Keywords
COVID-19, SARS-CoV-2, mathematical modeling, vaccination, non-pharmaceutical intervention, epidemiology, differential equations, boundary value problems
This article is included in the Emerging Diseases and Outbreaks gateway.
This article is included in the Coronavirus (COVID-19) collection.
COVID-19, SARS-CoV-2, mathematical modeling, vaccination, non-pharmaceutical intervention, epidemiology, differential equations, boundary value problems
The advent of COVID-19 vaccines and mass vaccinations of populations have led to widespread public expectation that we may be able to end the ongoing SARS-CoV-2 pandemic in some economically advanced countries by as early as the of beginning 20221. While the pace at which these vaccines have been developed and authorized by governments for population-wide usage has been unprecedented2 reflecting the desire to fast track the ending or control of the pandemic given the socio-economic costs of protracted non-pharmaceutical interventions (NPIs), such as cyclical lockdowns and social distancing measures3, it is also clear that several features of the current vaccines and vaccination strategies for achieving this goal remain unresolved4,5.
First, it is important to consider that vaccines serve two major purposes: to protect the individual from contracting the disease and to stop the transmission of community infection. While the initial vaccine trial data for the three major vaccines approved for use thus far in developed world settings, viz. Pfizer-BioNTech, Moderna, and Oxford-AstraZeneca, indicate that these could induce very high levels of protection (70–90%) against symptomatic disease6, more recent data with regard to the AstraZeneca vaccine suggests that vaccination may also reduce community transmission of the virus significantly7. These data suggest that both disease outcomes and transmission could be significantly reduced in communities as a result of mass deployments of these vaccines. A key factor, however, is that in both cases current vaccines are not 100% protective. Second, it is apparent that the number of vaccines initially available and the logistical challenges connected with their delivery will hamper the rapid vaccination of populations, which will prolong the time to eradicate the disease through vaccination in populations8. An added challenge is the reduced effectiveness of these vaccines as currently formulated against newly emerging virus variants9.
A third important factor is to consider the epidemiological and social contexts in which vaccinations will take place. This is important because many populations undergoing vaccinations will have already experienced one or more waves of COVID-19, as a result of which some level of natural immunity to SARS-CoV-2 will likely to be in operation in these communities. Such pre-existing immunity could indicate that the vaccine coverage to end the pandemic (reduce the prevailing effective reproduction number, Rt to below 1 sustainably) need not be too high even if vaccine effectiveness is not perfect10, increasing the prognosis of using the current vaccines to end the pandemic. On the other hand, these populations are also currently experiencing various levels of NPIs3. Such social mitigation or containment measures, while protecting the susceptible fraction from infection will act also to depress the development of natural immunity in the population. These outcomes suggest that there may be complex interactions between the two interventions, a better understanding of which will be crucial in determining how best to optimally deploy these tools for controlling or ending the pandemic. Further, investigating such interactions will also be important in fully understanding the implications of relaxing these NPIs as vaccinations roll out10,11.
Here, we extend our existing data-driven socio-epidemiological SEIR-based COVID-19 mathematical model12 by incorporating imperfect vaccination dynamics in order to undertake a theoretical investigation of this topic. To enhance realism we use the basic model calibrated to infection data on the course of the pandemic in the Tampa Bay region, and use the resulting model to investigate the interplay between vaccination and social protective measures for effective control or elimination of the pandemic. In particular, we explore the dynamical implications of imperfect vaccine effectiveness, vaccine rollout rates, and coverage of vaccination and social measures on the eradication of the disease in the community, and the effects these will have for virus transmission and critical care requirements. We also inspect the effect that the current vaccination roll out will have on the extent to which a population may relax social measures to return to normalcy, and the threat of future outbreaks in communities with low vaccination rates.
Here we develop an extended SEIR model to assess population-level disease dynamics of COVID transmission. We consider a population of fixed size that we divide into eleven interacting sub-populations: susceptible without access to a vaccine (S), vaccinated susceptible (V), unvaccinated susceptible (with access to a vaccine) (X), exposed but not infectious (E), asymptomatic infected (Ia), pre-symptomatic infected (Ip), mildly symptomatic infected (Im), hospitalized infected (Ih), critical care infected (Ic), recovered (R), and died (D). Since the population size is fixed, we can impose the condition that S + X + V + E + Ia + Ip + Im + Ih + Ic + R + D = 1, and each population can therefore be interpreted as a proportion of the total population.
Our model is visualized as a diagram in Figure 1. Importantly, we assume that asymptomatic, pre-symptomatic, and mildly symptomatic individuals transmit the disease at the same rate β, and that these are the only sources of transmission. The transmission rate is reduced due to social measures (face masks, social distancing, self quarantine, etc) by a factor of 1 – ac among all infectious individuals, where c is the efficacy of social measures and a is the proportion of the population adhering to social measures.
The vaccine becomes available to the population at rate µ, and individuals can choose whether or not to get the vaccine. Specifically, proportion ϕ of the susceptible population S enters the vaccinated population V at rate µ, while proportion 1 – ϕ of the susceptible population enters the unvaccinated class X at the same rate. This parameter ϕ allows us to analyze the effects of vaccine coverage, specifically as a consequence of individuals who are unwilling to receive the vaccine13. Vaccinated individuals are infected at a rate reduced by 1 – ξ, where ξ is the efficacy of the vaccine, while the unvaccinated class X has the same dynamics as the susceptible without access to a vaccination class S.
With these assumptions, our model is given by the following system of eleven ordinary differential equations:
The state variables and parameters are defined in Table 1 and Table 2, respectively. The parameters are estimated by the methods described below.
Each variable should be interpreted as a proportion of the total population.
The value for each parameter is used throughout this work unless stated otherwise. All rate parameters are measured in units of (day)−1.
We used a Monte Carlo based Bayesian Melding approach to parameterize the base model using case notification, death, and mobility data reported for the Tampa Bay region for the period between March 10th and August 24th 2020. (details of methods provided in 12). Briefly, all social and epidemiological model parameters that could not be fixed at initiation were sequentially updated using 10-day blocks or segments of data between the above estimated period from their initial prior values using this procedure, and the final model thus estimated was used for the simulations carried out in this paper. Confirmed case data for the four counties comprising Tampa Bay, viz. Hillsborough, Pasco, Pinelles and Polk, were obtained from the Johns Hopkins University Coronavirus Resource Center14. Mobility data serve as an estimate for population mixing and the fraction of the population under restricted movement in the counties concerned were obtained from the location data firm, Unacast. Our consolidated parameter data can be accessed in 15.
The effective reproductive number Rt quantifies the average number of secondary infections caused by each new infection. We can calculate Rt using the next generation matrix method developed in 16. The next-generation matrices for system (1) are:
and
where
is the force of infection.
Then the effective reproduction number Rt is exactly the spectral radius of FV−1:
We use this formula to assess the viability of vaccination programs on disease eradication in the following sections.
Here we use our model 1 to establish two boundary value problems (BVPs). The first allows us to determine the time necessarily to drive Rt < 1, and thereby control the spread of the disease, under varied vaccination rates. Solution of the second determines the peak ICU case load over the same vaccination rate.
For both BVPs, we consider system (1) extended to include an auxiliary variable τ:
This new variable provides an additional degree of freedom allowing us to solve the system as a BVP with a terminal, parameter-dependent boundary condition (BC).
To determine the time until Rt < 1, we solve system (3) with BCs
where Rt(t) is defined in equation (7). The variable tau within solutions of this BVP represents the time at which Rt(t) = 1. Since Rt(t) is strictly decreasing over time, Rt(t) < 1 for all t > τ, and τ is therefore the time at which the disease is eradicated.
To determine peak ICU cases, we consider system (3) with BCs
The third boundary condition is equivalent to = 0 and therefore requires Ic to be at a local maximum at time τ. The variable τ is therefore the time at which Ic reaches its maximum17. Evaluating Ic at t = τ for any solution of BVP (3)–(5) provides the peak ICU cases for the fixed parameter set.
Using XPPAUT (Version 8.0)18, we can numerically continue solutions to system (3) with BCs (4) or (5) over any system parameter; in particular, we use this method to evaluate the influence of ϕ and µ in the following section.
All model simulation and numerical analysis was performed using XPPAUT (Version 8.0). Our code can be accessed at15. Data from XPPAUT was exported to MATLAB (Version R2019a) to create Figure 2–Figure 6. Julia (Version 1.6.2) is an open-source software that could alternatively be used to the same effect.

The vaccination rate and efficacy are µ = 0.02 and ξ = 0.94, respectively. The right panel shows the same blue and green curves from the left panel, but zoomed in.

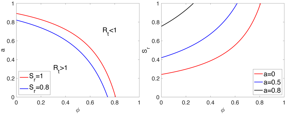
Each curve defines Rt = 1 over varied parameters with ξ = 0.94. (Left) Rt = 1 plotted over vaccine coverage ϕ and social measure compliance a. The region above each curve represents parameter pairs for which Rt < 1. (Right) Rt = 1 plotted over vaccine coverage ϕ and remaining susceptible population Sr with no, medium, and high proportions of social measure compliance. The region below each curve represents parameter pairs for which Rt < 1.

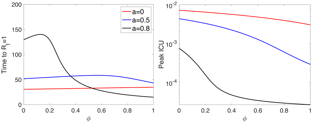
(Left) Time until Rt < 1 over ϕ. (Right) Peak ICU cases over ϕ (log scale). In both panels, µ = 0.02, and the red curve corresponds to no social measures (a = 0), the blue curve corresponds to moderate social measure compliance (a = 0.5), and and the black curve corresponds to high compliance (a = 0.8). The curves in this figure were created by solving boundary value problem (3) with boundary conditions (4) and (5) in the left and right panels, respectively.

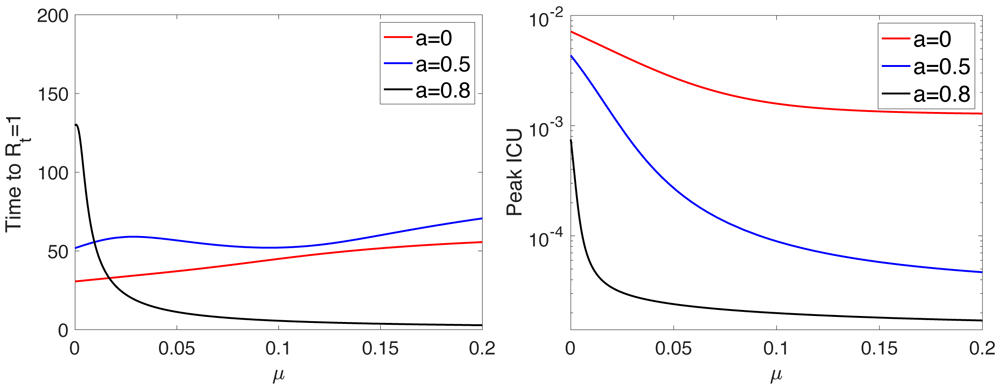
(Left) Time until Rt < 1 over µ. (Right) Peak ICU cases over µ (log scale). In both panels, ϕ = 0.6, and the red curve corresponds to no social measures (a = 0), the blue curve corresponds to moderate social measure compliance (a = 0.5), and and the black curve corresponds to high compliance (a = 0.8). The curves in this figure were created by solving boundary value problem (3) with boundary conditions (4) and (5) in the left and right panels, respectively.

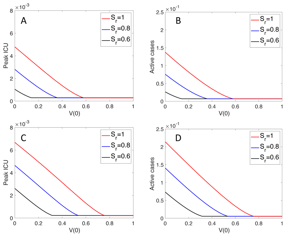
The top row (A and B) visualizes outbreak scenarios with baseline transmission rate β = 0.76. The bottom row (C and D) visualizes outbreak scenarios with 1.5× baseline transmission rate β = 1.14. The left column (A and C) shows peak ICU cases; the right column (B and D) shows total active cases when Ic is at its peak. In each panel, the colored curves correspond to varied remaining susceptible population sizes: fully susceptible (red curves), 80% susceptible (blue curves), and 60% susceptible (black curves). In each curve, ϕ = 0.6, µ = 0.02, a = 0, and the simulations were all initialized with E(0) = 0.001.
We begin by determining the extent to which a population can relax social measures once a vaccine becomes available and still control the virus. Here, we use simulations of the number of individuals requiring intensive care as a measure of control, and thus consequently, we consider the relationship between vaccine coverage ϕ and social measure compliance a on ICU hospitalization to address this question. Figure 2 shows ICU hospitalizations over time under various vaccine coverages and social measures. The red curve shows ICU cases without any vaccine or social measures, serving as a baseline for comparison. The black curve shows these cases with some vaccination and no social measures; the green curve shows ICU cases with strong social measures and no vaccine; the blue curve shows ICU cases with both vaccine coverage and social measures. Of course, greater vaccine coverage and stronger social measures result in fewer cases; however, social measures reduce the incidence of cases requiring intensive care much more than vaccine coverage. This is due to the slow vaccination rate µ, as we show in Time to eradication, below.
We use the effective reproduction number Rt to study strategies by which the virus can be eradicated. Importantly, Rt = Rt(t) is a function of time due to its dependence on S, X, and V: as the susceptible populations decrease, so does Rt. We consider the temporal dynamics of Rt in the following section. Here, we consider the idealized case in which proportion ϕ of the population is instantaneously vaccinated, V = ϕSr and X = (1 – ϕ)Sr, where Sr is a new parameter representing the remaining susceptible proportion of the population at the time the vaccine is administered (that is, 1 – Sr is the proportion of the population who are currently infected, recovered, or deceased). In this case, λ can be written
and so
The ideal goal in eradicating the disease is to permanently reduce the effective reproductive number below the threshold Rt = 1. Figure 3 shows curves in parameter space satisfying Rt = 1 with ξ = 0.94. On the left, curves are plotted over vaccine coverage ϕ and social measure compliance a and remaining susceptible population Sr = 1 (red curve) and Sr = 0.8 (blue curve). In order to achieve Rt < 1, (ϕ, a) pairs must lie above the curve. Note that disease eradication without social measures (a = 0) would require more than 80% of the population to receive a vaccine that is 94% effective in a naive population (Sr = 1); a population in which 20% have already been exposed would require approximately 75% to receive a vaccine in order to eradicate the disease without social measures. On the right, we show curves defined by Rt = 1 over vaccine coverage ϕ and remaining susceptible population Sr for varied social measures. For each fixed value of a, (ϕ, Sr) pairs must be below the curve to drive Rt < 1. Without social measures in place (red curve), approximately 75% of the population would have to be exposed to the virus before the disease is eradicated without a vaccine. In general, the larger the remaining susceptible population, the higher the vaccination coverage required to eradicate the disease. Importantly, the vaccine coverage threshold necessary to drive Rt < 1 decreases with increased social measures.
Vaccine rollout will not be instantaneous; it will likely take months to vaccinate a majority of the population. We therefore must consider the simultaneous effects of infection dynamics and slow vaccination rates on disease eradication, which requires considering the effective reproduction number as a function of time:
As the three susceptible populations S, X, and V change over time via infection and vaccination dynamics, Rt(t) strictly decreases. We denote the time at which Rt(t) decreases below 1 by th; that is, Rt(th) = 1. Time th marks the beginning of the end of community spread, and we therefore refer to th as the time to eradication. The left panel of Figure 4 shows th as a function of vaccination coverage ϕ for varied social measure compliance a with vaccination rate µ = 0.02. The time to eradication remains nearly constant over all ϕ for low social measure compliance (a = 0, 0.5; red and blue curves): this is due to the slow vaccination rate µ, and the comparably fast infection rate due to low social measure compliance. That is, for sufficiently small a, the virus spreads quickly through the population, infecting the susceptible population S much more quickly than the susceptibles become vaccinated. Thus, eradication is achieved primarily through infection, rather than through vaccination. For high social measure compliance (a = 0.8; black curve), th is large for small ϕ. This is because, for large a, the infection dynamics are slowed down, but because ϕ is small, the vaccination rate is also slow. The two mechanisms by which eradication is achieved (infection and vaccination) are therefore both slow, and so th is large. As ϕ increases, however, th decreases dramatically. The effective reproduction number Rt decreases as a increases, and thus achieving Rt = 1 requires less vaccination and infection for large a. Thus, despite the slow vaccination rate µ, there is a critical ϕ value past which the susceptible population becomes vaccination quickly enough so that Rt decreases below 1 due primarily to vaccine administration. In other words, the vaccination timescale overtakes the infection rate timescale for sufficiently large ϕ.
The right panel of Figure 4 shows the maximum ICU case load (that is, the peaks of the curves in Figure 2) as a function of vaccination coverage for varied a. Unsurprisingly, as ϕ increases, the maximum ICU load decreases for each a. However, the peak ICU load remains comparatively high for a = 0 and a = 0.5 (red and blue curves, respectively) compared with a = 0.8 (black curve). For this latter case, the peak ICU load decreases dramatically from ϕ = 0 until around ϕ = 0.4, then remains low for all larger ϕ. ICU capacity in most states is between 10−4 and 3 × 10−4: peak ICU cases only remain below this threshold for high social measure compliance and vaccination coverage.
Figure 4 suggests that sustained social measures help to eradicate the disease more efficiently than vaccination programs. This at least in part due to a relatively slow vaccination rate: µ = 0.02. We now investigate the influence of vaccination rate µ on the time to eradication and on peak ICU cases. The left panel of Figure 5 shows the time until the disease is eradicated, th, as a function of vaccination rate, µ, with ϕ = 0.6. Without or with sufficiently low social measure compliance (a = 0 and a = 0.5; red and blue curves), the time until eradication increases with µ. For both cases, vaccination coverage ϕ is too low to to eradicate the disease in a completely susceptible population (Figure 3), and consequently a non-negligible percentage of the population must become infected before Rt < 1. As µ increases, the infection dynamics slow down, causing the time it takes for Rt to drop below 1 to increase. For high social measure compliance (a = 0.8; black curve), the time to eradication decreases with µ. When a is sufficiently large, ϕ = 0.6 is large enough to eradicate the disease through vaccination alone (Figure 3), and increasing the vaccination rate therefore reduces the time to eradication. Thus, rapid eradication of the virus is only achievable with sustained, widely obeyed social measures.
The right panel of Figure 5 shows the peak ICU load over µ. Naturally, the faster the vaccine is administered to the population, the lower the peak ICU case load will be. However, peak ICU load only remains below typical ICU capacity (1–3×10−4) for small µ when social measure compliance is high (black curve). This again suggests that social measures must remain in place throughout the vaccination program in order to avoid hospital strain and associated loss of life.
Here we consider the potential for localized outbreaks within low-vaccinated populations in which social measures are no longer observed (a = 0). We focus on two important quantities: the proportion of the population that have already received the vaccination at the onset of the outbreak, V(0), and the proportion of the population that are still susceptible at the onset, Sr. The quantity Sr is interpreted as the proportion of the population that has not contracted and recovered from COVID-19, and consequently 1 – Sr is the proportion that has contracted the virus and is no longer susceptible. Figure 6 visualizes peak ICU cases (Ic; Figures 6A and C) and total active cases (Ia + Ip + Im + Ih + Ic) at the time when ICU cases are at their peak (Figures 6B and D) as a function of V(0). In the upper two figures (A and, the transmission rate is the baseline value we have used throughout this work (β = 0.76). We assess the risk that a fast-spreading variant poses in the lower two figures (C and D) by increasing the transmission rate by 50% relative to baseline (β = 1.14). In each curve, the model is initialized with E(0) = 0.001. The colored curves correspond to varied values of Sr: Sr = 1 is shown in red, Sr = 0.8 in blue, and Sr = 0.6 in black. Naturally, outbreaks are reduced in magnitude for smaller Sr. Similarly, each curve decreases as V(0) increases. Both of these observations provide an obvious but important conclusion: the smaller the proportion of fully-susceptible individuals, the smaller the outbreak will be. Moreover, for each curve, there is a critical V(0) value after which the total number of cases is constant. This is the V(0) value for which R1 = 1 given the corresponding value of Sr. For all V(0) larger than this critical value, Rt < 1, and the only active cases are those that develop among the initially exposed individuals.
We introduce an extended SEIR socio-epidemiological model incorporating vaccination dynamics to evaluate the interactions between vaccination and social measures for controlling or ending the spread of COVID-19. Following standard analytical techniques16, we derived an explicit form for the effective reproduction number Rt. This value is of central concern to controlling the pandemic: through a combination of natural infection, social measures, and vaccination administration, we must drive Rt < 1 in order to eradicate the disease. Our analysis therefore focused on the influence of social measures and vaccination rates on the time until the disease is eradicated, but also considered hospital demand as a function of these interventions. Importantly, we show that while eliminating social measures entirely might help eradicate the disease faster, the hospital demand, and therefore death toll, are reduced dramatically with even partial adherence to social intervention strategies.
Our analysis focused on three parameters: the proportion of the population willing to receive a vaccine ϕ, the proportion of the population willing to adhere to social measures a, and the rate at which vaccines are administered to the population µ. Figure 3–Figure 5 summarize the major results arising from these interactions, and suggest that, with low vaccination rate µ, sustained social measures become increasingly important to keep the hospitalization rates low, even if a large proportion of the population are willing to receive the vaccine (that is; even if ϕ is large). This finding is consistent with previous studies under varied assumptions10,19,20.
The interplay between social measures and vaccine administration is perhaps most complicated when considering the time until eradication. When the proportion of the population who adhere to social measures is small, the time to eradication is relatively fast (Figure 4 and Figure 5, left panels). This is because, without social measures, the virus spreads quickly, thereby increasing the number of individuals with infection-conferred immunity (or who die due to the disease). On the other hand, when social measure adherence is high, the time to eradication is large for low vaccination coverage and rate, but decreases with both parameters. For low vaccination coverage or rate, population-level immunity is primarily being conferred via infection, and infection rates are low due to high levels of social measures. As vaccination coverage or rate increases, however, the rate at which individuals become vaccinated begins to outpace the rate at which individuals become infected, and the time until eradication becomes small. Importantly, only in the case of high social measure compliance and high vaccination rate or coverage do the number of ICU cases remain manageable (Figure 4 and Figure 5, right panels).
We further use our model to predict the magnitude of future outbreaks in partially-vaccinated communities. Naturally, if a sufficiently high proportion of the population is vaccinated or has infection-derived immunity, then the Rt value within that community is less than unity, and any new infections are not expected to cause an outbreak (Figure 6). However, if too few individuals are vaccinated, outbreaks remain a significant threat, particularly in light of new, highly contagious variants21.
We developed our model under a set of assumptions that captured important features of COVID-19 transmission. However, we omitted one or more realities of COVID-19 dynamics that could quantitatively influence our results. First, we did not include any age structure to our model. It is well known that mortality rates due to COVID-19 are disproportionately high among elderly populations. By including age structure, one can study targeted vaccination programs in which the elderly are given earlier access to the vaccine. Second, we include only a single vaccine in our model, while many with varying efficacies are likely to enter the market before the pandemic is over22–24. While incorporating these features into our model would surely result in quantitative differences, the qualitative predictions of our current model would likely remain unchanged; that is, social measures must remain in place throughout the vaccination campaign in order to mitigate hospital and mortality rates. An important consideration for future work is the degree to which variants of the SARS-CoV-2 will increase community spread21, which can be incorporated into our model as a second set of infected classes.
Notwithstanding these limitations, this work highlights several major implications for the use of vaccination for either controlling or eradicating the current pandemic. The first is that slow vaccination roll out rates mean that continuing with currently applied social measures is imperative to containing the clinical outcomes (demand for ICU care and deaths) of the pandemic for a population. Only a ramped-up vaccination rate will allow easing of these social measures. The second important finding arising from the present results is that while social measures under the current slow rate of vaccinations will be crucial to prevent hospitalizations and the death toll from the virus, this intervention will also delay the development of herd immunity in the population. However, two critical results here are that at high levels of social measures, the numbers of individuals that are required to be vaccinated to achieve Rt < 1 can be significantly small, and that there might be a vaccination coverage level past which this can be achieved. We term this as “herd immunity due to social measures”, which will be much lower than the corresponding herd immunity in the absence of social measures. Note, however, that the imposition of social measures will keep a large fraction of the population continuing to be susceptible, and while achieving the lower level of herd immunity through vaccination under these measures will allow interruption of transmission, any relaxation of the latter in the presence of infected individuals, or if infected individuals were to arrive into an area lifting such restrictions, would seed resurgences of infection. This conclusion suggests that only by ramping up vaccinations to achieve natural herd immunity (i.e. the higher level of herd immunity that will be required to prevent transmission in the absence of any social containment measures) will the pandemic be fully suppressed over the longer-term.
All data underlying the results are available as part of the article and no additional source data are required.
Github: COVID-Vaccination-Paper. https://github.com/EdwinMichaelLab/COVID-Vaccination-Paper.
This project contains the following parameter data and code:
• ParameterSets (Parameter values found using the methods described in Parameter estimation)
• IC_BVP_ac.ode (XPPAUT code used to find the peak ICU cases over varied parameters, shown in the right panels of Figures 4 and 5 in the paper)
• Rt_BVP_ac.ode (XPPAUT code used to track the time to Rt = 1 across parameters, shown in the left panels of Figures 4 and 5)
• model_Vax_ac.ode (XPPAUT code used to run model simulations)
All code and parameter data available at http://doi.org/10.5281/zenodo.513833215
MIT License.
| Views | Downloads | |
|---|---|---|
| F1000Research | - | - |
|
PubMed Central
Data from PMC are received and updated monthly.
|
- | - |
Is the work clearly and accurately presented and does it cite the current literature?
Yes
Is the study design appropriate and is the work technically sound?
Partly
Are sufficient details of methods and analysis provided to allow replication by others?
Partly
If applicable, is the statistical analysis and its interpretation appropriate?
Partly
Are all the source data underlying the results available to ensure full reproducibility?
Yes
Are the conclusions drawn adequately supported by the results?
Yes
Competing Interests: No competing interests were disclosed.
Reviewer Expertise: Mathematical Biology, Numerics of PDEs
Is the work clearly and accurately presented and does it cite the current literature?
Partly
Is the study design appropriate and is the work technically sound?
Partly
Are sufficient details of methods and analysis provided to allow replication by others?
Yes
If applicable, is the statistical analysis and its interpretation appropriate?
Partly
Are all the source data underlying the results available to ensure full reproducibility?
Yes
Are the conclusions drawn adequately supported by the results?
Partly
Competing Interests: No competing interests were disclosed.
Reviewer Expertise: Epidemiological modelling
Alongside their report, reviewers assign a status to the article:
| Invited Reviewers | |||
|---|---|---|---|
| 1 | 2 | 3 | |
|
Version 2 (revision) 18 Oct 22 |
read | ||
|
Version 1 13 Aug 21 |
read | read | |
Provide sufficient details of any financial or non-financial competing interests to enable users to assess whether your comments might lead a reasonable person to question your impartiality. Consider the following examples, but note that this is not an exhaustive list:
Sign up for content alerts and receive a weekly or monthly email with all newly published articles
Already registered? Sign in
The email address should be the one you originally registered with F1000.
You registered with F1000 via Google, so we cannot reset your password.
To sign in, please click here.
If you still need help with your Google account password, please click here.
You registered with F1000 via Facebook, so we cannot reset your password.
To sign in, please click here.
If you still need help with your Facebook account password, please click here.
If your email address is registered with us, we will email you instructions to reset your password.
If you think you should have received this email but it has not arrived, please check your spam filters and/or contact for further assistance.
Comments on this article Comments (0)