Keywords
Shade selection , VITA Tooth-Guide 3D Master ,esthetics
This article is included in the Manipal Academy of Higher Education gateway.
Shade selection is one of the most important factors that determines the satisfaction of the patient with the dental prosthesis and thus the overall success of the treatment. Conventional methods of shade selection require the presence of existing teeth or past dental/photographic records. In the absence of these, shade selection becomes challenging and must be done subjectively and arbitrarily based on the patient’s age and sex. This study aims to assess the prevalence, satisfaction, and preference of tooth shades, investigating their correlation with age, sex, and skin shade in a diverse sample of 120 participants.
A total of 120 participants, evenly distributed among 60 males and 60 females, were surveyed. Participants were categorized into age groups (n=15) and asked about their satisfaction with existing tooth shades and their preferences.
The most common existing tooth shade was Value 2 (52.5%).
Statistical analysis using Chi-square tests revealed that Value 2 was the most desired shade among males and females alike, particularly in the age group of 41 to 50 years (p < 0.001).
Shade 2L1.5 was the most prevalent (n=26), with Value 2 (59.16%) being the most sought-after shade, followed by Shade 2L1.5 (n=21), Shade 2M1 (n=18), Shade 1M1 (n=15), and Shade 2R1.5 (n=14).
Existing tooth shades of Value 0 were the least common.
The highest satisfaction with existing shades was observed in males aged 41 to 50 (n=15), followed by males aged 51 to 60 (n=14) and females aged 31 to 40 (n=12) and 41 to 50 (n=12). Significant differences in satisfaction were noted among males (p < 0.001).
This study reveals a consistent and strong preference among both males and females for tooth shades classified as Value 2, following the VITA Tooth-Guide 3D Master shade guide. This universal preference suggests the relevance and acceptance of this shade category across diverse patient groups.
Shade selection , VITA Tooth-Guide 3D Master ,esthetics
Facial esthetics have become important in modern society as they seem to define one’s character. Dental appearance is one of the main features that determines the attractiveness of our face and plays a key role in our social interactions.1 It has been found that the most important factors that influence the perception of beautiful teeth are age, gender, and skin color.2,3
Shade selection is an important procedure for providing patients with an esthetic restoration that harmoniously blends with the patient’s existing dentition.4 The selection of teeth with proper shade positively influences the patient’s aesthetic perception and improves prosthesis acceptance.5
The selection of artificial teeth to replace missing natural teeth is a relatively straightforward procedure when natural anterior teeth remain. Various tooth-shade guides have been developed for use in patients with natural teeth. However, the choice of tooth shade is problematic for edentulous individuals with no preextraction records.6
Various factors such as age, sex, and skin color have been proposed as aids for artificial tooth shade selection.7 Some dentists have even suggested the color of hair and eye color, but most authors favor the use of facial skin tone as a guide for tooth shade selection.8
There is limited scientific information on the relationship between facial skin complexion and tooth color in the Indian population. This lack of knowledge may impact the ability of prosthodontists to provide better aesthetics to the patient.
The perception among dentists is that individuals with darker skin color have lighter shades of teeth. This perception is commonly explained by the illusion of a greater contrast between skin color and tooth shade.3
The age of the patient was found to have a definite relationship with the tooth shade value, which has been corroborated by many studies that have shown darker tooth shade values with an increase in age and vice versa.3,6
Sex is another factor significantly associated with tooth shade values. Men were more likely to have darker tooth shade values, whereas women of the same age group were more likely to have lighter tooth shade values.9
Various studies have been conducted to establish a relationship between age, sex, and skin color in individuals with tooth shades, but contrasting results have been reported. One reason for the varying results can be attributed to the ethnic origin of the study samples.8,9
Individual studies conducted by Ajayi et al. (2011), Albashaireh et al., Hamamci et al. (2009), and Afshar MK et al. (2019) had reported satisfaction with dental appearance of 79.4% in Nigeria,10 67.6% in Jordan,11 71.1% in Turkey,12 and 47.2% in Malaysia.13
A study conducted by Maghaireh et al. (2016) found that most people were not satisfied with their tooth color, and the sought-after treatment was tooth whitening. They also reported that women are significantly more likely to seek cosmetic and orthodontic restorations.14
In a study by Tin-Oo (2011), satisfaction with tooth color was significantly lower in women, and tooth whitening was the most preferred treatment.15
Research in the field of esthetics and shade matching has predominantly been conducted in Western populations. However, with increasing dental awareness and demand for esthetics in developing countries, such as the Indian subcontinent, research in the field of esthetics based on the local population has become the need of the hour.
This study aimed to determine the prevalence, satisfaction, and preference of tooth shades and their correlation with sex, age, and skin color.
The null hypothesis was that there would be no difference in the prevalence, preference, and satisfaction of tooth shades between the age class, gender, and skin shade patterns.
This study was conducted in the Department of Prosthodontics and Crown and Bridge, Manipal College of Dental Sciences, Mangalore.
A Pilot study was conducted which showed a prevalence of satisfaction of 56.52% with an alpha of 5 % the corresponding z value was Z=-1.95996398454005.
Using the formula n=(Z(α/2)/d) 2^ “p(1-p)” the minimum percentage difference to be deemed clinically significant at 10%, the minimum sample size required would be 95 for the study. A method of matched quota sampling was employed to recruit an equal number of participants in each age group and sex. For the easy divisibility of the groups, a sample size of 120 was selected.
120 participants were included in this study using the following inclusion criteria:
The 120 participants were then equally divided into eight groups based on their age and gender, as follows:
Questionnaire
The participants were then asked to complete a questionnaire on their age, gender, and ethnic origin. They were then shown a face mirror and asked if they were satisfied with the shade of their upper front teeth.
Shade selection
The investigators then selected the most common tooth shade among the maxillary anterior teeth using a shade guide (3D Master, VITA Zahnfabrik H. Rauter GmbH & Co. KG Postfach 1338 D-79704 Bad Säckingen), as per manufacturer instructions (Figure 1A).
If the test subjects were not satisfied with their existing tooth shade, they were guided to find the preferred tooth shade using the “VITA Tooth-Guide 3D Master” shade guide.
The participants’ skin color was recorded using the L’Oreal skin shade guide (Figure 1B).
After collecting the data from all 120 participants, statistical analysis was done using χ2 test to correlate Tooth shade, skin shade, age and gender. Odds ratios were calculated using a logistic regression. Statistical significance was considered at 95% confidence interval, and p values less than 0.05 were considered significant. IBM SPSS Statistics version 20.0 was used for these statistical calculations.
A total of 120 participants were grouped based on their age and sex to evaluate the prevalence, satisfaction, and preference of tooth shade and their correlation with age, sex, and skin shade using questionnaires along with the VITA Tooth-Guide 3D Master shade guide and L’Oreal skin shade guide.
As can be seen in Table 1, the most common existing among the participants was Value 2 (52.5%) of VITA Tooth-Guide 3D Master shade. Shade 2L1.5 (n=26) was the most common, followed by 3L1.5 (n=14), 2M1 (n=12), 2R1.5 (n=10), and 2M2 (n=9).
| Percentage of participants who had the value of shade | Percentage of participants who wanted the value of shade | |
|---|---|---|
| Value 0 | 0% | 3.33% |
| Value 1 | 8.33% | 20% |
| Value 2 | 52.5% | 58.33% |
| Value 3 | 36.66% | 17.5% |
| Value 4 | 2.5% | 0.83% |
The least common existing tooth shades were of value 0, with no participants showing any existing shade.
The most commonly desired tooth shade was of value 2 (58.33%). Shade 2L1.5, the most commonly preferred tooth shade (n=21), followed by 2M1 (n=18), 1M1 (n=15), 2R1.5 (n=14), and 1M2 (n=9).
Chi-square tests revealed that value 2 was the most preferred shade among males and females equally in the age group of 41–50 years, and this was statistically significant (p<0.001) (Table 2).
Among the shades present, highest satisfaction was observed with people having shades of value 1 (90%), followed by values 2 (82.25%), value 3 (44.44%), and value 4 (33.33%).
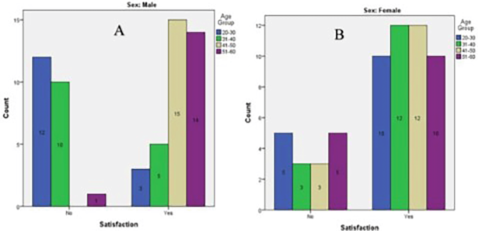
As shown in Figure 2, the highest satisfaction with existing shade was seen in males aged 41–50 years (n=15), followed by males aged 51–60 years (n=14), and females aged 31–40(n=12) and 41–50 (n=12). The lowest satisfaction was observed in males aged 20-30 (n=12), followed by males aged 31–40 years (n=10), and females aged 20-30 (n=5).

A) Males. B) Females.
The differences in satisfaction with tooth shades among the males were statistically significant (p<0.001) (Table 3).
| Chi-Square Tests | ||||
|---|---|---|---|---|
| Sex | Value | df | P value (<0.05 is significant) | |
| Female | Pearson Chi-Square | 1.364 | 3 | .714 |
| N of Valid Cases | 60 | |||
| Male | Pearson Chi-Square | 31.798 | 3 | <0.001 |
| N of Valid Cases | 60 | |||
| Sex | Age Group | Total | |||||
|---|---|---|---|---|---|---|---|
| 20-30 | 31-40 | 41-50 | 51-60 | ||||
| Female | Satisfaction | No | 5 | 3 | 3 | 5 | 16 |
| Yes | 10 | 12 | 12 | 10 | 44 | ||
| Total | 15 | 15 | 15 | 15 | 60 | ||
| Male | Satisfaction | No | 12 | 10 | 0 | 1 | 23 |
| Yes | 3 | 5 | 15 | 14 | 37 | ||
| Total | 15 | 15 | 15 | 15 | 60 | ||
Various methods of dental shade selection can be broadly categorized into visual and digital methods. Visual methods include the use of stocks and custom shade guides. Digital methods include digital cameras, color-measuring software, colorimeters, spectrophotometers, and intraoral scanners. Despite developments in dental shade selection methods, shade selection remains a challenge that affects esthetic outcomes.16
This challenge is augmented when patients are edentulous and lack any prior photographic or dental records of the shade of their original teeth, and conventional dental shade selection tools cannot be used.
According to the protocols, the age, sex, and complexion of the patient should be taken into consideration while choosing the dental shade for completely edentulous patients. There are several recommendations for selecting the shape and size of artificial teeth, which are supported by rationale and empirical data.17–20
However, shade selection for completely edentulous patients follows vague and broad criteria and is therefore more subjective and arbitrary. These add complexities to complete dentures and full-mouth rehabilitation.17–22
The current study demonstrated that the age and sex of the patient affect their satisfaction with existing dental shades and their shade preferences. No correlation was observed between skin shade and existing or desired shade in the observed test subjects. These observations are similar to those of a previous study. Esan TA, et al.23
Overall, 67.5% of participants were satisfied with their existing dental shades, while 32.5% people wanted to change their dental shades.
8.3% of the test subjects had dental shade of Vita 3D master value 1. Ninety% of these people were satisfied with their existing dental shade, while 10% of the people wanted to change their shade to value 3.
51.6% Of the test subjects had dental shade with vita 3d master value 2. 82.25% Of these people were satisfied with their existing dental shade, while 11.2% of the people wanted to change their shade to value 1.
37.5% Of the test subjects had dental shade with vita 3d master value 3. 44.44% Of these people were satisfied with their existing dental shade, while 37.77% of the people wanted to change their shade to value 2.
2.5% of the test subjects had dental shade of vita 3d master value 1. 33.33% Of these people were satisfied with their existing dental shade, while 66.66% of the people wanted to change their shade to value 2.
Therefore, shades of value 2 were the most desired shades among the Vita 3D master shades.
The most wanted/liked shades by the test subjects were 2L1.5 (17.5%), 2M1 (15%), 1M1 (12.5%), 2R1.5 (11.67%), 1M2 (7.5%), 2M2 (6.67%), and 2L2.5 (5.83%).
In the age group of 20 to 30 years, 53.3% of the female participants had shades of value 2, while 40% had shades of value 3. 66.7% were satisfied with their existing shade. 46.7% liked shades of value 2 and 26.7% liked value 3.
53.3% Of the male participants had shades of value 2, while 33.3% had shades of value 3. Twenty% were satisfied with their existing shade. 46.7% liked value 2 and 33.3% liked value 1.
In the age group of 30 to 40 years, 46.7% of the female participants had shades of value 3, while 40% had shades of value 2. Eighty% were satisfied with their existing shade. 53.3% liked value 2, and 26.7% liked value 3.
46.7% Of the male participants had shades of value 2, while 46.7% had shades of value 3. 33.3% were satisfied with their existing shade. Sixty% liked value 2, and 33.3% liked value 1.
In the age group of 40 to 50 years, 53.3% of the female participants had shades of value 2, while 40% had shades of value 3. Eighty% were satisfied with their existing shade. 73.3 % liked value 2, and 20% wanted to liked value 3.
66.7% Of the male participants had shades of value 2, while 20% had shades of value 3. 80% were satisfied with their existing shade.
In age group 50 to 60, 40% of the female participants had shades of value 3, while 40% had shades of value 4. 66.7% were satisfied with their existing shade. 53.3% liked value 2, and 26.7% liked value 1.
66.7% Of the male participants had shades of value 2, while 26.7% had shades of value 3. 93.3% were satisfied with their existing shade. 73% liked value 2 and 20% liked value 3.
Males in the higher age groups were more satisfied with their teeth than younger age groups and females. This was also observed in studies conducted by Tin-Oo et al. and Maghaireh et al.14,15
The results of this study showed that people become more satisfied with their shade as age advances. In addition, shades of value 2 were the most common and the most liked shade by males and females of all genders as compared to shades of other values.
Within the limitations of this study, the following conclusions can be drawn:
1. Satisfaction with existing shade increases in males, especially in the age group of 41–50 years.
2. The most desired tooth shades by both males and females were of value 2, as per the VITA Tooth-Guide 3D Master shade guide.
1. In this study, participants with different skin shades were not evenly selected. Light shade (n=5), fair shade (n=14), medium shade (n=45), Medium Dark shade (n=37), or dark shade (n=19). This can influence the results with respect to the relationship between skin shade and the satisfaction of existing tooth shades, along with tooth shades preferred by the participants of different skin shades.
2. A larger sample size may reveal further correlations between the hue, value, and chroma of existing and preferred tooth shades.
1. In the case of the unavailability of dental photographic records in edentulous patients, age and sex can act as a guide for shade selection.
2. If the patient or dentist is unsure about the shade of complete dentures and full-mouth rehabilitations, shades of value 2 can be selected, as they are the most liked shades according to the present study.
3. Older men may prefer darker shades of teeth, whereas women of all ages may prefer lighter shades.
All observations were performed in conformity with the ethical standards of the Institutional Ethics Committee, Manipal College of Dental Sciences Mangalore, after receiving approval from the committee (ref:22007 dated:12/02/2022). Each individual assigned to participate in the study gave written informed consent to participate in the study.
Figshare: prevalence, satisfaction and preference of tooth shades and their correlation with age, gender and skin shade: a cross sectional study, DOI: https://doi.org/10.6084/m9.figshare.24903114.v3. 24
This project contains the following:
Data are available under the terms of the Creative Commons Attribution 4.0 International license (CC-BY 4.0).
Figshare: prevalence, satisfaction and preference of tooth shades and their correlation with age, gender and skin shade: a cross sectional study, DOI: https://doi.org/10.6084/m9.figshare.24903114.v3. 24
This project contains the following:
Data are available under the terms of the Creative Commons Attribution 4.0 International license (CC-BY 4.0).
Figshare: prevalence, satisfaction and preference of tooth shades and their correlation with age, gender and skin shade: a cross sectional study, DOI: https://doi.org/10.6084/m9.figshare.24903114.v3. 24
This project contains the following:
Data are available under the terms of the Creative Commons Attribution 4.0 International license (CC-BY 4.0).
| Views | Downloads | |
|---|---|---|
| F1000Research | - | - |
|
PubMed Central
Data from PMC are received and updated monthly.
|
- | - |
Is the work clearly and accurately presented and does it cite the current literature?
Partly
Is the study design appropriate and is the work technically sound?
Partly
Are sufficient details of methods and analysis provided to allow replication by others?
Partly
If applicable, is the statistical analysis and its interpretation appropriate?
I cannot comment. A qualified statistician is required.
Are all the source data underlying the results available to ensure full reproducibility?
Yes
Are the conclusions drawn adequately supported by the results?
Yes
Competing Interests: No competing interests were disclosed.
Reviewer Expertise: Aesthetic Restorative Dentistry, Endodontics and Dental implantology
Is the work clearly and accurately presented and does it cite the current literature?
Yes
Is the study design appropriate and is the work technically sound?
Yes
Are sufficient details of methods and analysis provided to allow replication by others?
Yes
If applicable, is the statistical analysis and its interpretation appropriate?
Yes
Are all the source data underlying the results available to ensure full reproducibility?
Yes
Are the conclusions drawn adequately supported by the results?
Partly
Competing Interests: No competing interests were disclosed.
Reviewer Expertise: Specialist in colour and appearance of teeth
Alongside their report, reviewers assign a status to the article:
| Invited Reviewers | |||
|---|---|---|---|
| 1 | 2 | 3 | |
|
Version 3 (revision) 14 Jul 25 |
|||
|
Version 2 (revision) 05 Mar 25 |
read | read | |
|
Version 1 19 Sep 24 |
read | read | |
Provide sufficient details of any financial or non-financial competing interests to enable users to assess whether your comments might lead a reasonable person to question your impartiality. Consider the following examples, but note that this is not an exhaustive list:
Sign up for content alerts and receive a weekly or monthly email with all newly published articles
Already registered? Sign in
The email address should be the one you originally registered with F1000.
You registered with F1000 via Google, so we cannot reset your password.
To sign in, please click here.
If you still need help with your Google account password, please click here.
You registered with F1000 via Facebook, so we cannot reset your password.
To sign in, please click here.
If you still need help with your Facebook account password, please click here.
If your email address is registered with us, we will email you instructions to reset your password.
If you think you should have received this email but it has not arrived, please check your spam filters and/or contact for further assistance.
Comments on this article Comments (0)