ALL Metrics
-
Views
-
Downloads
Get PDF
Get XML
Cite
Export
Track
Brief Report

Effect of elevated temperature on SARS-CoV-2 viability

[version 1; peer review: 1 approved, 1 approved with reservations]
PUBLISHED 08 Apr 2022
Author details Author details
OPEN PEER REVIEW
REVIEWER STATUS

This article is included in the Emerging Diseases and Outbreaks gateway.

Abstract

Severe acute respiratory syndrome coronavirus 2 (SARS-CoV-2) has caused a worldwide disruption of global health putting healthcare workers at high risk. To reduce the transmission of SARS-CoV-2, in particular during treating the patients, our team aims to develop an optimized isolation chamber. The present study was conducted to evaluate the role of temperature elevation against SARS-CoV-2 viability, where the information would be used to build the isolation chamber. 0.6 mL of the Indonesian isolate of SARS-CoV-2 strain 20201012747 (approximately 1013 PFU/mL) was incubated for one hour with a variation of temperatures: 25, 30, 35, 40, 45, 50, 55, 60, and 65°C in digital block heater as well as at room temperature (21-23°C) before used to infect Vero E6 cells. The viability was determined using a plaque assay. Our data found a significant reduction of the viral viability from 1013 PFU/mL to 109 PFU/mL after the room temperature was increase to 40°C. Further elevation revealed that 55°C and above resulted in the total elimination of the viral viability. Increasing the temperature 40°C to reduce the SARS-CoV-2 survival could create mild hyperthermia conditions in a patient which could act as a thermotherapy. In addition, according to our findings, thermal sterilization of the vacant isolation chamber could be conducted by increasing the temperature to 55°C. In conclusion, elevating the temperature of the isolation chamber could be one of the main variables for developing an optimized isolation chamber for COVID-19 patients.

Keywords

COVID-19, Isolation chamber, SARS-CoV-2, Temperature, Transmission

Introduction

Coronavirus disease 2019 (COVID-19), caused by severe acute respiratory syndrome coronavirus 2 (SARS-CoV-2), has inflicted disruptions in many aspects of health systems globally. SARS-CoV-2 is an enveloped, non-segmented, positive sense, single-stranded RNA virus with a genome of approximately 30 kilobases.1,2 The virus is mainly transmitted by nasopharyngeal droplets of an infected person; however, it could also be transmitted through aerosol.3 The viability of the virus in the environment is influenced by several factors, including climatic parameters such as humidity and temperature.4 Temperature has been proposed as a factor that affects SARS-CoV-2 transmission.5 Previous studies found that the temperature effected the transmission of the SARS-CoV-2 in which high environmental temperature reduced the number of COVID-19 cases.68 A study in State of Rio de Janeiro, Brazil found that the maximum and average of temperature were correlated negatively with COVID-19 infection.6 Data from 117 countries also found a negative association between temperature and COVID-19 transmissibility in which an increase of 1°C could decrease COVID-19 prevalence by approximately 5.4%.7 Several other investigations, however, have shown no evidence of a substantial influence of temperature on SARS-CoV-2 transmission.9,10

Nevertheless data reveals that SARS-CoV-2 is highly susceptible to heat.11 A recent study has shown that the virus could survive for at least 14 days at 4°C while only two days at 37°C and five minutes at 70°C.11 Another study suggested that, at 40°C SARS-CoV-2-infected epithelial cells have reduced viral transcription and replication.12 Although studies on the effect of elevated temperature on SARS-CoV-2 have been carried out, the temperature ranges used are limited.13 In addition, the effect of temperature on viruses originating from Indonesia has not yet been published. As part of our project to optimize the isolation chamber for COVID-19 patients, we determined the effect of temperature on the resistance of SARS-CoV-2 originating from Indonesia by evaluating the viral viability with a range of temperatures from room temperature (21-23°C) to 65°C. Understanding viral survivability is critical for developing a temperature optimized isolation chamber that could minimize the risk of infection to healthcare workers and optimize energy consumption while ensuring comfort for patients.

Methods

SARS-CoV-2

SARS-CoV-2 strain 20201012747 isolated from Jakarta, Indonesia was used in this study. The virus was kindly supplied by the Eijkman Institute for Molecular Biology and the virus has been passaged two times before being used in this study.

Vero E6 cells

The Vero E6 cells (ECACC, Vero C1008) (RRID: CVCL_0574) were maintained in Modified Eagle Media (MEM) (Cat. no. 11090081) supplemented with 10% heat-inactivated fetal bovine serum (FBS) (Cat. no. 26140095), 3.5 mM Na2CO3 (Cat. no. 25080094), 1% penicillin-streptomycin-amphotericin B (Cat. no. 15240062), 25 mM 4-(2-hydroxyethyl)-1-piperazineethanesulfonic acid (HEPES) (Cat. no. 15630080), 1% non-essential amino acid (Cat. no. 11140050), and 2 mM L-glutamine (Cat. no. 25030081). All were from Gibco (Thermo Fisher Scientific, MA, USA). The cells were seeded into 12-well clear bottom plates (Cat. no. 3513, Corning, USA) for plaque assay.

Exposure of temperatures

To expose to different temperatures, 0.6 mL of SARS-CoV-2 stock in 1.5 mL sterile tubes were incubated at room temperature RT (21-23°C), 25, 30, 35, 40, 45, 50, 55, 60, or 65°C for 1 hour in a digital block heater (Cat. no. 5382000031, Eppendorf, Germany). A separated experiment was conducted for each temperature; three replicates were used for each temperature and each replicate was repeated three times.

Plaque assay

After the incubation at different temperatures, the viruses were diluted with a 10-fold serial dilution with 2% MEM (10-1 to 10-12) and 0.1 mL was inoculated onto 95-100% confluent monolayers of Vero E6 cells for 1 hour at 37°C with 5% CO2 with manual gentle shaking every 20 mins. After 1 hour of incubation, each well was then covered with 1 mL of 2% carboxymethyl cellulose (Cat. no. 17854-1KG, Merck, Germany) containing MEM, 2% FBS (Cat. no. 26140095), 3.5 mM Na2CO3 (Cat. no. 25080094), 25 mM HEPES (Cat. no. DMEM 15630080), 1% non-essential amino acid (Cat. no. 11140050), and 1% penicillin-streptomycin-amphotericin B (Cat. no. 15240062); All from Gibco (Thermo Fisher Scientific, MA, USA). The plates were incubated in cell incubator for 72 hours at 37°C and 5% CO2. The cells were then fixed with 4% paraformaldehyde for 4 hours at room temperature, and stained with 1% crystal violet. The plaques were counted manually. All works with infectious SARS-CoV-2 were conducted in the Biosafety Level 3 Laboratory at the Eijkman Institute for Molecular Biology in Jakarta. The plaque forming unit (PFU/mL) was calculated by dividing the number of plaques by dilution factor.

Results

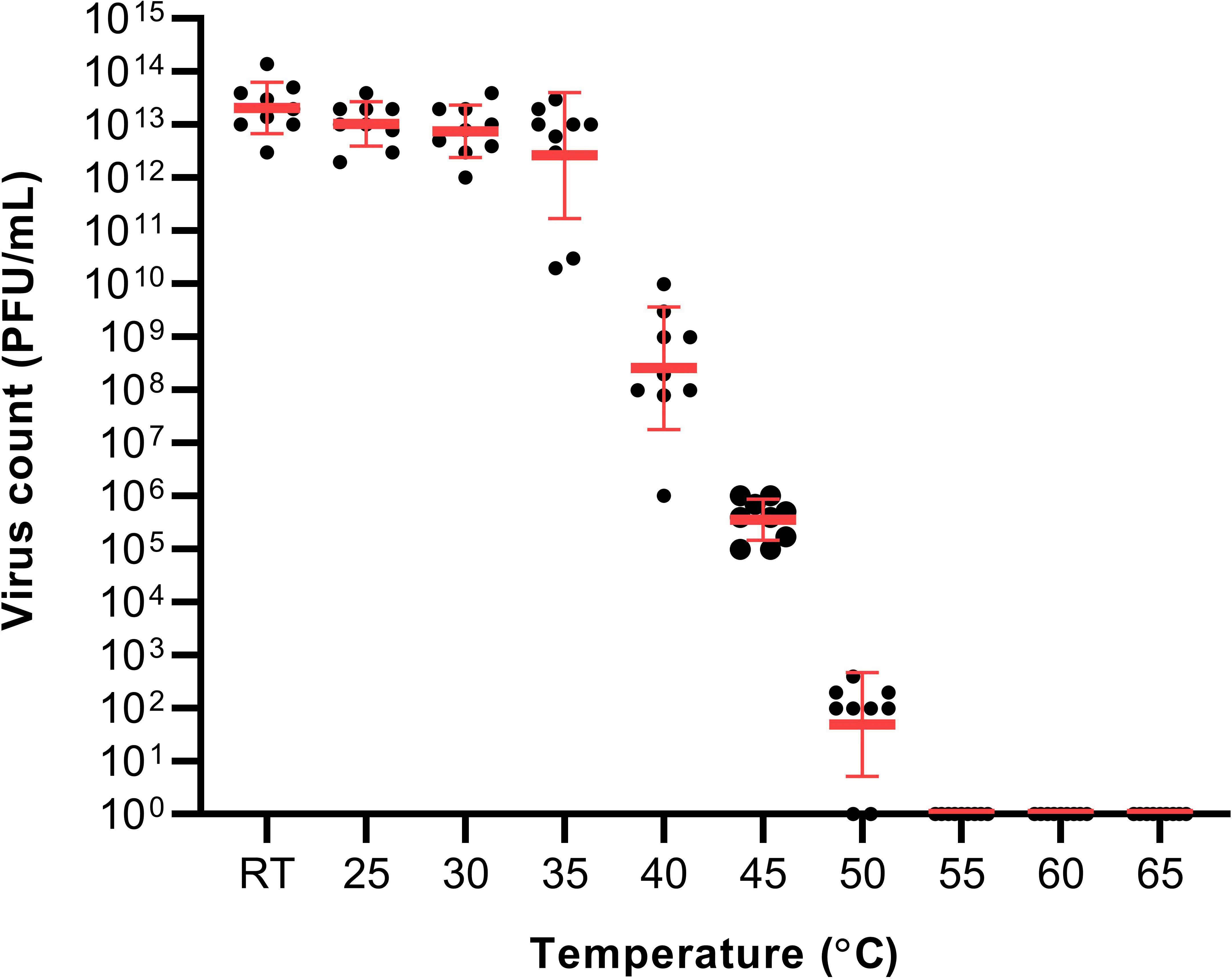
The virus was observed to remain stable from RT to 35°C with an average plaque count of 1013 PFU/mL.23 A reduction in the viral count was observed in the 40°C treatment group at 109 PFU/mL. Increasing the temperature to 45°C resulted in a further reduction of the viral viability resulting in 106 PFU/mL. The last temperature with visible plaque was in the 50°C treatment group with a result of 102 PFU/mL. The reduction of SARS-CoV-2 viability had a temperature-dependent trend within the temperature range of 35 to 50°C (Figure 1). No plaques were visible in the 55, 60 and 65°C treatment groups.

e437fd01-aa0a-48fa-b52d-fb68136f2ace_figure1.gif

Figure 1. The effect of temperature on severe acute respiratory syndrome coronavirus 2 viability.

RT – (21-23°C).

Discussion

Nosocomial transmission of SARS-CoV-2 has been identified to occur via multiple routes in healthcare facilities14 indicating that uncomplicated measures like wearing personal protective equipment along with surface cleaning and decontamination15 could be used effectively to reduce the transmission of infection. Other than that, modification to facilities such as, including isolation chambers with temperature control could help minimize the transmission.11,16 As noted in a previous study,11 temperature affects the stability of the virus in aerosol or on a surface. When the temperature of the room is not elevated, SARS-CoV-2 could remain stable for up to 72 hours on a surface such as plastic and stainless steel and three hours in aerosols.16 Based on the findings of this present study, to reduce the viral viability significantly, a thermal heat with a temperature of 40°C should be applied to the isolation chamber. According to a previous report, the average maximum temperature for Indonesian people to still feel comfortable falls between 24 and 29°C.17 Thus, thermal heat of 40°C would probably cause discomfort to the patient. However, the patient would only be required to receive the elevated ambient temperature of 40°C for 1 hour to substantially reduce the risk of infection to health care workers.

The administration of heat to the isolation chamber could be conducted prior to patient handling to reduce the likelihood of SARS-CoV-2 transmission. The other possibility is using heat in the isolation chamber as a means of thermotherapy. Thermotherapy is where mild-temperature elevation or hyperthermia (39-42°C) is used as a treatment against SARS-CoV-2 infection.18 One to two hours exposure of thermotherapy at 40°C for every 8 to 12 hours, performed on COVID-19 patients, has been hypothesized to achieve optimal benefits of thermotherapy.19 Following the increase in temperature, heat-shock proteins (HSPs) are released which downregulates the progression of sepsis-induced acute lung injury.20 However, HSPs could become hosts to several viruses (such as human papillomavirus, adenovirus, and dengue virus) promoting their infectivity.21 In the case of SARS-CoV-2, its infectivity is more likely to be degraded than promoted by the HSPs.18 Therefore, heat administration to the isolation chamber should not be performed on COVID-19 patients with human papillomavirus, adenovirus, or dengue virus co-infections. In addition, it should not be attempted on patients with severe-to-critical COVID-19 as they would be more likely to have an increased risk of mortality following the thermotherapy or heat administration.22

Conclusions

This present study also has proven that increasing temperature to 55°C is sufficient to terminate the virus. Further increment to the temperature would not be necessary and only results in higher energy consumption. Similarly, a previous study also reported the inactivation of 90% of SARS-CoV-2 achieved at 54.5°C after 36 minutes.13 However, for use in treatment 55°C, might be too high for patients to tolerate. In that case, we only suggest the use of such temperature to thermally sterilize the isolation chamber prior to its use.

Data availability

Underlying data

Figshare: Effect of elevated temperature on SARS-CoV-2 viability. DOI: https://doi.org/10.6084/m9.figshare.19243515.23

This project contains the following underlying data:

  • Master Table.xlsx [Table containing the raw data of the study]

Data are available under the terms of the Creative Commons Attribution 4.0 International license (CC-BY 4.0).

Ethics statement

Not applicable.

Comments on this article Comments (0)

Version 2
VERSION 2 PUBLISHED 08 Apr 2022
Comment
Author details Author details
Competing interests
Grant information
Copyright
Download
 
Export To
metrics
Views Downloads
F1000Research - -
PubMed Central
Data from PMC are received and updated monthly.
- -
Citations
CITE
how to cite this article
Harapan H, Johar E, Maroef CN et al. Effect of elevated temperature on SARS-CoV-2 viability [version 1; peer review: 1 approved, 1 approved with reservations]. F1000Research 2022, 11:403 (https://doi.org/10.12688/f1000research.110305.1)
NOTE: If applicable, it is important to ensure the information in square brackets after the title is included in all citations of this article.
track
receive updates on this article
Track an article to receive email alerts on any updates to this article.

Open Peer Review

Current Reviewer Status: ?
Key to Reviewer Statuses VIEW
ApprovedThe paper is scientifically sound in its current form and only minor, if any, improvements are suggested
Approved with reservations A number of small changes, sometimes more significant revisions are required to address specific details and improve the papers academic merit.
Not approvedFundamental flaws in the paper seriously undermine the findings and conclusions
Version 1
VERSION 1
PUBLISHED 08 Apr 2022
Views
28
Cite
Reviewer Report 30 Jun 2022
Katherina Sewald, Fraunhofer Institute for Toxicology and Experimental Medicine ITEM, Hanover, Germany 
Approved with Reservations
VIEWS 28
The authors addressed the research question whether elevated temperature has an effect on SARS-CoV-2 infectivity. The question might be important to establish conditions in e.g. isolation chamber which reduces the transmission of SARS-CoV-2. There are already data about the temperature ... Continue reading
CITE
CITE
HOW TO CITE THIS REPORT
Sewald K. Reviewer Report For: Effect of elevated temperature on SARS-CoV-2 viability [version 1; peer review: 1 approved, 1 approved with reservations]. F1000Research 2022, 11:403 (https://doi.org/10.5256/f1000research.121896.r137526)
NOTE: it is important to ensure the information in square brackets after the title is included in all citations of this article.
Views
34
Cite
Reviewer Report 13 Apr 2022
Ramadhan Tosepu, Deparment of Environmental Health, Faculty of Public Health, University of Halu Oleo, Kendari, Indonesia 
Approved
VIEWS 34
Methods of preventing the spread of Covid-19 are continuously being studied, environmentally friendly methods have a positive impact on the community. The research is very good and useful for health workers and the public, so it deserves to be indexed. In ... Continue reading
CITE
CITE
HOW TO CITE THIS REPORT
Tosepu R. Reviewer Report For: Effect of elevated temperature on SARS-CoV-2 viability [version 1; peer review: 1 approved, 1 approved with reservations]. F1000Research 2022, 11:403 (https://doi.org/10.5256/f1000research.121896.r134477)
NOTE: it is important to ensure the information in square brackets after the title is included in all citations of this article.

Comments on this article Comments (0)

Version 2
VERSION 2 PUBLISHED 08 Apr 2022
Comment
Alongside their report, reviewers assign a status to the article:
Approved - the paper is scientifically sound in its current form and only minor, if any, improvements are suggested
Approved with reservations - A number of small changes, sometimes more significant revisions are required to address specific details and improve the papers academic merit.
Not approved - fundamental flaws in the paper seriously undermine the findings and conclusions
Sign In
If you've forgotten your password, please enter your email address below and we'll send you instructions on how to reset your password.

The email address should be the one you originally registered with F1000.

Email address not valid, please try again

You registered with F1000 via Google, so we cannot reset your password.

To sign in, please click here.

If you still need help with your Google account password, please click here.

You registered with F1000 via Facebook, so we cannot reset your password.

To sign in, please click here.

If you still need help with your Facebook account password, please click here.

Code not correct, please try again
Email us for further assistance.
Server error, please try again.