ALL Metrics
-
Views
-
Downloads
Get PDF
Get XML
Cite
Export
Track
Research Article

Deciphering the significance of neutrophil to lymphocyte and monocyte to lymphocyte ratios in tuberculosis: A case-control study from southern India

[version 1; peer review: 1 approved with reservations, 1 not approved]
PUBLISHED 05 Jul 2024
Author details Author details
OPEN PEER REVIEW
REVIEWER STATUS

This article is included in the Manipal Academy of Higher Education gateway.

Abstract

Background

Diagnosis of tuberculosis (TB) in resource-limited countries relies primarily on bacteriological confirmation using Ziehl-Neelsen (ZN) stain or culture. However, this method has low sensitivity due to suboptimal sampling and techniques. Neutrophils, monocytes, and lymphocytes are crucial in the pathogenesis of granulomatous inflammation and immune reactions. We investigated the usefulness of the haematological parameters and their ratios, like the Neutrophil to Lymphocyte ratio (NLR) and Monocyte to Lymphocyte ratio (MLR), for diagnosing tuberculosis.

Methods

We retrospectively grouped 114 patients with fever into those diagnosed with TB and control groups. We obtained their haematological data and calculated their derived ratios. The ratios obtained from the two groups were compared. Their sensitivity and specificity were calculated.

Results

Haematological parameters like MLR were higher in TB patients than in the control group. Although NLR was not significantly increased, MLR was significantly increased with p values <0.05. These tests had low sensitivity but high specificity.

Conclusion

Serum NLR and MLR emerge as valuable tools in TB diagnosis. Their simplicity and cost-effectiveness render them particularly suitable for screening and recurrence monitoring in rural and remote settings, thereby mitigating loss to follow-up.

Keywords

NLR, MLR, Tuberculosis, Infectious diseases, Hematology

Introduction

Tuberculosis (TB) is a chronic disease caused by the bacterium Mycobacterium tuberculosis, which has led to significant mortality and morbidity worldwide. Global statistics indicate that 10 million people have been diagnosed with TB.1 In particular, India bears the highest burden of TB, with an estimated 26.4 lakh cases.2 The impact of socioeconomic factors on TB outcomes in India has been well-documented.3

The most common, rapid, and cost-effective diagnostic method for TB in India is the microscopic detection of Acid-Fast Bacilli (AFB) using Ziehl-Neelsen (ZN) staining. However, this method’s sensitivity decreases when the bacterial load is less than 10,000 bacilli/ml, and it requires high-quality and large samples.4 Nucleic acid amplification tests (NAAT), which are more sensitive, are typically conducted in tertiary centers but are limited in rural areas of developing countries due to resource constraints.5 While the National Health Mission guidelines suggest diagnosing and treating TB based on high clinical suspicion, studies indicate lower survival rates among patients who receive empirical TB treatment compared to those with laboratory-confirmed TB infection.4 Despite being curable, late diagnosis, ineffective treatment, and loss of follow-up can result in relapse or the development of multidrug-resistant tuberculosis (MDR-TB) or extensively drug-resistant tuberculosis (XDR-TB). Late detection is primarily due to the unavailability of cost-effective and rapid tests in rural areas, exacerbating the TB burden in India. Loss of follow-up and relapse are often attributed to difficulties in accessing these tests. Timely, accurate, and affordable diagnostics are crucially needed, as delays in diagnosis can worsen outcomes and increase transmission rates.

TB is characterized by granulomatous inflammation and caseous necrosis, with neutrophils playing a significant role in its pathogenesis.69 Activated macrophages release tumor necrosis factor (TNF) and chemokines, recruiting more monocytes and ultimately leading to the death of the mycobacterium.10 Hematological parameters such as neutrophils, lymphocytes, and monocytes exhibit variations in TB patients.1113 In recent years, ratios derived from various hematological parameters have been explored as markers of inflammation in multiple diseases. NLR and MLR have demonstrated both diagnostic and prognostic value in TB.617 These tests are simple, rapid, cost-effective, and readily available even in rural areas, promising potential as adjunctive biomarkers for diagnosing and screening clinically suspected TB patients and detecting relapse in patients under follow-up.

Methods

This is an analytical observational case-control study. The study was conducted at our tertiary hospital in Karnataka state of South India, from June to August 2022. The study included inpatients and outpatients who presented with a fever, had undergone laboratory tests in our institutional hospital to rule out tuberculosis, and had adequate clinical data. All terminally ill patients, patients with known comorbidities and on treatment were excluded from the study. The sampling process involved two stages. At first, a non-probability, convenience sampling method was employed to identify potential participants based on their presentation with fever and undergoing TB testing. Subsequently, purposive sampling was applied to select participants, strictly meeting the inclusion and exclusion criteria to minimize selection bias and ensure the representation of relevant clinical characteristics within each group. In this study, an effect size of 0.5 was chosen based on prior knowledge or expected differences in the variables under investigation, and a power of 80% (or 0.80) was selected. Kelsey’s formula was employed to calculate the sample size required for each group. This formula incorporates the effect size, power, and significance level to determine the minimum sample size needed to detect a significant difference between groups. A minimum sample size of 55 participants per group was calculated and deemed sufficient to detect the specified effect size with the chosen power level. The patients were divided into a TB group if the patients had a fever and tested positive for TB either by AFB culture, ZN stain, or NAAT and a control group if patients had a fever but tested negative for TB by the above-mentioned methods. The clinical details were procured from the case files. For the hematologic evaluation, for all groups, the following blood parameters: differential neutrophil, lymphocyte, and monocyte counts, were measured by an automated haematology analyser. The NLR was calculated by dividing the differential neutrophil count by the differential lymphocyte count, and the MLR by dividing the differential monocyte count by the differential lymphocyte count. Data was collected from laboratory software or case files and presented as mean±standard deviation (SD). It was recorded using Microsoft Excel. Statistical Package for the Social Sciences, version 29 software was used for statistical analysis. The T-test was used for continuous variables, and the chi-square test for categorical variables. A p-value of <0.05 was considered statistically significant.

Ethics and consent

We obtained approval from the Institutional Ethics Committee. (Kasturba Medical College, Mangalore), Reg. No. ECR/541/Inst/KA/2014/RR-20, DHR Reg. No. EC/NEW/INST/2020/742 with Protocol No. IECKMCMLR-11/2021/343. The approval was given on 17th November 2021. The committee permitted a waiver of consent to participate from the patients as patient details and data were sourced from case files, and tracing the patients proved challenging.

Results

In total, 114 cases were included in the study, evenly distributed between the TB group (n=57) and the control group (n=57). Key hematologic markers assessed included Neutrophils, Lymphocytes, and Monocytes, with Neutrophil to Lymphocyte Ratio (NLR) and Monocyte to Lymphocyte Ratio (MLR) derived for each participant.18

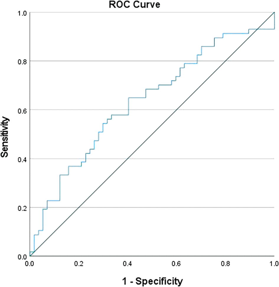
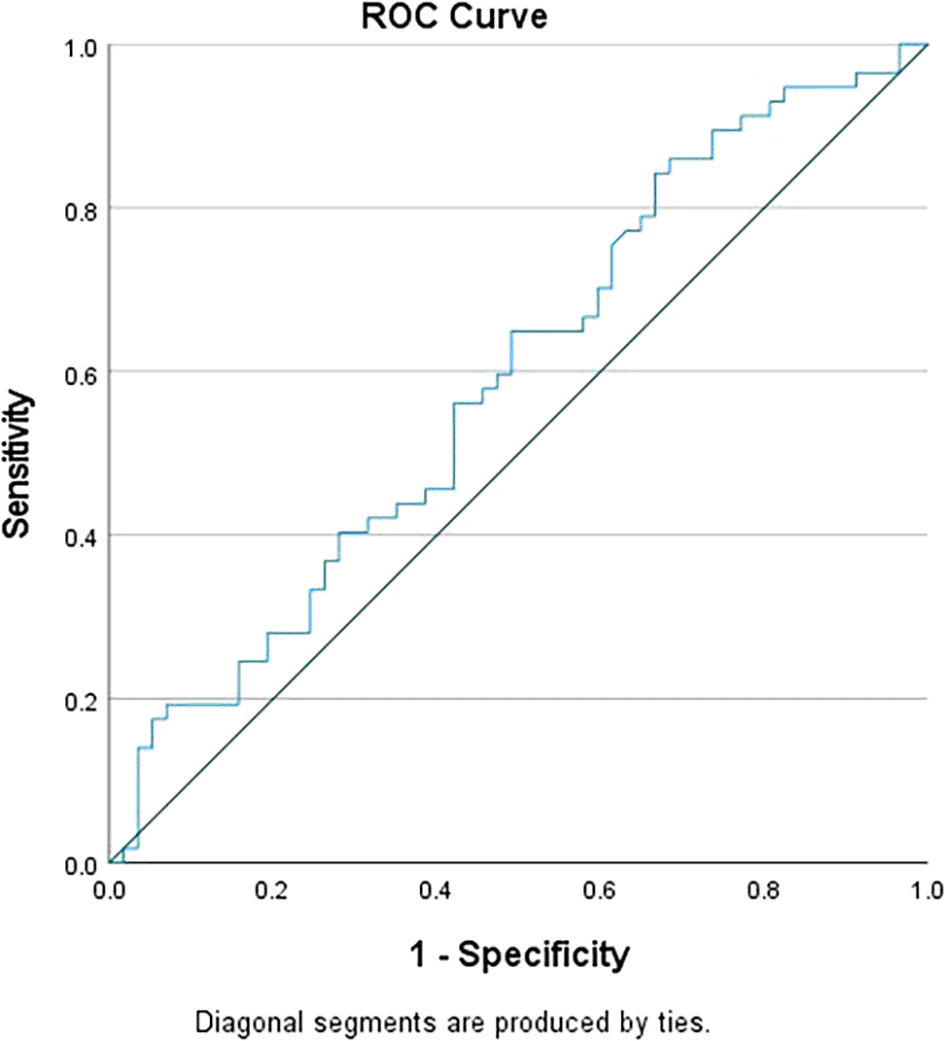
Differential lymphocyte counts were found to be significantly elevated in TB cases compared to controls (P value=0.048), while MLR showed a significant increase in TB cases compared to controls (P value=0.031). However, no significant differences were observed in the counts of Neutrophils, Monocytes, and NLR between TB cases and controls. To distinguish between TB patients and controls, the cut-off values were established using Receiver Operating Characteristic (ROC) curve analysis. The cut-off value for NLR was set at >5 (Figure 1), while for MLR, it was set at >0.5 (Figure 2). Individually, NLR and MLR exhibited limited sensitivity in predicting TB, but demonstrated better specificity. However, when combining these parameters, there was significant increase in specificity, as shown in Table 1.19

0236d111-b745-4c0b-8f28-e1bcb08fca76_figure1.gif

Figure 1. ROC curve for NLR.

0236d111-b745-4c0b-8f28-e1bcb08fca76_figure2.gif

Figure 2. ROC curve for MLR.

Table 1. Performance metrics of NLR, MLR, and combined NLR & MLR for predicting tuberculosis.

MetricsNLRMLRNLR & MLR
Sensitivity %28.038.622.8
Specificity %77.278.996.5
Positive Predictive Value %55.264.786.7
Negative Predictive Value %51.856.355.6

Discussion

Tuberculosis remains a significant cause of morbidity worldwide, especially in low-income countries, emphasizing the critical need for accessible and cost-effective diagnostic methods. Despite the availability of rapid tests like the NAAT assay, challenges persist, particularly for diagnosing extra-pulmonary, pediatric, and smear-negative TB cases. Conventional methods such as smear tests are outdated, while serological tests lack accuracy.16,17

Our study focused on key hematological parameters including neutrophil count, lymphocyte count, monocyte count, neutrophil-to-lymphocyte ratio (NLR), and monocyte-to-lymphocyte ratio (MLR) in patients presenting with fever, comparing those diagnosed with TB to others. Previous research has underscored NLR and MLR as significant markers for TB diagnosis and prognosis.616

In our investigation, MLR emerged as a standout parameter, exhibiting a statistically significant increase in TB patients compared to those without TB. This finding underscores the involvement of activated macrophages and monocytes in chronic granulomatous inflammation characteristic of TB. However, contrary to some prior studies, NLR did not demonstrate a significant role in TB diagnosis, possibly due to the involvement of neutrophils in non-granulomatous and acute inflammatory conditions. While NLR and MLR have shown associations with TB disease severity and treatment outcomes in some studies, their predictive value is not universally consistent.1417 Factors like comorbidities, immune status, and TB strain virulence can influence the relationship between these ratios and clinical outcomes. NLR and MLR can also vary significantly between individuals based on factors like age, sex, and ethnicity and can fluctuate over time due to stress, medications, and physiological changes.15

While individual hematological parameters showed limited sensitivity, combining MLR and NLR substantially improved sensitivity, specificity, and positive predictive value. This suggests the potential for a combined approach to aid in TB detection.

Acknowledged study limitations include the lack of information about the diagnosis of the control group with fever, unknown hidden comorbidities, unsuspected infections or immune status of both control and cases, and the unknown virulence of the TB strain, potentially introducing variability in laboratory findings. Other limitations include the possibility of selection bias in the patient selection process despite strict adherence to inclusion and exclusion criteria due to a lack of relevant investigations of the desired population. Notably, individuals with TB who did not present with fever were excluded, potentially limiting the study’s representativeness of the TB population.

Despite these limitations, our study highlights the importance of utilizing hematological parameters, particularly MLR, in TB diagnosis. While these ratios are non-specific, have inter-individual variation and limited predictive value, limiting their reliability as standalone markers of TB severity or treatment response, combining these ratios with established tests like elevated Erythrocyte Sedimentation Rate (ESR) offers promise for TB screening in resource-limited settings.

Conclusion

In conclusion, MLR emerges as a promising, cost-effective tool for early TB diagnosis. Utilizing a combined approach with NLR enhances screening efficacy, especially in cases with strong clinical suspicion. Moreover, this combined strategy holds the potential for monitoring patients during follow-up, mitigating relapse risks, and alleviating the TB burden, particularly in underserved regions and rural areas of low-income countries. Variations in study populations, laboratory methods, and analytical techniques contribute to inconsistencies in cutoff thresholds, hindering comparability and generalizability across studies. Therefore this avenue warrants further research to know its hold in clinical implications and also to validate their diagnostic accuracy, prognostic value, and predictive capabilities across diverse patient populations and clinical settings.

Comments on this article Comments (0)

Version 2
VERSION 2 PUBLISHED 05 Jul 2024
Comment
Author details Author details
Competing interests
Grant information
Copyright
Download
 
Export To
metrics
Views Downloads
F1000Research - -
PubMed Central
Data from PMC are received and updated monthly.
- -
Citations
CITE
how to cite this article
Bakshi P, Nayak R, Rai S and Jayasheelan S. Deciphering the significance of neutrophil to lymphocyte and monocyte to lymphocyte ratios in tuberculosis: A case-control study from southern India [version 1; peer review: 1 approved with reservations, 1 not approved]. F1000Research 2024, 13:747 (https://doi.org/10.12688/f1000research.150685.1)
NOTE: If applicable, it is important to ensure the information in square brackets after the title is included in all citations of this article.
track
receive updates on this article
Track an article to receive email alerts on any updates to this article.

Open Peer Review

Current Reviewer Status: ?
Key to Reviewer Statuses VIEW
ApprovedThe paper is scientifically sound in its current form and only minor, if any, improvements are suggested
Approved with reservations A number of small changes, sometimes more significant revisions are required to address specific details and improve the papers academic merit.
Not approvedFundamental flaws in the paper seriously undermine the findings and conclusions
Version 1
VERSION 1
PUBLISHED 05 Jul 2024
Views
18
Cite
Reviewer Report 13 Nov 2024
Tutik Kusmiati, Universitas Airlangga – Dr. Soetomo General Academic Hospital, Surabaya, Indonesia 
Approved with Reservations
VIEWS 18
in abstract: I agree that ZN has low sensitivity, but the culture sensitivity is very good.

in introduction: In the introduction: you only wrote the reason for studying MLR because ZN is not sensitive and the ... Continue reading
CITE
CITE
HOW TO CITE THIS REPORT
Kusmiati T. Reviewer Report For: Deciphering the significance of neutrophil to lymphocyte and monocyte to lymphocyte ratios in tuberculosis: A case-control study from southern India [version 1; peer review: 1 approved with reservations, 1 not approved]. F1000Research 2024, 13:747 (https://doi.org/10.5256/f1000research.165277.r336227)
NOTE: it is important to ensure the information in square brackets after the title is included in all citations of this article.
  • Author Response 08 Jan 2025
    Rakshatha Nayak, Department of Pathology, Kasturba Medical College, Mangalore, Manipal Academy of Higher Education, Manipal, 576104, India
    08 Jan 2025
    Author Response
    Dear Madam,
    Thank you for reviewing our article and providing valuable feedback. In response to your suggestions, we have made the following revisions:
    1. We have revised the abstract
    ... Continue reading
COMMENTS ON THIS REPORT
  • Author Response 08 Jan 2025
    Rakshatha Nayak, Department of Pathology, Kasturba Medical College, Mangalore, Manipal Academy of Higher Education, Manipal, 576104, India
    08 Jan 2025
    Author Response
    Dear Madam,
    Thank you for reviewing our article and providing valuable feedback. In response to your suggestions, we have made the following revisions:
    1. We have revised the abstract
    ... Continue reading
Views
17
Cite
Reviewer Report 21 Aug 2024
Sivaporn Gatechompol, HIV-NAT, Thai Red Cross AIDS Research Centre, Bangkok, Thailand 
Not Approved
VIEWS 17
I am pleased to review this work. This is a case-control study in a tertiary hospital in India. The study aimed to assess the usefulness of  Neutrophil to Lymphocyte ratio (NLR) and Monocyte to Lymphocyte ratio (MLR) for diagnosing tuberculosis.
... Continue reading
CITE
CITE
HOW TO CITE THIS REPORT
Gatechompol S. Reviewer Report For: Deciphering the significance of neutrophil to lymphocyte and monocyte to lymphocyte ratios in tuberculosis: A case-control study from southern India [version 1; peer review: 1 approved with reservations, 1 not approved]. F1000Research 2024, 13:747 (https://doi.org/10.5256/f1000research.165277.r308652)
NOTE: it is important to ensure the information in square brackets after the title is included in all citations of this article.
  • Author Response 08 Jan 2025
    Rakshatha Nayak, Department of Pathology, Kasturba Medical College, Mangalore, Manipal Academy of Higher Education, Manipal, 576104, India
    08 Jan 2025
    Author Response
    Dear Madam,
    Thank you for reviewing our article and providing us with your valuable insights. In response to your suggestions, we have made the following revisions:
    1. The study
    ... Continue reading
COMMENTS ON THIS REPORT
  • Author Response 08 Jan 2025
    Rakshatha Nayak, Department of Pathology, Kasturba Medical College, Mangalore, Manipal Academy of Higher Education, Manipal, 576104, India
    08 Jan 2025
    Author Response
    Dear Madam,
    Thank you for reviewing our article and providing us with your valuable insights. In response to your suggestions, we have made the following revisions:
    1. The study
    ... Continue reading

Comments on this article Comments (0)

Version 2
VERSION 2 PUBLISHED 05 Jul 2024
Comment
Alongside their report, reviewers assign a status to the article:
Approved - the paper is scientifically sound in its current form and only minor, if any, improvements are suggested
Approved with reservations - A number of small changes, sometimes more significant revisions are required to address specific details and improve the papers academic merit.
Not approved - fundamental flaws in the paper seriously undermine the findings and conclusions
Sign In
If you've forgotten your password, please enter your email address below and we'll send you instructions on how to reset your password.

The email address should be the one you originally registered with F1000.

Email address not valid, please try again

You registered with F1000 via Google, so we cannot reset your password.

To sign in, please click here.

If you still need help with your Google account password, please click here.

You registered with F1000 via Facebook, so we cannot reset your password.

To sign in, please click here.

If you still need help with your Facebook account password, please click here.

Code not correct, please try again
Email us for further assistance.
Server error, please try again.