correlated with low platelet count.26

The extreme inflammation is usually evidenced by elevated serum of CRP, IL-6, and PCT which indicate the increasing of COVID-19 severity.27 High levels of CRP and procalcitonin in COVID-19 patients are also associated with the progression of ARDS, myocardial injury, and death.27,28 The presence of secondary bacterial infection would be an additional explanation of this increase in inflammatory biomarkers. This is consistent with this research which showed that serum CRP levels were significantly higher in the cohort of deceased COVID-19 patients. Therefore, we believe that the use of CRP as a biomarker in monitoring the progress and severity of COVID-19 patients will be beneficial.

In a systematic review, Vidali et al. concluded a correlation between increasing D-Dimer levels and the incidence of complications and death from COVID-19. Significantly higher serum D-dimer levels were showed in COVID-19 patients with acute respiratory distress syndrome (ARDS) and the group of deceased patients.29 However, our results showed that D-dimer levels were comparable between both groups of deceased and survived patients, this result could be due to differences in measurement methods as disclosed by Favaloro et al. who stated several things regarding the measurement and reporting quality of D-dimers such as the measurement method, cut-off value, or D-dimer unit [D-dimer unit (DDU)] can lead to different research results.30

PT and aPTT prolongation may occur during severe COVID-19, yet the increase is less severe than that observed in bacterial sepsis and DIC.34 A meta-analysis conducted by Henry et al.28 found that patients with severe and fatal COVID-19 had significantly higher coagulation parameters (especially PT) than patients with the non-severe disease. This is consistent with this research where there was an increase in aPTT (but not statistically significant) and a significant increase in PT with p < 0.05 in the group of deceased patients. Although it is not completely clear how SARS-CoV-2 activates the coagulation cascade, it may be associated as a byproduct of cytokine storms.31 Researchers detected a significant extension in coagulation tests in this research, consistent with previously published studies.25,32 The mechanism of these changes is still not fully explained, however, the extension of the coagulation test, i.e., increased PT and aPTT, can be considered as a marker of disease severity and activation of the coagulation cascade and virus-induced cytokine storm.31,33

For as much as this research was a retrospective study, several parametes were not completely listed such as level of ferritin, fibrinogen, procalcitonin, and IL-6, hence we considered this as one of our research limitation. Since the development of complications that have occured in patients are not thoroughly documented, we can not confidently say that inflammatory and coagulation factor disorders are more common in severe COVID-19. The only outcome measure of this research was patient mortality in hospital. Although researchers evaluated platelet count and D-dimers, the International Society on Thrombosis and Hemostasis (ISTH) scores of the research’s patients were not calculated, and therefore, patients who had mild-to-moderate coagulation disorders and those who had a DIC could not be distinguished.

Conclusion

This research indicates that hematologic and coagulation parameters are increased in the majority of COVID-19 patients and the group of deceased patients. While the neutrophil count and WBC increase, the lymphocyte count decreases significantly along with the increase in disease severity. Coronary heart disease is an independent predictor of mortality.

Data availability

Underlying data

Figshare: Underlying data for ‘Hematologic and coagulopathy parameter as a survival predictor among moderate to severe COVID-19 patients in non- ICU ward: a single-center study at the main referral hospital in Surabaya, East Java, Indonesia’. https://doi.org/10.6084/m9.figshare.14673060.

The project contains the following underlying data:

  • Hema_Coagul_parameter_COVID.xlsx (main data).

  • readme.docx (index).

Data are available under the terms of the Creative Commons Attribution 4.0 International license (CC-BY 4.0).

Consent

Written informed consent was received from the patients during hospitalization.

Comments on this article Comments (0)

Version 3
VERSION 3 PUBLISHED 11 Aug 2021
Comment
Author details Author details
Competing interests
Grant information
Copyright
Download
 
Export To
metrics
Views Downloads
F1000Research - -
PubMed Central
Data from PMC are received and updated monthly.
- -
Citations
CITE
how to cite this article
Bintoro SUY, Dwijayanti NMI, Pramudya D et al. Hematologic and coagulopathy parameter as a survival predictor among moderate to severe COVID-19 patients in non- ICU ward: a single-center study at the main referral hospital in Surabaya, East Java, Indonesia [version 1; peer review: 2 approved with reservations]. F1000Research 2021, 10:791 (https://doi.org/10.12688/f1000research.53803.1)
NOTE: If applicable, it is important to ensure the information in square brackets after the title is included in all citations of this article.
track
receive updates on this article
Track an article to receive email alerts on any updates to this article.

Open Peer Review

Current Reviewer Status: ?
Key to Reviewer Statuses VIEW
ApprovedThe paper is scientifically sound in its current form and only minor, if any, improvements are suggested
Approved with reservations A number of small changes, sometimes more significant revisions are required to address specific details and improve the papers academic merit.
Not approvedFundamental flaws in the paper seriously undermine the findings and conclusions
Version 1
VERSION 1
PUBLISHED 11 Aug 2021
Views
37
Cite
Reviewer Report 31 Aug 2021
Azlan Bin Husin, Hospital Universiti Sains Malaysia, Kubang Kerian, Malaysia;  School of Medical Sciences, Universiti Sains Malaysia, Kubang Kerian, Malaysia 
Approved with Reservations
VIEWS 37
  1. Policy or criteria for hospital admission is important information to be included or at least discussed
     
  2. Inclusion of patients who were not having COVID19 is not relevant in this research, unless author
... Continue reading
CITE
CITE
HOW TO CITE THIS REPORT
Husin AB. Reviewer Report For: Hematologic and coagulopathy parameter as a survival predictor among moderate to severe COVID-19 patients in non- ICU ward: a single-center study at the main referral hospital in Surabaya, East Java, Indonesia [version 1; peer review: 2 approved with reservations]. F1000Research 2021, 10:791 (https://doi.org/10.5256/f1000research.57221.r91683)
NOTE: it is important to ensure the information in square brackets after the title is included in all citations of this article.
  • Author Response 21 Sep 2021
    Siprianus Ugroseno Yudho Bintoro, Hematology – Medical Oncology Division, Department of Internal Medicine, Airlangga University, Surabaya, 60132, Indonesia
    21 Sep 2021
    Author Response
    Dear reviewer,

    Thank you for reviewing and sending the feedback. We are going to revise it real soon.

    warm regards,

    Research Team
    Competing Interests: No competing interests were disclosed.
  • Author Response 19 Nov 2021
    Siprianus Ugroseno Yudho Bintoro, Hematology – Medical Oncology Division, Department of Internal Medicine, Airlangga University, Surabaya, 60132, Indonesia
    19 Nov 2021
    Author Response
    Comment 1:
    Policy or criteria for hospital admission were compliant with hospital policy which are: confirmed or suspected Covid-19, who are symptomatic plus any of following criteria.
    1. Age
    ... Continue reading
COMMENTS ON THIS REPORT
  • Author Response 21 Sep 2021
    Siprianus Ugroseno Yudho Bintoro, Hematology – Medical Oncology Division, Department of Internal Medicine, Airlangga University, Surabaya, 60132, Indonesia
    21 Sep 2021
    Author Response
    Dear reviewer,

    Thank you for reviewing and sending the feedback. We are going to revise it real soon.

    warm regards,

    Research Team
    Competing Interests: No competing interests were disclosed.
  • Author Response 19 Nov 2021
    Siprianus Ugroseno Yudho Bintoro, Hematology – Medical Oncology Division, Department of Internal Medicine, Airlangga University, Surabaya, 60132, Indonesia
    19 Nov 2021
    Author Response
    Comment 1:
    Policy or criteria for hospital admission were compliant with hospital policy which are: confirmed or suspected Covid-19, who are symptomatic plus any of following criteria.
    1. Age
    ... Continue reading
Views
41
Cite
Reviewer Report 27 Aug 2021
Andhika Rachman, Department of Hematology and Medical Oncology, University of Indonesia, Jakarta, Indonesia 
Bayu Rumondor, Kebayoran Baru General Hospital Jakarta, South Jakarta, Indonesia 
Approved with Reservations
VIEWS 41
The aim of this study is to evaluate and analyze risk factors of death, hematological and coagulation factors for COVID patients at RSUD Dr. Soetomo Surabaya. The parameters used in this manuscript were Hb, WBC, Neu#, lim#, NLR, platelet count, ... Continue reading
CITE
CITE
HOW TO CITE THIS REPORT
Rachman A and Rumondor B. Reviewer Report For: Hematologic and coagulopathy parameter as a survival predictor among moderate to severe COVID-19 patients in non- ICU ward: a single-center study at the main referral hospital in Surabaya, East Java, Indonesia [version 1; peer review: 2 approved with reservations]. F1000Research 2021, 10:791 (https://doi.org/10.5256/f1000research.57221.r91679)
NOTE: it is important to ensure the information in square brackets after the title is included in all citations of this article.
  • Author Response 07 Sep 2021
    Siprianus Ugroseno Yudho Bintoro, Hematology – Medical Oncology Division, Department of Internal Medicine, Airlangga University, Surabaya, 60132, Indonesia
    07 Sep 2021
    Author Response
    Dear Reviewer,

    Thank you for reviewing and sending the feedback. We are going to revise it real soon.

    Warm regards,

    Research Team
    Competing Interests: No competing interests were disclosed.
COMMENTS ON THIS REPORT
  • Author Response 07 Sep 2021
    Siprianus Ugroseno Yudho Bintoro, Hematology – Medical Oncology Division, Department of Internal Medicine, Airlangga University, Surabaya, 60132, Indonesia
    07 Sep 2021
    Author Response
    Dear Reviewer,

    Thank you for reviewing and sending the feedback. We are going to revise it real soon.

    Warm regards,

    Research Team
    Competing Interests: No competing interests were disclosed.

Comments on this article Comments (0)

Version 3
VERSION 3 PUBLISHED 11 Aug 2021
Comment
Alongside their report, reviewers assign a status to the article:
Approved - the paper is scientifically sound in its current form and only minor, if any, improvements are suggested
Approved with reservations - A number of small changes, sometimes more significant revisions are required to address specific details and improve the papers academic merit.
Not approved - fundamental flaws in the paper seriously undermine the findings and conclusions
Sign In
If you've forgotten your password, please enter your email address below and we'll send you instructions on how to reset your password.

The email address should be the one you originally registered with F1000.

Email address not valid, please try again

You registered with F1000 via Google, so we cannot reset your password.

To sign in, please click here.

If you still need help with your Google account password, please click here.

You registered with F1000 via Facebook, so we cannot reset your password.

To sign in, please click here.

If you still need help with your Facebook account password, please click here.

Code not correct, please try again
Email us for further assistance.
Server error, please try again.