ALL Metrics
-
Views
-
Downloads
Get PDF
Get XML
Cite
Export
Track
Research Article
Revised

Optimizing treatment of lepromatous form of leprosy using ofloxacin on top of standard multi-drug therapy in National Referral Hospital, Jakarta, Indonesia

[version 4; peer review: 2 approved, 3 approved with reservations, 1 not approved]
PUBLISHED 03 Oct 2025
Author details Author details
OPEN PEER REVIEW
REVIEWER STATUS

This article is included in the Pathogens gateway.

Abstract

Background

Standard multi-drug therapy (MDT) with duration of 6-12 months is generally effective for treating leprosy. However, in cases of lepromatous (LL) and borderline lepromatous (BL) patients with high bacterial loads and complicated circumstances often faces non-adherence. Ofloxacin, a fluoroquinolone, has shown promising efficacy against Mycobacterium leprae in in-vitro and in-vivo studies, therefore accelerates bacterial clearance.

Methods

This single-center retrospective cohort study investigated the effects of adding ofloxacin to MDT in 21 patients diagnosed with LL or BL leprosy at Cipto Mangunkusumo National Referral Hospital, Jakarta, Indonesia. Bacterial load and viability were tracked using the Bacteriological Index (BI) and Morphological Index (MI), and were compared before and after the patients were given ofloxacin.

Findings

Adding ofloxacin to MDT led to a significant reductions in both BI and MI. The median MI dropped to zero after six months of combined treatment (p<0.001), with significant differences between baseline and 6, 9, and 12-months. BI also significantly declined (p=0.007), with significant reductions between baseline and 3, 6, 9, and 12-month assessments. The proportion of patients reaching an MI of zero also steadily increased.

Interpretation

Ofloxacin as an adjunctive therapy to MDT substantially improves treatment of leprosy with high bacterial and morphological index. Faster bacterial clearance prevent prolonged treatment duration, potentially improving adherence, outcomes and reducing relapse risk. Ofloxacin is the only second-line leprosy treatment covered by the national health insurance in Indonesia. Earlier initiation of this adjunctive therapy may offer greater benefits.

Keywords

Lepromatous Leprosy; Ofloxacin; Multi-Drug Therapy (MDT); Bacteriological Index (BI); Morphological Index (MI); Leprosy Treatment Optimization; Indonesia

Revised Amendments from Version 3

In this revised version, we have made several important improvements in response to reviewer feedback. First, we clarified our approach to adverse event monitoring by explicitly stating in the Methods section that side effects were assessed through patient medical records; any adverse events were recorded in the patient’s status notes, while the absence of documentation indicated no adverse events. Second, we refined the Discussion to reduce redundancy, improve flow, and emphasize the clinical relevance of our findings while keeping the bibliographic order of references intact. Third, we revised the statistical reporting to ensure clarity in the presentation of results and their interpretation. Finally, minor editorial changes were made to improve readability and consistency. These revisions enhance the transparency, methodological clarity, and overall coherence of the article without altering the study’s original findings or conclusions.

See the authors' detailed response to the review by Maria T Ochoa
See the authors' detailed response to the review by Fifa Argentina
See the authors' detailed response to the review by Brandon L Adler

Introduction

Despite global efforts to eliminate Leprosy, Indonesia continues to be a country with a high prevalence of the disease, with 17,251 cases reported by the Indonesian Ministry of Health in 2023. The World Health Organization (WHO) recognizes Indonesia as having one of the highest leprosy burden worldwide.1 In 2024, a total of 413 leprosy cases have been registered at Dr. Cipto Mangunkusumo National Hospital.2 The more severe and contagious form of leprosy – lepromatous leprosy (LL) and borderline lepromatous leprosy (BL) – are especially concerning due to their high bacterial loads and may lead to significant morbidity if not properly treated.3 Since 1981, multi-drug therapy (MDT) combining rifampicin, dapsone, and clofazimine by the World Health Organization (WHO) has been used as the standard treatment for leprosy.4

While MDT is effective, its use alone can lead to prolonged treatment durations, particularly in patients with high bacterial loads, which may contribute to poor adherence. Adding medication to the current regimen could be considered to improve patient’s adherence.5 Recently, more studies have analyzed the potential of additional antibacterial agents in enhancing the efficacy of MDT for leprosy cases. Ofloxacin, a fluoroquinolone with strong activity against M. leprae, has shown promise when added to standard MDT. One study highlighted the potential benefits of using ofloxacin in leprosy treatment, noting that it is well tolerated and achieves similar bacterial clearance, even when ofloxacin is only administered during the first month.6 A retrospective study further demonstrated that patients receiving MDT combined with ofloxacin showed good adherence, as no adherence failures was identified among subjects receiving ofloxacin. Additionally, the combination therapy was associated with a lower relapse rate and improved long-term outcomes, supporting its use as a promising option for treating severe leprosy cases.5

The evaluation of leprosy treatment is typically followed up using two key bacteriological indices: the Bacterial Index (BI), which measures the overall bacterial load in skin smears, and the Morphological Index (MI), which assesses the proportion of viable (solid) bacilli, which depicts treatment efficacy. A significant reduction in both indices over time reflects successful bacterial clearance and a reduced risk of disease transmission and relapse.7

Certainly, there are specific considerations that should be given while adding ofloxacin to standard MDT treatment, such as: initial high viable infection load that is indicated by a high MI from acid-fast staining of slit-skin smears, persistently positive MI after at least six months therapy of standard MDT,8 or relapse, diagnosed based on criteria by Linder et al.9

The most common adverse effect of ofloxacin is tendinopathy, and there may be hypersensitivity reactions, central nervous system adverse drug reactions, peripheral neuropathy, though uncommon.10

With above mentioned findings, this study aims to analyse the efficacy of MDT combined with ofloxacin in patients with lepromatous form of leprosy (BL and LL). By assessing the reduction in BI and MI during the course of treatment regimens, the study seeks to determine whether adding ofloxacin enhances MDT’s bacteriological outcomes, leading to faster bacterial clearance and improved patient outcomes. This is particularly important for patients with lepromatous form of leprosy, where the bacterial load is high and conventional MDT may take longer time than standard duration of multibacillary (MB) therapy to achieve bacteriological cure.

Methods

Study design

Between 2020 and 2024, all medical records of eligible patients with lepromatous form leprosy treated at the Dermatology and Venereology Clinic, Dr. Cipto Mangunkusumo National Hospital, Jakarta, Indonesia, were examined in this retrospective cohort study.

The cohort study evaluated treatment outcomes by comparing BI & MI parameters in the same patients before and after the initiation of ofloxacin 400 mg once daily as an adjunct therapy. Each patients were given 400 mg once daily as an adjunct therapy.

Participants

Patients were included if they (1) were diagnosed with leprosy according to WHO criteria; (2) classified as borderline lepromatous (BL) leprosy or lepromatous form of leprosy (LL) based on Ridley-Jopling criteria10; (3) were adults aged ≥18 years at the start of leprosy treatment; and (4) received ofloxacin in addition to the standard multidrug therapy (MDT) regimen under these circumstances: (a) a high initial viable infection load, evidenced by a high MI from acid-fast staining of slit-skin smears; (b) persistently positive MI, typically after ≥6 months of standard MDT; (c) re-positivity of MI; and (d) relapse, diagnosed based on criteria by Linder et al.8,9 To prevent selection biases, patients were excluded if they (1) had missing initial AFB examination data or (2) did not return for follow-up acid-fast bacilli (AFB) examination at least once after three months of additional ofloxacin ( Figure 1).

2d0e9ec2-bae7-4941-b6b3-b73ecde33058_figure1.gif

Figure 1. Selection of participants for the study.

Procedures

Patient data were extracted from electronic patients records by authors on October 2024. Patient information related to demographic, clinical presentation, disability status based on WHO disability grading (grade 0 for no disability, grade 1 for loss of sensation but no visible deformity or damage, and grade 2 for visible deformity of damage present), treatment course, microbiology investigations particularly the results from slit-skin smear examination, and also treatment outcome were gathered.

At our center, slit-skin smear examinations are routinely performed from six sites (both earlobes and four lesions) every three months in patients with positive initial MI or in cases requiring close monitoring. Smears are processed using Ziehl-Neelsen staining and evaluated for bacterial and morphological indices by a trained technician, under the supervision of a clinical microbiologist. The BI represents the total number of bacilli, measured semi-quantitatively using the Ridley-Jopling logarithmic scale, while the morphological index is the percentage of solid-staining bacilli.

After commencing ofloxacin therapy, patients underwent follow up to do acid-fast bacilli (AFB) examination at least once after three months of addition of adjunct therapy. At each visit, dermatology resident performed clinical examination, including assessment for new lesions, nerve involvement and other clinical findings. Slit-skin smears were collected from standard sites to determine the BI and MI according to established procedures. Adverse event monitoring was integrated into patient follow-up: if no complaints related to the medication were reported, this was documented as “no adverse events”; otherwise, any observed or reported adverse events were recorded based on patient medical records.

Outcomes

The primary outcomes of this study are (1) change in Bacteriological Index (BI) as this measures the bacterial load in skin smears, and (2) change in Morphological Index (MI) for assesses the proportion of viable bacteria in the smears. The secondary outcome of this study is a proportion of patients achieving an MI of zero.

Statistical analysis

Statistical analyses were conducted using SPSS Statistics 26 (IBM Corp, Armonk, NY, USA). and visualized using GraphPad Prism 9.0 (GraphPad Software, Inc., San Diego, CA, USA). Spatial data was visualized using Google My Maps (Google LLC, Mountain View, CA, USA).

Subject characteristics were presented as frequency and percentage for categorical data, while numerical data were reported as mean and standard deviation. The non-parametric Friedman test was performed to compare MI and BI across AFB measurements, with post-hoc Dunn’s test applied to identify significant differences between time points and baseline value. BI across AFB measurements, with post-hoc Dunn’s test applied to identify significant differences between time points and baseline value.

Results

Sociodemographic and disease characteristics

Twenty-one patients met the eligibility criteria and were included in the analysis ( Table 1). The majority of the subjects were male (66.7%) and unemployed (42.9%). All patients resided in the Jakarta metropolitan area, with most domiciled in Jakarta province (57.2%) and the remainder in surrounding regions (Tangerang, Bogor, Depok, and Bekasi). According to the Ridley-Jopling classification, most patients (71.4%) had polar lepromatous (LL) leprosy, while the remaining patients had borderline lepromatous (BL) disease. Notably, one LL patient was diagnosed with histoid leprosy, and another had Lucio’s leprosy. In terms of disability, 11 patients (52.4%) had no disability, 3 patients (14.3%) had grade 1 disability, and 7 patients (33.3%) had grade 2 disability. Additionally, 6 patients (28.6%) had no history of reaction, while 14 patients (66.7%) experienced a type 2 reaction, 1 patient (4.8%) had a type 1 reaction, and 1 patient (4.8%) had Lucio’s phenomenon. Patients received WHO-MDT for a duration of 9 months (median; range 1–31 months) before starting combined therapy with ofloxacin.

Table 1. Sociodemographic and disease characteristics of the subjects.

Characteristics Values
Age35.3 ± 11.9
Sex
 Male14 (66.7%)
 Female7 (33.3%)
Occupation
 Unemployed9 (42.9%)
 Private-sector employee5 (23.8%)
 Student3 (14.3%)
 Self-employed 2 (9.5%)
 Others2 (9.5%)
Domicile
 Jakarta Special Capital Region12 (57.2%)
  Central Jakarta3 (14.3%)
  East Jakarta3 (14.3%)
  South Jakarta2 (9.5%)
  West Jakarta2 (9.5%)
  North Jakarta2 (9.5%)
 Tangerang3 (14.3%)
 Bogor3 (14.3%)
 Depok2 (9.5%)
 Bekasi1 (4.8%)
Ridley-Jopling classification
 Borderline lepromatous (BL)6 (28.6%)
 Polar lepromatous (LL)15 (71.4%)
Disability
 Grade 011 (52.4%)
 Grade 13 (14.3%)
 Grade 27 (33.3%)
Reaction/history of reaction
 None6 (28.6)
 Type 11 (4.8)
 Type 213 (61.9)
 Lucio’s phenomenon1 (4.8)

Morphological index (MI) clearance on MDT combined with ofloxacin

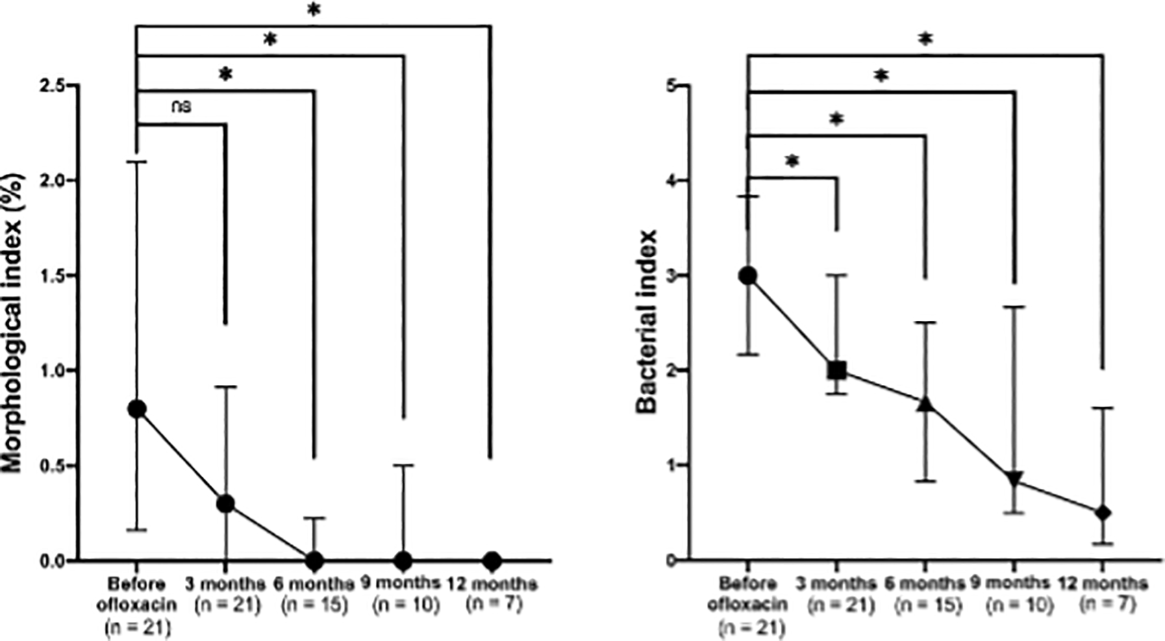
A significant reduction in the morphological index (MI) was observed after the addition of ofloxacin to the standard MDT regimen ( Figure 2, left). The median MI decreased to 0 after six months of ofloxacin treatment. Significant differences were noted across visits (p < 0.001), with post-hoc comparisons showing significant differences between baseline and six months (p = 0.003), nine months (p = 0.014), and 12 months (p = 0.008), but not at three months (p = 0.060).

2d0e9ec2-bae7-4941-b6b3-b73ecde33058_figure2.gif

Figure 2. Changes in absolute morphological (left) and bacterial (right) indices before and after ofloxacin addition.

Bacterial index (BI) clearance on MDT combined with ofloxacin

A consistent and significant reduction in the bacterial index (BI) was also observed following the addition of ofloxacin ( Figure 2, right). Significant differences were noted across visits (p = 0.007), with pairwise comparisons showing significant reductions in BI between baseline and three months (p = 0.039), six months (p = 0.003), nine months (p = 0.006), and 12 months (p = 0.004).

Proportion of patients achieving MI 0

There was a consistent increase in the proportion of patients achieving an MI to 0 following the addition of ofloxacin, demonstrating the treatment’s effectiveness in reducing viable bacterial load over time ( Figure 3).

2d0e9ec2-bae7-4941-b6b3-b73ecde33058_figure3.gif

Figure 3. Proportion of patients achieving absolute morphological index of 0 before and after the addition of ofloxacin.

Discussion

This study demonstrated a significant reduction in the morphological index (MI) following the addition of ofloxacin to the standard MDT, with the median MI reaching 0 by six months. This finding aligns with the known bactericidal effects of ofloxacin, a floroquinolone antibiotic that directly kills M. leprae rather than merely inhibiting its growth.11 Such rapid bacterial clearance not only improves clinical improvement but also reduces transmission.

Ofloxacin has proven effective in both paucibacillary (PB) and multibacillary (MB) leprosy, especially when combined with potent bactericidal agents like rifampicin and minocycline.12 Though the treatment duration remains similar to standard MDT, ofloxacin-added regimens may offer enhanced efficacy, particularly in lepromatous cases.13

In this study, the increasing proportion of patients achieving an MI of 0 further supports its effectiveness in reducing viable bacterial load. Similar findings were reported in non-endemic settings with high cure rate and tolerability.5 Studies of the rifampicin-ofloxacin-minocycline (ROM) combination reported 2-year cure rate ranging from 93.1% to 99%.14,15 A long-term follow-up trial also recorded relapse in only 1 of 58 patients over an average of 10.8 years.16

Another advantage of ofloxacin is its rapid action. It reduces BI more quickly than several other leprosy drugs, a feature valuable in severe or resistant cases of leprosy.17 In our study, MI fell significantly after its introduction, with the median value at 0 by six months. Statistical analysis confirmed significant differences across visits (p < 0.001), and post-hoc test demonstrating differences between baseline and six months (p = 0.003), nine months (p = 0.014), and 12 months (p = 0.008). Previous studies also report rapid MI decline and >99.99% bacterial killing by day 28 with daily ofloxain in lepromatous patients,18 while another study found no bacterial regrowth even 18 months later.19 Compared to WHO MDT, ROM achieved greater MI reduction (94.83% vs 79.97%).20 In our data, BI also decreased significantly (p = 0.007), with differences at three (p = 0.039), six (p = 0.003), nine (p = 0.006), and 12 months (p = 0.004). These findings emphasize the importance of early ofloxacin addition in cases with high bacterial loads, reducing relapse risk.7

Early use of ofloxacin may also shorten treatment, support adherence, and lower discontinuation. In our cohort, WHO MDT had been administered for a median of nine months (range 1–31) before ofloxacin was introduced. However, such delays may not be necessary; earlier initiation in patients with high MI and BI could be more beneficial.

Resistance prevention is another advantage. Combined with rifampicin, clofazimine and dapsone, ofloxacin broadens coverage, lowers resistance risk, and improves tolerability – ROM regimens have shown better adherence than MDT-WHO.20,21 Its utility is especially important in MB cases with high bacterial load.22 Both ofloxacin and minocycline demonstrate stronger bactericidal activity than dapsone and clofazimine in both animal and human studies,23 making them crucial options in cases like dapsone hypersensitivity syndrome (DHS).24 Effective bacterial clearance in these contexts is critical, as high BI is a risk factor for grade 2 disability.25

Ofloxacin has been used as an alternative when standard drugs fail.5 As leprosy becomes concentrated in certain regions, access to newer antibiotics like ofloxacin will be increasingly important for preventing complications and disabilities.20

This is the first Indonesian study evaluating ofloxacin as an adjunct to WHO MDT in lepromatous leprosy. Its use is recommended in cases with: (1) a high initial MI; (2) persistently positive MI, typically after ≥6 months of MDT; (3) re-positivity of MI; and (4) relapse, diagnosed based on criteria by Linder et al.8 In Indonesia, ofloxacin is the only second-line drug for leprosy covered by the national health insurance, limited to referral hospital and for one week’s use. Patient must either self-fund or return weekly to continue therapy, highlighting the need for better access and policy reform, particularly in rural areas.

We acknowledge that this study has limitations. Firstly, being a being a retrospective study, it inherently carries the potential for biases that are simply part of this design. This also meant that some aspects, such as comprehensive patient follow-up data and a systematic evaluation of drug tolerance and adverse reactions, were challenging to capture adequately from existing records. Secondly, the absence of a concurrent control group receiving standard multi-drug therapy (MDT) without ofloxacin restricts direct comparative analysis of bacteriological and morphological indices. This design choice was influenced by ethical considerations at our national referral center, which primarily manages challenging cases. Thirdly, as a single-center study, the generalizability of our findings may be limited to other populations or healthcare settings. Despite these limitations, we believe that our findings could be a preliminary data for the future randomized control trial study with larger sample size to evaluate the efficacy of ofloxacin in lepromatous form of leprosy thoroughly.

Conclusion

The addition of ofloxacin to the standard WHO MDT regimen in lepromatous leprosy resulted in a significant and consistent reduction in the morphological index (MI) and bacterial index (BI), with the median MI reaching 0 after six months of treatment. These findings support the potent bactericidal activity of ofloxacin and its potential to accelerate bacterial clearance, enhance clinical outcomes, and reduce transmission and relapse risk.

Ethics and consent

The study protocol was reviewed and approved by the Ethics Committee of the Faculty of Medicine, Universitas Indonesia – Dr. Cipto Mangunkusumo Hospital (Komite Etik Penelitian Kesehatan Fakultas Kedokteran Universitas Indonesia – RSUPN Dr. Cipto Mangunkusumo).

The approval date was December 8, 2024, valid for one year from the date of approval. The protocol number assigned to this study is KET-1769/UN2.F1/ETIK/PPM.00.02/2024. As this research involved retrospective secondary data extracted from medical records, no direct patient contact was required. Consequently, the need for individual informed consent specific to this study was waived by the Ethics Committee. However, all patients at Dr. Cipto Mangunkusumo Hospital provide general consent for treatment and the use of their data for research purposes upon admission, with strict adherence to anonymity, and in accordance with all relevant regulations and ethical standards.

Contributors

MHP: Conceptualisation, data curation, methodology, statistical analysis, visualisation, writing (original draft and revisions)

MSY: Data curation, methodology, statistical analysis, visualisation, writing (original draft and revisions)

SLM: Conceptualisation, data curation, methodology, writing (original draft and revisions)

EJN: Conceptualisation, data curation, methodology, writing (original draft and revisions)

MM: Conceptualisation, data curation, methodology, writing (original draft and revisions)

Comments on this article Comments (0)

Version 4
VERSION 4 PUBLISHED 03 Mar 2025
Comment
Author details Author details
Competing interests
Grant information
Copyright
Download
 
Export To
metrics
Views Downloads
F1000Research - -
PubMed Central
Data from PMC are received and updated monthly.
- -
Citations
CITE
how to cite this article
Priyanto MH, Yunifananda MS, Menaldi SLS et al. Optimizing treatment of lepromatous form of leprosy using ofloxacin on top of standard multi-drug therapy in National Referral Hospital, Jakarta, Indonesia [version 4; peer review: 2 approved, 3 approved with reservations, 1 not approved]. F1000Research 2025, 14:252 (https://doi.org/10.12688/f1000research.161758.4)
NOTE: If applicable, it is important to ensure the information in square brackets after the title is included in all citations of this article.
track
receive updates on this article
Track an article to receive email alerts on any updates to this article.

Open Peer Review

Current Reviewer Status: ?
Key to Reviewer Statuses VIEW
ApprovedThe paper is scientifically sound in its current form and only minor, if any, improvements are suggested
Approved with reservations A number of small changes, sometimes more significant revisions are required to address specific details and improve the papers academic merit.
Not approvedFundamental flaws in the paper seriously undermine the findings and conclusions
Version 4
VERSION 4
PUBLISHED 03 Oct 2025
Revised
Views
3
Cite
Reviewer Report 20 Nov 2025
Hongsheng Wang, Nanjing Medical University, Nanjing, China 
Approved with Reservations
VIEWS 3
It is recommended to classify the treatment outcomes of patients according to the following baseline conditions:
“(a) a high initial viable infection load, evidenced by a high MI from acid-fast staining of slit-skin smears; (b) persistently positive MI, ... Continue reading
CITE
CITE
HOW TO CITE THIS REPORT
Wang H. Reviewer Report For: Optimizing treatment of lepromatous form of leprosy using ofloxacin on top of standard multi-drug therapy in National Referral Hospital, Jakarta, Indonesia [version 4; peer review: 2 approved, 3 approved with reservations, 1 not approved]. F1000Research 2025, 14:252 (https://doi.org/10.5256/f1000research.188786.r421048)
NOTE: it is important to ensure the information in square brackets after the title is included in all citations of this article.
Views
10
Cite
Reviewer Report 25 Oct 2025
Bruno de Carvalho Dornelas, Federal University of Uberlândia,, Uberlândia,, Brazil 
Approved with Reservations
VIEWS 10
This study, a single-center retrospective cohort analysis, investigates the efficacy of adding ofloxacin (400 mg once daily) to the standard WHO Multi-Drug Therapy (MDT) regimen for patients diagnosed with lepromatous (LL) or borderline lepromatous (BL) leprosy (N=21). The primary objective ... Continue reading
CITE
CITE
HOW TO CITE THIS REPORT
Carvalho Dornelas Bd. Reviewer Report For: Optimizing treatment of lepromatous form of leprosy using ofloxacin on top of standard multi-drug therapy in National Referral Hospital, Jakarta, Indonesia [version 4; peer review: 2 approved, 3 approved with reservations, 1 not approved]. F1000Research 2025, 14:252 (https://doi.org/10.5256/f1000research.188786.r421040)
NOTE: it is important to ensure the information in square brackets after the title is included in all citations of this article.
Views
5
Cite
Reviewer Report 25 Oct 2025
Isadora Costa Celestino, Federal University of Uberlândia, Uberlândia, Brazil 
Approved
VIEWS 5
I believe the study was conducted appropriately, considering its design, and that important points regarding the efficacy of ofloxacin combined with MDT were discussed, particularly the report of a decrease in BI and MI over time. However, I would like ... Continue reading
CITE
CITE
HOW TO CITE THIS REPORT
Celestino IC. Reviewer Report For: Optimizing treatment of lepromatous form of leprosy using ofloxacin on top of standard multi-drug therapy in National Referral Hospital, Jakarta, Indonesia [version 4; peer review: 2 approved, 3 approved with reservations, 1 not approved]. F1000Research 2025, 14:252 (https://doi.org/10.5256/f1000research.188786.r421045)
NOTE: it is important to ensure the information in square brackets after the title is included in all citations of this article.
Version 3
VERSION 3
PUBLISHED 06 Aug 2025
Revised
Views
9
Cite
Reviewer Report 03 Sep 2025
Fifa Argentina, Universitas Sriwijaya, Palembang, South Sumatra, Indonesia 
Approved
VIEWS 9
The study highlights ofloxacin’s potential to accelerate bacteriological clearance in lepromatous leprosy, but methodological issues limit its strength. Lack of a control group, retrospective single-center design, and substantial missing follow-up reduce generalizability. Discussion remains repetitive, adverse event monitoring was ... Continue reading
CITE
CITE
HOW TO CITE THIS REPORT
Argentina F. Reviewer Report For: Optimizing treatment of lepromatous form of leprosy using ofloxacin on top of standard multi-drug therapy in National Referral Hospital, Jakarta, Indonesia [version 4; peer review: 2 approved, 3 approved with reservations, 1 not approved]. F1000Research 2025, 14:252 (https://doi.org/10.5256/f1000research.186135.r407739)
NOTE: it is important to ensure the information in square brackets after the title is included in all citations of this article.
  • Author Response 03 Oct 2025
    Mufqi Handaru Priyanto, Universitas Indonesia Hospital, Depok, Indonesia
    03 Oct 2025
    Author Response
    We thank the reviewer for the constructive comments. Concerning the absence of a control group and the retrospective single-center design, we acknowledge that this limits the generalizability of the findings; ... Continue reading
COMMENTS ON THIS REPORT
  • Author Response 03 Oct 2025
    Mufqi Handaru Priyanto, Universitas Indonesia Hospital, Depok, Indonesia
    03 Oct 2025
    Author Response
    We thank the reviewer for the constructive comments. Concerning the absence of a control group and the retrospective single-center design, we acknowledge that this limits the generalizability of the findings; ... Continue reading
Version 2
VERSION 2
PUBLISHED 28 Apr 2025
Revised
Views
34
Cite
Reviewer Report 13 Jun 2025
Brandon L Adler, Department of Dermatology, Keck School of Medicine, University of Southern California, Los Angeles, California, USA 
Not Approved
VIEWS 34
Thank you for this study evaluating the impact of addition of ofloxacin to MDT for lepromatous leprosy, conducted in a single center.

“At our center, slit-skin smear examinations are routinely performed from six sites (both earlobes and ... Continue reading
CITE
CITE
HOW TO CITE THIS REPORT
Adler BL. Reviewer Report For: Optimizing treatment of lepromatous form of leprosy using ofloxacin on top of standard multi-drug therapy in National Referral Hospital, Jakarta, Indonesia [version 4; peer review: 2 approved, 3 approved with reservations, 1 not approved]. F1000Research 2025, 14:252 (https://doi.org/10.5256/f1000research.180812.r384857)
NOTE: it is important to ensure the information in square brackets after the title is included in all citations of this article.
  • Author Response 18 Aug 2025
    Mufqi Handaru Priyanto, Department of Dermatology and Venereology, Faculty of Medicine, Universitas Indonesia, Depok, Indonesia
    18 Aug 2025
    Author Response
    Thank you for this study evaluating the impact of addition of ofloxacin to MDT for lepromatous leprosy, conducted in a single center.
     
    1. “At our center, slit-skin smear
    ... Continue reading
COMMENTS ON THIS REPORT
  • Author Response 18 Aug 2025
    Mufqi Handaru Priyanto, Department of Dermatology and Venereology, Faculty of Medicine, Universitas Indonesia, Depok, Indonesia
    18 Aug 2025
    Author Response
    Thank you for this study evaluating the impact of addition of ofloxacin to MDT for lepromatous leprosy, conducted in a single center.
     
    1. “At our center, slit-skin smear
    ... Continue reading
Version 1
VERSION 1
PUBLISHED 03 Mar 2025
Views
47
Cite
Reviewer Report 02 Apr 2025
Maria T Ochoa, Department of Dermatology, Keck School of Medicine, University of Southern California, Los Angeles, Southern California, USA 
Approved with Reservations
VIEWS 47
The work done by Priyanto al is interesting and in my opinion the article adds new insights into the treatment of leprosy in Indonesia
The article needs improvements in the methods, results and discussion.
- The authors should ... Continue reading
CITE
CITE
HOW TO CITE THIS REPORT
Ochoa MT. Reviewer Report For: Optimizing treatment of lepromatous form of leprosy using ofloxacin on top of standard multi-drug therapy in National Referral Hospital, Jakarta, Indonesia [version 4; peer review: 2 approved, 3 approved with reservations, 1 not approved]. F1000Research 2025, 14:252 (https://doi.org/10.5256/f1000research.177837.r369473)
NOTE: it is important to ensure the information in square brackets after the title is included in all citations of this article.
  • Author Response 18 Apr 2025
    Mufqi Handaru Priyanto, Department of Dermatology and Venereology, Faculty of Medicine, Universitas Indonesia, Depok, Indonesia
    18 Apr 2025
    Author Response
    We sincerely appreciate the reviewer’s constructive feedback on our manuscript. Below, we address each of the points raised:

    1. Regarding the suggestion to include a cohort treated without ofloxacin:
    ... Continue reading
COMMENTS ON THIS REPORT
  • Author Response 18 Apr 2025
    Mufqi Handaru Priyanto, Department of Dermatology and Venereology, Faculty of Medicine, Universitas Indonesia, Depok, Indonesia
    18 Apr 2025
    Author Response
    We sincerely appreciate the reviewer’s constructive feedback on our manuscript. Below, we address each of the points raised:

    1. Regarding the suggestion to include a cohort treated without ofloxacin:
    ... Continue reading

Comments on this article Comments (0)

Version 4
VERSION 4 PUBLISHED 03 Mar 2025
Comment
Alongside their report, reviewers assign a status to the article:
Approved - the paper is scientifically sound in its current form and only minor, if any, improvements are suggested
Approved with reservations - A number of small changes, sometimes more significant revisions are required to address specific details and improve the papers academic merit.
Not approved - fundamental flaws in the paper seriously undermine the findings and conclusions
Sign In
If you've forgotten your password, please enter your email address below and we'll send you instructions on how to reset your password.

The email address should be the one you originally registered with F1000.

Email address not valid, please try again

You registered with F1000 via Google, so we cannot reset your password.

To sign in, please click here.

If you still need help with your Google account password, please click here.

You registered with F1000 via Facebook, so we cannot reset your password.

To sign in, please click here.

If you still need help with your Facebook account password, please click here.

Code not correct, please try again
Email us for further assistance.
Server error, please try again.