ALL Metrics
-
Views
-
Downloads
Get PDF
Get XML
Cite
Export
Track
Research Article

Analysis of contact tracing surveillance for COVID-19 among healthcare workers in secondary referral hospital, Indonesia

[version 1; peer review: 1 approved with reservations]
PUBLISHED 09 May 2022
Author details Author details
OPEN PEER REVIEW
REVIEWER STATUS

This article is included in the Emerging Diseases and Outbreaks gateway.

Abstract

Background: Healthcare workers (HCWs) are more vulnerable to COVID-19 infection. Tracing and screening cases among healthcare workers are essential to overcome the spread of COVID-19. We held surveillance at the second-referral hospital in Surabaya, Indonesia, to inspect the associating factors of infected HCWs.
Methods: From 776 HCWs, we conducted a structured retrospective review of all COVID-19-confirmed HCWs and ones having contact with COVID-19 patients between February-July 2021. We associated general characteristics (i.e age, gender, working sites, etc) of the sample with the positive cases, analyzed the vaccination status, then did bivariate and multivariate regression logistic analyses to determine related factors putting HCWs at risk for COVID-19 infection.  
Results: Bivariate analysis significantly revealed that 72.86% patients had a close contact (OR = 2.61; p<0.05), with medical staffs as the most frequent source (85.71%; OR = 2.19; p=0.033), for > 15 minutes contact duration (90%; OR = 1.1; p<0.05). Healthcare workers wearing proper PPE (N-95 and face shields) were significantly less exposed to COVID-19 (OR = 0.47; p<0.05; and OR = 0.46; p<0.05). Even fully-vaccinated samples were still prone to infection. (OR=1.25; p= 0.042). Common symptoms consisted of fever, rhinorrhea, sore throat, and vomiting (p=0.025l p=0.002; p<0.05; p=0.002). Multivariate regression logistic analysis disclosed that the use of N95 masks, contact duration >15 minutes, and the vaccine were the most influential factors (aOR = 1.72. 95% CI (1.029-2.88); aOR = 3.92. 95% CI (1.75-8.78); aOR = 0.39. 95% CI (0.13-0.82 ))
Conclusions: Close contact, lack of compliance in wearing N95 masks, and unvaccinated status are risk factors for COVID-19 exposure to HCWs; thus, to achieve maximum prevention of intra-hospital transmission, the use of N-95 masks, contact avoidance, and vaccination, along with immediate tracing and strict health-protocols are all compulsory.

Keywords

contact tracing, infectious diseases, surveillance, COVID-19, healthcare workers

Introduction

COVID-19 has initiated worldwide outbreak inevitably threatening healthcare workers. High transmission rate of SARS-CoV-2 poses healthcare workers at risk whenever they are in contact with infected patients.1,2 Globally, healthcare workers (HCWs) constitute nearly 7% of all COVID-19 cases.2 A prospective cohort study of a large healthcare worker population in the USA and UK revealed more than three times higher risk of infection amongst HCWs than the general population.3 In developing countries, the more HCWs get infected, the more disrupted health system will be.

Several factors, e.g work department in hospital, duration of exposure, and PPE use have been shown to correlate with the risk of COVID-19 transmission.1,4,5 However, many studies have reported the effectiveness of vaccine in reducing the incidence of hospitalized infections. Nevertheless, the SARS-CoV-2 mutation and various antibody put HCWs at risk for breakthrough infection, even after being fully vaccinated.68 Therefore, comprehensive contact tracing has become one of the critical strategies by governments to ensure healthcare workers’ and patients’ safety.9

Contact tracing is a crucial mechanism for breaking the chain of infectious diseases by identifying, quarantining, and monitoring contacts of infected individuals.10 Contact tracing surveillance ensures detailed information about confirmed and suspected cases in the community. The growth of incidence can be controlled through effective contact tracing. More practical ways are needed to perform the screening and tracing process.11 Digital applications or platforms have an excellent potential in implementing those steps efficiently without direct physical contact with infected individuals.1214

Infected HCWs commonly complain of fever, cough, shortness of breath, and sore throat. A study in Malaysia on tracing HCWs showed that the prevalence of healthcare workers infected with COVID-19 was around 0.3%.15 In Indonesia, a study by Soebandrio et al. in Jakarta showed that of all 1201 healthcare workers, 7.9% were infected with regular symptoms such as cough, malaise, fever, shore throat, runny nose, and myalgia.16

Since the pandemic is not yet over, we aim to portray the tracing system of COVID-19 staff in one of the teaching hospitals in Indonesia as a preliminary study to develop a mobile-based application as an innovation for the contact tracing process. We inspect and analyze several factors associated with COVID-19-confirmed HCWs.

Methods

Population studies

This study was conducted in a COVID-19 secondary referral hospital in Surabaya, Universitas Airlangga Hospital, Indonesia. In January 2021, Indonesia was in the middle of the first COVID-19 wave. The incidence declined from February until May and rose again in June-August 2021 as the second wave attacked.17 Data in this study were collected retrospectively from the contact tracing surveillance database during February-June 2021 and associated general characteristics (i.e age, gender, working sites, etc) of the sample with the positive cases, regardless of the vaccination status (complete or incomplete). The database was composed of the online questionnaire filled out by healthcare workers suspected of having COVID-19 exposure during their work and signed informed consent prior to the study. It was developed and modified from a previous study database for specific healthcare workers.18,19 Universitas Airlangga Hospital Ethical Committee had approved this study with the ethical clearance number: 174/KEP/2021.

Contact tracing procedure

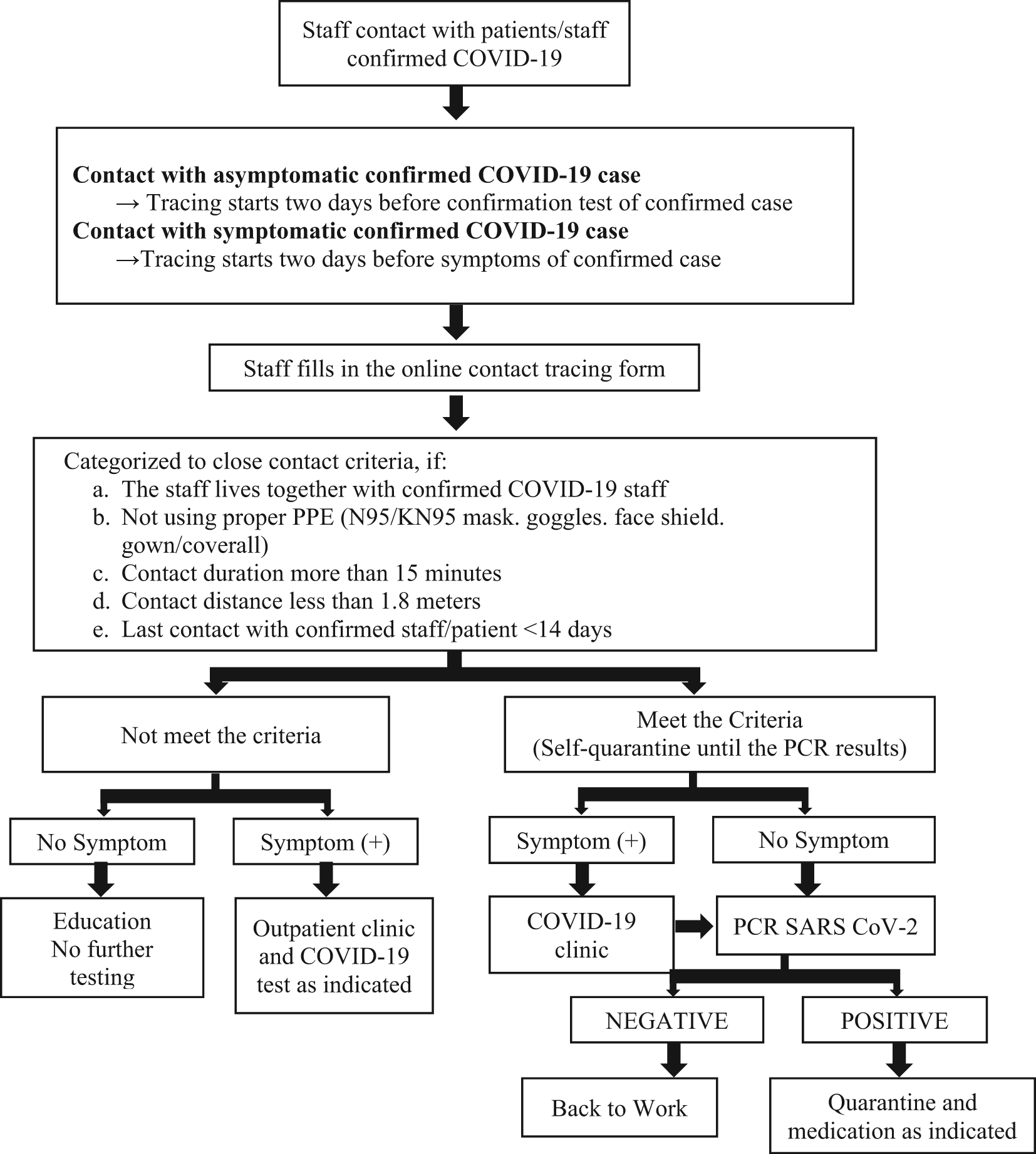
Contact tracing was conducted by the Infection Prevention and Control Team. HCWs exposed to COVID-19-confirmed patients without appropriate personal protective equipment (PPE) were asked to fill in an online questionnaire to determine close contact with a confirmed case. The questionnaire comprised of the name, age, ward unit, date of contact, duration of contact, surrounding environment (indoor or outdoor), the physical distance between staffs, and PPE use. The use of personal protective equipment (PPE) refers to the National Guideline Recommendation.20,21 The criteria for close contact were as follows: 1) If there was contact with the asymptomatic COVID-19 case two days before tested positive; 2) Contact with symptomatic COVID-19 case two days before symptoms appear; 3) Contact duration>15 minutes with a distance of ≤ 1.8 meters without proper PPE. Staff considered to have had close contact underwent quarantine and nasopharyngeal/oropharyngeal swab for SARS-CoV-2 detection (Figure 1).

Working areas were stratified to: 1) Low risk: green zone (non-COVID-19 ward, management office); 2) Intermediate risk: yellow zone (non-COVID-19 ICU, emergency triage, emergency unit); 3) High risk: red zone (COVID-19 ward and outpatient clinic).

Statistical analysis

Contact tracing data will be shown as descriptive studies, including characteristics of HCWs such as gender, age, unit, and symptoms. We analyzed the data using SPSS version 24 (Chicago. Illinois. USA; RRID: SCR_002865). We analyzed general characteristics, including age, gender, working sites, close contact, contact duration, vaccination status, and other, then correlate them with infected HCWs. To calculate the risk value, we used chi-square in the two-category group. A simple logistic regression test was used to analyze the group of more than two categories. We carried out multivariate logistic regression analysis to see the interaction of factors from the characteristics of the sample, use of PPE, and vaccine status on the risk of COVID-19 infection in health care workers.

Tracing flowchart

f6779761-7f90-4062-b582-51ddd3d32eae_figure1.gif

Figure 1. Contact tracing flowchart.

Results

There were 75.8% staffs filling out the surveillance form during the second wave which was thrice higher than at the end of the first wave. Sixty percent participants had close contact with infected persons during the second wave (see Table 1).

Table 1. Surveillance contact report with confirmed COVID-19 staff.

TimeFilled out tracing formClose contactFollow up
Early-Year (End of the first wave COVID-19)188 (24.2%)69 (36.7%)69 (100%)
Middle-Year (Second-wave COVID-19)588 (75.8%)353 (60%)201 (56.9%)

Seventy staffs were tested positive for COVID-19. Most of them were female, aged between 25-34, and living in Surabaya. Confirmed patients having close contact reached 72.86% (OR = 2.61; p < 0.05) mostly for >15 minutes (90%) (OR = 1.1; p < 0.05) and with medical staff as the most frequent source (85.71%) (OR = 2.19; p = 0.033). Mostly, infected HCWs developed symptoms within 10 days (98.57%). Most of them had shifts in the non-covid ward (42.86%). Risk assessment showed that most of them were at intermediate one (72.86%). Patients with both positive and negative results for COVID-19 had been previously vaccinated (OR = 3.19; p < 0.05). Even confirmed patients mostly had complete doses of COVID-19 vaccines (OR =1.25; p < 0.05) (see Table 2).

Table 2. General characteristics of patients and the contact.

General characteristics
CharacteristicsPositive (n=70)Negative (n = 706)TotalpOR 95% CI
n%n%
The time interval between contact and reporting0-10 days6998.5769197.887600.6961.498# (0.195 – 11.511)
>10 days11.43152.1216
Contact intensityClose5172.8635850.7140902.61# (1.510 – 4.509)
None1927.1434849.29367
Age group<24 years old1420.0018626.352000.520Ref
25-345172.8644462.894950.1780.665* (0.354 – 1.213)
35-4457.14669.35710.9900.994 *(0.345 – 2.865)
≥4500.00101.4210--
GenderFemale5274.2955178.056030.470.813# (0.462 – 1.430)
Male1825.7115521.95173
DomicileSurabaya5781.4358983.436460.6690.871# (0.462 – 1.642)
Outside Surabaya1318.5711716.57130
OccupationHealthcare workers4868.5747066.575180.6031.182* (0.630 – 2.217)
Non-healthcare workers811.4312017.001280.1991.810* (0.732 – 4.477)
Others1420.0011616.431300.429Ref
WardCovid ward45.71294.11330.4930.537* (0.091 – 3.173)
Non-Covid Ward3042.8630242.783320.6980.746* (0.169 – 3.291)
ICU Covid34.29365.10390.9010.889* (0.139 – 5.696)
ICU Non-Covid45.718311.76870.6311.537* (0.267 – 8.863)
Outpatient1318.579112.891040.4060.519* (0.110 – 2.442)
Medical Support1217.1412217.281340.7210.753* (0.159 – 3.562)
Laboratory22.86162.27180.6180.593* (0.076 – 4.627)
Management22.86273.82290.929Ref
Risk assessmentHigh Risk710.00659.21720.7230.838* (0.315 – 2.228)
Intermediate Risk5172.8650871.955590.8500.899* (0.466 – 1.734)
Low Risk1217.1413318.841450.760Ref
UnitCovid912.868411.90930.8141.093* (0.523 – 2.281)
Non-covid6187.1462288.10683
Contact sourceStaff6085.7151773.235770.0332.19* (1.100 – 4.373)
Patients1014.2918926.77199
Contact typePhysical Contact00.0040.5740.609Ref
Non-Physical Contact5578.5749870.54553--
Aerosol Treatment34.29375.24400.1940.651* (0.340 – 1.245)
Non-Aerosol Treatment1217.1416723.651790.8570.886* (0.238 – 3.299)
Duration of contact> 15 minutes6390.0047867.7154101.1# (1.06 – 1.14)
< 15 minutes710.0022832.29235
Vaccination status
VaccinatedYes6592,8656780,316320,0013.19# (1.260 – 8.064)
No57,1413919,69144
Number of doses057,1414019,831450,0123.29* (1.296 – 8.357)
168,57649,07700,6141,25* (0.520 – 3.020)
25984,2950271,105610,042Ref

† p<0.05.

# Chi-square test.

* Simple logistic regression test.

Below we present the distribution of personal protective equipment (PPE). HCWs who wore N95 masks and face shields were not likely to be positive (OR = 0.47; p = 0.003 and OR = 0.46; p = 0.025, respectively). On the other hand, patients that did not wear the PPE tended to be positive for COVID-19, although insignificant (see Table 3).

Table 3. Distribution of PPE use.

PPE
CharacteristicsPositive (n = 70)Negative (n = 706)TotalpOR 95% CI
n%n%
Surgical maskYes3347.1430242.783350.4821.193 (0.729 – 1.952)
No3752.8640457.22441
N95 maskYes2738.5740457.224310.0030.469 (0.284 – 0.777)
No4361.4330242.78345
Face shieldYes1014.2918726.491970.0250.463 (0.232 – 0.922)
No6085.7151973.51579
Hair capYes1724.2919727.902140.5180.829 (0.468 – 1.466)
No5375.7150972.10562
GlovesYes1724.2921330.172300.3040.742 (0.420 – 1.312)
No5375.7149369.83546
Cover-allYes1622.8617925.351950.6460.872 (0.487 – 1.563)
No5477.1452774.65581
Cover shoesYes22.8691.27110.2852.278 (0.482 – 10.756)
No6897.1469798.73765
BootsYes11.4350.7160.5122.032 (0.234 – 17.640)
No6998.5770199.29770

† p < 0.05.

Confirmed patients mostly were symptomatic (62.86%) (OR = 3.92; p < 0.05). They experienced cough (17.14%) (OR = 1.82; p = 0.074), rhinorrea (15%) (OR = 2.56; p = 0.002), fever (10%) (OR = 2.59; p = 0.025), sore throat (32.86%) (OR = 2.9; p < 0.05), and cephalgia (7.14%)(OR = 1.93; p = 0.183). They neither experienced dyspnea nor anosmia. Meanwhile, symptomatic HCWs with negative swab results presented with cough (10.20%), sore throat (14.31%), rhinorrhea (9.63%), and fever (4.11%) (see Table 4).

Table 4. Distribution of patients’ symptoms.

Symptoms
CharacteristicsPositive (n = 70)Negative (n = 706)TotalpOR 95% CI
n%n%
SymptomsYes4462.8621330.1725703.917 (2.350 – 6.528)
No2637.1449369.83519
CoughYes1217.147210.20840.0741.822 (0.934 – 3.552)
No5882.8663489.80692
RhinorrheaYes1521.43689.63830.0022.559 (1.372 – 4.772)
No5578.5763890.37693
FeverYes710.00294.11360.0252.594 (1.092 – 6.159)
No6390.0067795.89740
Sore throatYes2332.8610114.3112402.931 (1.706 – 5.037)
No4767.1460585.69652
DiarrheaYes22.8691.27110.2852.278 (0.482 – 10.756)
No6897.1469798.73765
CephalgiaYes57.14273.82320.1831.934 (0.721 – 5.194)
No6592.8667996.18744
MyalgiaYes22.86172.41190.8171.192 (0.270 – 5.269)
No6897.1468997.59757
DyspneaYes00.0030.4230.585-
No70100.0070399.58773
VomitingYes34.2940.5770.0027.858 (1.723 – 35.850)
No6795.7170299.43769
AnosmiaYes00.0010.1410.753-
No70100.0070599.86775

† p < 0.05.

Multivariat regression logistic analysis for HCWs risk factors showed that the use of N95 masks, contact duration > 15 minutes, and the vaccine was the most influential factor (aOR = 1.72. 95% CI (1.029-2.88); aOR = 3.92. 95% CI (1.75-8.78); aOR = 0.39. 95% CI (0.13-0.82))(see Table 5).

Table 5. Stepwise multivariate regression logistic analysis for risk factors of COVID-19 exposure.

adjusted OR95% Confidence Intervalp-Value
LowerUpper
Step 1Vaccine status0.360.1051.2640.11
Vaccine full dose1.120.4502.7840.81
Close contact0.910.4271.9330.80
Duration contact > 15 minute3.621.4229.2010.01
Contact medical staff0.870.3632.0910.76
Face shield1.270.5422.9850.58
Masker N951.500.8382.6750.17
Step 2Vaccine status0.330.1290.8420.02
Close contact0.910.4261.9280.80
Duration contact > 15 minute3.631.4269.2330.01
Contact medical staff0.880.3652.1030.77
Face shield1.300.5622.9990.54
Masker N951.490.8342.6520.18
Step 3Vaccine status0.330.1300.8460.02
Duration contact > 15 minute3.861.7208.6480.00
Contact medical staff0.850.3681.9390.69
Face shield1.320.5803.0190.51
Masker N951.510.8542.6650.16
Step 4Vaccine status0.330.1290.8440.02
Duration contact > 15 minute3.901.7438.7330.00
Face shield1.420.6663.0160.36
Masker N951.550.8922.7010.12
Step 5Vaccine status0.320.1260.8160.02
Duration contact > 15 minute3.921.7538.7760.00
Masker N951.721.0292.8800.04

† p<0.05.

Discussion

Pneumoniae outbreak caused by severe acute respiratory syndrome coronavirus-2 (SARS-CoV-2) have caused pneumonia coronavirus disease (COVID-19), which spread rapidly throughout the world.22 SARS-CoV-2 infection can be asymptomatic or cause mild to critical symptom.23 The nature of the spread of the SARS-CoV-2 virus is still unclear, but what can be known is that prevention of its spread is related to demographic dynamics, population attitudes, and preventive measures. The outbreak in the Hunan area brought prevention movements in the form of non-pharmacological measures, restrictions on mobilization, screening of travelers, isolation, contact tracing, and quarantine.24

A study by Yan Ge et al., illustrates that men were found more prevalent to have close contact with COVID-19 patients. Multivariable analysis based on age, sex, duration of contact, and contact setting on the incubation period, a person is more at risk of being infected with COVID-19 after 1-3 days of exposure to symptomatic COVID-19 patient (ARR [adjusted relative risk], 3.4; 95% CI, 1.9-5.8) or day 0 and 2 days after their index patient’s symptom onset (ARR, 2.8; 95% CI, 1.5-5.0). The highest risk occurs both in the home setting and outside the home. Still, in the family cluster, this complaint will manifest 2-3 days after exposure.25

The common transmission modes are conversation, eating in groups, direct contact in a closed room within close distance, in-hospital care, living together in one house, and sharing a vehicle. Multivariable analysis showed that family members had an ARR of 8.1 (95% CI, 5.9-11.4), contact with the same patient, and an ARR of 6.0 (95% CI, 1.7-21.0) compared to other distribution models such as conversation, sharing vehicles, and being in the same space. HCWs exposed to confirmed patients had lower scores than others but not statistically significant risk of COVID-19 (ARR, 0.4; 95% CI, 0.1-1.7).25

Three retrospective cohort studies evaluated risk factors for the occurrence of COVID-19 in HCWs exposed to COVID-19. Seventy-two exposed people (clinicians and nurses) in Wuhan, China, had acute complaints. The median age of the subjects was 31 years, and 69% of HCWs were female; PCR-confirmed COVID-19 occurred in 38.9% (28 of 72 HCWs). These HCWs worked at high-risk areas (relative risk [RR], 2.13 [CI, 1.45 to 3.95]), poor hand washing before and after patient contact (RR, 3.10 [CI, 1.43 to 3.95]). 6.73] and 2.82 [CI, 1.11 to 7.18], respectively), long working hours (log-rank p = 0.02), and inappropriate use of PPE (RR, 2.82 [CI, 1.11 to 7.18]). Some procedures such as endotracheal tube removal, cardiopulmonary resuscitation, fiberoptic bronchoscopy, and sputum suction are not associated with an increased risk of infection. Infected family members also tend to be the source of transmission for HCWs indicating that transmission can happen outside the hospital as well (RR, 2.76 [CI, 2.02 to 3.77]).26 But our study showed that most of HCWs get infected after having contact with other medical staffs rather than patients, yet multivariate analysis revealed that the risk was not significant.

The Centers for Disease Control and Prevention (CDC) defines a person as close contact if the face-to-face distance is less than six feet, had contact two days before someone is COVID-19 confirmed, with a total duration of contact for 15 minutes. People who have had close contact are supposed to do the nasopharyngeal swab at least five days after close contact, isolate, and wear a mask as a measure to prevent transmission.27

A meta-analysis study resulted in lower virus spread after applying 1 m distancing between people than < 1 m (n = 10 736, pooled adjusted odds ratio [aOR] 0.18, 95% CI 0.09 to 0.38; risk difference [RD] –10.2%, 95% CI –11.5 to –7.5; moderate certainty); because distance provides protection (change in relative risk [RR] 2.02 per m; interaction p = 0.041; moderate certainty). Face masks provided adequate protection by reducing the risk of infection (n = 2647; aOR 0.15, 95% CI 0.07 to 0.34, RD –14.3%, –15.9 to –10.7; low certainty), with more substantial power on HCWs using N95 or similar respirators than disposable surgical masks (e.g., reusable 12–16-layer cotton masks; p = 0.090; posterior probability >95%, low certainty). Goggle users also benefited from infection protection by reducing the risk of infection (n = 3713; aOR 0.22, 95% CI 0.12 to 0.39, RD –10.6%, 95% CI –12.5 to –7.7; low certainty).28

In Indonesia, a study from Soebandrio et al. showed that six COVID-19 confirmed HCWs did aerosols procedure, and half of them did not use N95 masks. One of those six cases was hospitalized with pneumonia (16.7%).16 Furthermore, our study disclosed that a lot of HCWs who did not wear any N95 mask, had close contact for duration > 15 minutes tested positive. This finding was supported by multivariate analysis showing its high significance for duration > 15 minute and wear N95 mask.

In Malaysia, of 1174 HCWs, 17 HCWs were tested positive for COVID-19 (12 HCWs had work-related exposure and 5 HCWs had community exposure–close contact) tested positive for COVID-19 presenting with fever (p < 0.001) and respiratory symptoms–cough (p = 0.003), shortness of breath (p = 0.015) and sore throat (p = 0.002).15

In Indonesia, the most common clinical findings in infected were cough (61.6%), malaise (52.1%), fever (45.2%), sore throat (45.2%), headache (45.2%), runny nose (30.1%) and muscle pain (30.1%). Further analysis showed that respiratory and extra-pulmonary manifestation could also appear. People in the age group >50 years tend to present with more complains than ones in age group <29 years.16

A study from Atnafie et al. showed that HCWs aged 25–34 years had 80 times lower risk than those aged 18–24 years (aOR = 0.20, 95% CI = 0.041–0.96). HCWs aged 35–44 years had 87 times lower risk than subjects aged 18–24 years (aOR = 0.13, 95% CI = 0.02–0.86). Furthermore, HCWs living in the same house with more than six members are four times more prone to COVID-19 than those with < 3 members (aOR = 3.77, 95% CI = 1.07–13.26). Long working experience increases awareness for COVID-19 infection. HCWs who have worked 21–30 years have a lower risk of infection than those who have only worked for one year (AOR = 0.01, 95% CI = 0.01–0.06).29 Our data showed that the age group of HCWs is not related to the risk of COVID-19 infection.

During the Delta wave, of 488 unvaccinated participants wit median follow-up of 43 days (IQR = 37–69 days; total = 24,871 days) 19 people were infected with SARS-CoV-2 (94.7% symptomatic). On the other hand, 2,352 subjects were fully vaccinated during a median follow-up of 49 days (IQR = 35–56 days; total = 119,218 days) and 24 people were infected with SARS-CoV-2 (75.0% symptomatic). Adjusted VE during this wave was 66% (95% CI = 26%–84%) compared to previous period [91% (95% CI = 81%–96%)].30

In the period of December 14th, 2020–August 14th, 2021, complete vaccination with COVID-19 vaccines was 80% effective in preventing infection among HCWs.30 Soegiarto et al examined total dose inactivated virus vaccination in health workers in Indonesia and disclosed that even fully vaccinated still had a breakthrough infection.8 Our study showed similar result that the vaccined HCWs still have a risk to be infected.

Compilation from our study at a secondary hospital in Surabaya showed that close contact (72.86%; OR = 2.61; p < 0.05), contact source from medical staff (85.71%; OR = 2.19; p = 0.033), and contact duration > 15 minutes (90%; OR = 1.1; p < 0.05) showed significant differences. Similar to previous studies, PPE (N95 and face shields) was evidently found effective in reducing the (OR = 0.47; p < 0.05; and OR = 0.46; p < 0.05, respectively). In the meantime, bivariate analysis determined that both vaccinated HCWs (OR = 3.2; p = 0.001) and fully-vaccinated HCWs (OR = 1.25; p = 0.042) still had the risk of infection. Multivariate regression logistic analysis showed that the use of N95 masks, contact duration >15 minutes, and the vaccination were the most influential factor [aOR = 1.72; 95% CI (1.029-2.88); aOR = 3.92; 95% CI (1.75-8.78); aOR = 0.39. 95% CI (0.13-0.82)].

Our study comes with some limitations. We did the test simultaneously resulting in biased result—positive result in one work area, negative in another. Furthermore, we could not clearly identify the exposures leading to infection as an observational study. Data on PPE use were limited, self-reported, and did not include specifics on each item used (i.e sub-optimal handwash). This study also did not consider family members who also had the infection. Therefore, other factors can be examined in further research.

Conclusion

Our study shows that close contact with COVID-19 patients, not wearing N95 masks, and not getting vaccinated are risk factors for HCWs to get infected with COVID-19. Therefore, adherence to N-95 masks, close contact avoidance, and complete vaccination are all mandatory. Proper and rapid testing is undoubtedly another key strategy in minimizing the spread of infection.

Data availability

Underlying data

Figshare: Repository Data of Analysis of Contact Tracing Surveillance for COVID-19 among Healthcare Workers in Secondary Referral Hospital, Indonesia, https://doi.org/10.6084/m9.figshare.19625196.v4.31

Extended data

Figshare: Repository Data of Analysis of Contact Tracing Surveillance for COVID-19 among Healthcare Workers in Secondary Referral Hospital, Indonesia, https://doi.org/10.6084/m9.figshare.19625196.v4.31

This project contains the following extended data:

  • - Research instrument dr. TPD.docx

  • - dr. TPD - Informed Consent.docx

Data are available under the terms of the Creative Commons Attribution 4.0 International license (CC-BY 4.0).

Comments on this article Comments (0)

Version 2
VERSION 2 PUBLISHED 09 May 2022
Comment
Author details Author details
Competing interests
Grant information
Copyright
Download
 
Export To
metrics
Views Downloads
F1000Research - -
PubMed Central
Data from PMC are received and updated monthly.
- -
Citations
CITE
how to cite this article
Asmarawati TP, Sukartini T, Ekasari A et al. Analysis of contact tracing surveillance for COVID-19 among healthcare workers in secondary referral hospital, Indonesia [version 1; peer review: 1 approved with reservations]. F1000Research 2022, 11:506 (https://doi.org/10.12688/f1000research.121502.1)
NOTE: If applicable, it is important to ensure the information in square brackets after the title is included in all citations of this article.
track
receive updates on this article
Track an article to receive email alerts on any updates to this article.

Open Peer Review

Current Reviewer Status: ?
Key to Reviewer Statuses VIEW
ApprovedThe paper is scientifically sound in its current form and only minor, if any, improvements are suggested
Approved with reservations A number of small changes, sometimes more significant revisions are required to address specific details and improve the papers academic merit.
Not approvedFundamental flaws in the paper seriously undermine the findings and conclusions
Version 1
VERSION 1
PUBLISHED 09 May 2022
Views
27
Cite
Reviewer Report 28 Jun 2022
Pasquale Stefanizzi, Department of Biomedical Sciences and Human Oncology, University of Bari, Bari, Italy 
Approved with Reservations
VIEWS 27
This research presents key elements and reduces ambiguities in current healthcare infection's risk evaluation and impact of tracing activity. This draft does not completely deliver on these dimensions, and requires minor revisions to achieve its intended purpose. The goal of ... Continue reading
CITE
CITE
HOW TO CITE THIS REPORT
Stefanizzi P. Reviewer Report For: Analysis of contact tracing surveillance for COVID-19 among healthcare workers in secondary referral hospital, Indonesia [version 1; peer review: 1 approved with reservations]. F1000Research 2022, 11:506 (https://doi.org/10.5256/f1000research.133366.r140548)
NOTE: it is important to ensure the information in square brackets after the title is included in all citations of this article.

Comments on this article Comments (0)

Version 2
VERSION 2 PUBLISHED 09 May 2022
Comment
Alongside their report, reviewers assign a status to the article:
Approved - the paper is scientifically sound in its current form and only minor, if any, improvements are suggested
Approved with reservations - A number of small changes, sometimes more significant revisions are required to address specific details and improve the papers academic merit.
Not approved - fundamental flaws in the paper seriously undermine the findings and conclusions
Sign In
If you've forgotten your password, please enter your email address below and we'll send you instructions on how to reset your password.

The email address should be the one you originally registered with F1000.

Email address not valid, please try again

You registered with F1000 via Google, so we cannot reset your password.

To sign in, please click here.

If you still need help with your Google account password, please click here.

You registered with F1000 via Facebook, so we cannot reset your password.

To sign in, please click here.

If you still need help with your Facebook account password, please click here.

Code not correct, please try again
Email us for further assistance.
Server error, please try again.