ALL Metrics
-
Views
-
Downloads
Get PDF
Get XML
Cite
Export
Track
Research Article
Revised

Optimizing treatment of lepromatous form of leprosy using ofloxacin on top of standard multi-drug therapy in National Referral Hospital, Jakarta, Indonesia

[version 2; peer review: 1 approved with reservations, 1 not approved]
PUBLISHED 28 Apr 2025
Author details Author details
OPEN PEER REVIEW
REVIEWER STATUS

This article is included in the Pathogens gateway.

Abstract

Background

Standard multi-drug therapy (MDT) with duration of 6-12 months is generally effective for treating leprosy. However, in cases of lepromatous (LL) and borderline lepromatous (BL) patients with high bacterial loads and complicated circumtances, prolonged duration treatment is more often observed. As prolonged duration may affect patient adherence negatively, adding ofloxacin to MDT is a promising approach to prevent prolonged treatment.

Method

This retrospective cohort study investigated the effects of adding ofloxacin to MDT in 21 patients diagnosed with LL or BL leprosy at Cipto Mangunkusumo National Referral Hospital, Jakarta, Indonesia. Bacterial load and viability were tracked using the Bacteriological Index (BI) and Morphological Index (MI), and were compared using non-parametric Friedman test before and after the patients were given ofloxacin.

Findings

Adding ofloxacin to MDT led to a significant reductions in both BI and MI. The median MI dropped to zero after six months of combined treatment (p<0.001), with significant differences between baseline and 6, 9, and 12-months. BI also significantly declined (p=0.007), with significant reductions between baseline and 3, 6, 9, and 12-month assessments. The proportion of patients reaching an MI of zero also steadily increased.

Interpretation

Ofloxacin as an adjunctive therapy to MDT substantially improves treatment of leprosy with high bacterial and morphological index. Faster bacterial clearance prevent prolonged treatment duration, potentially improving adherence, outcomes and reducing relapse risk. Ofloxacin is the only second-line leprosy treatment covered by the national health insurance in Indonesia. Earlier initiation of this adjunctive therapy may offer greater benefits.

Keywords

Lepromatous Leprosy; Ofloxacin; Multi-Drug Therapy (MDT); Bacteriological Index (BI); Morphological Index (MI); Leprosy Treatment Optimization; Indonesia

Revised Amendments from Version 1

We have now included a description of the dose of ofloxacin along with its commonly reported side effects on the method section. Also, we have revised the discussion section to make it more concise.

See the authors' detailed response to the review by Maria T Ochoa
See the authors' detailed response to the review by Fifa Argentina
See the authors' detailed response to the review by Brandon L Adler

Introduction

Despite global efforts to eliminate Leprosy, Indonesia continues to be a country with a high prevalence of the disease, with 17,251 cases reported by the Indonesian Ministry of Health in 2023. The World Health Organization (WHO) recognizes Indonesia as having one of the highest leprosy burden worldwide.1 In 2024, a total of 413 leprosy cases have been registered at Dr. Cipto Mangunkusumo National Hospital.2 The more severe and contagious form of leprosy – lepromatous leprosy (LL) and borderline lepromatous leprosy (BL) – are especially concerning due to their high bacterial loads and may lead to significant morbidity if not properly treated.3 Since 1981, multi-drug therapy (MDT) combining rifampicin, dapsone, and clofazimine by the World Health Organization (WHO) has been used as the standard treatment for leprosy.4

While MDT is effective, its use alone can lead to prolonged treatment durations, particularly in patients with high bacterial loads, which may contribute to poor adherence. Adding medication to the current regimen could be considered to improve patient’s adherence.5 Recently, more studies have analyzed the potential of additional antibacterial agents in enhancing the efficacy of MDT for leprosy cases. Ofloxacin, a fluoroquinolone with strong activity against M. leprae, has shown promise when added to standard MDT. One study highlighted the potential benefits of using ofloxacin in leprosy treatment, noting that it is well tolerated and achieves similar bacterial clearance, even when ofloxacin is only administered during the first month.6 A retrospective study further demonstrated that patients receiving MDT combined with ofloxacin showed good adherence, as no adherence failures was identified among subjects receiving ofloxacin. Additionally, the combination therapy was associated with a lower relapse rate and improved long-term outcomes, supporting its use as a promising option for treating severe leprosy cases.5

The evaluation of leprosy treatment is typically followed up using two key bacteriological indices: the Bacterial Index (BI), which measures the overall bacterial load in skin smears, and the Morphological Index (MI), which assesses the proportion of viable (solid) bacilli, which depicts treatment efficacy. A significant reduction in both indices over time reflects successful bacterial clearance and a reduced risk of disease transmission and relapse.7

Certainly, there are specific considerations that should be given while adding ofloxacin to standard MDT treatment, such as: initial high viable infection load that is indicated by a high MI from acid-fast staining of slit-skin smears, persistently positive MI after at least six months therapy of standard MDT,8 or relapse, diagnosed based on criteria by Linder et al.9

With above mentioned findings, this study aims to analyse the efficacy of MDT combined with ofloxacin in patients with lepromatous form of leprosy (BL and LL). By assessing the reduction in BI and MI during the course of treatment regimens, the study seeks to determine whether adding ofloxacin enhances MDT’s bacteriological outcomes, leading to faster bacterial clearance and improved patient outcomes. This is particularly important for patients with lepromatous form of leprosy, where the bacterial load is high and conventional MDT may take longer time than standard duration of multibacillary (MB) therapy to achieve bacteriological cure.

Methods

Study design

Between 2020 and 2024, all medical records of eligible patients with lepromatous form leprosy treated at the Dermatology and Venereology Clinic, Dr. Cipto Mangunkusumo National Hospital, Jakarta, Indonesia, were examined in this retrospective cohort study.

The cohort study evaluated treatment outcomes by comparing BI & MI parameters in the same patients before and after the initiation of ofloxacin 400 mg once daily as an adjunct therapy. Each patients were given 400 mg once daily as an adjunct therapy. The most common adverse effect of this drug is tendinopathy, and there may be hypersensitivity reactions, central nervous system adverse drug reactions, peripheral neuropathy, though uncommon.10

Participants

Patients were included if they (1) were diagnosed with leprosy according to WHO criteria; (2) classified as borderline lepromatous (BL) leprosy or lepromatous form of leprosy (LL) based on Ridley-Jopling criteria10; (3) were adults aged ≥18 years at the start of leprosy treatment; and (4) received ofloxacin in addition to the standard multidrug therapy (MDT) regimen under these circumstances: (a) a high initial viable infection load, evidenced by a high MI from acid-fast staining of slit-skin smears; (b) persistently positive MI, typically after ≥6 months of standard MDT; (c) re-positivity of MI; and (d) relapse, diagnosed based on criteria by Linder et al.8,9 To prevent selection biases, patients were excluded if they (1) had missing initial AFB examination data or (2) did not return for follow-up acid-fast bacilli (AFB) examination at least once after three months of additional ofloxacin ( Figure 1).

97dfa0d0-e2df-4ff8-971c-d1123d3f7621_figure1.gif

Figure 1. Selection of participants for the study.

Procedures

Patient data were extracted from electronic patients records by authors on October 2024. Patient information related to demographic, clinical presentation, disability status based on WHO disability grading (grade 0 for no disability, grade 1 for loss of sensation but no visible deformity or damage, and grade 2 for visible deformity of damage present), treatment course, microbiology investigations particularly the results from slit-skin smear examination, and also treatment outcome were gathered.

At our center, slit-skin smear examinations are routinely performed from six sites (both earlobes and four lesions) every three months in patients with positive initial MI or in cases requiring close monitoring. Smears are processed using Ziehl-Neelsen staining and evaluated for bacterial and morphological indices by a trained technician, under the supervision of a clinical microbiologist. The BI represents the total number of bacilli, measured semi-quantitatively using the Ridley-Jopling logarithmic scale, while the morphological index is the percentage of solid-staining bacilli.

After commencing ofloxacin therapy, patients underwent follow up to do acid-fast bacilli (AFB) examination at least once after three months of addition of adjunct therapy. At each visit, dermatology resident performed clinical examination, including assessment for new lesions, nerve involvement and other clinical findings. Slit-skin smears were collected from standard sites to determine the BI and MI according to established procedures.

Outcomes

The primary outcomes of this study are (1) change in Bacteriological Index (BI) as this measures the bacterial load in skin smears, and (2) change in Morphological Index (MI) for assesses the proportion of viable bacteria in the smears. The secondary outcome of this study is a proportion of patients achieving an MI of zero.

Statistical analysis

Statistical analyses were conducted using SPSS Statistics 26 (IBM Corp, Armonk, NY, USA). and visualized using GraphPad Prism 9.0 (GraphPad Software, Inc., San Diego, CA, USA). Spatial data was visualized using Google My Maps (Google LLC, Mountain View, CA, USA).

Subject characteristics were presented as frequency and percentage for categorical data, while numerical data were reported as mean and standard deviation. The non-parametric Friedman test was performed to compare MI and BI across AFB measurements, with post-hoc Dunn’s test applied to identify significant differences between time points and baseline value. BI across AFB measurements, with post-hoc Dunn’s test applied to identify significant differences between time points and baseline value.

Results

Sociodemographic and disease characteristics

Twenty-one patients met the eligibility criteria and were included in the analysis ( Table 1). The majority of the subjects were male (66.7%) and unemployed (42.9%). All patients resided in the Jakarta metropolitan area, with most domiciled in Jakarta province (57.2%) and the remainder in surrounding regions (Tangerang, Bogor, Depok, and Bekasi) ( Figure 2). According to the Ridley-Jopling classification, most patients (71.4%) had polar lepromatous (LL) leprosy, while the remaining patients had borderline lepromatous (BL) disease. Notably, one LL patient was diagnosed with histoid leprosy, and another had Lucio’s leprosy. In terms of disability, 11 patients (52.4%) had no disability, 3 patients (14.3%) had grade 1 disability, and 7 patients (33.3%) had grade 2 disability. Additionally, 6 patients (28.6%) had no history of reaction, while 14 patients (66.7%) experienced a type 2 reaction, 1 patient (4.8%) had a type 1 reaction, and 1 patient (4.8%) had Lucio’s phenomenon. Patients received WHO-MDT for a duration of 9 months (median; range 1–31 months) before starting combined therapy with ofloxacin.

Table 1. Sociodemographic and disease characteristics of the subjects.

Characteristics Values
Age35.3 ± 11.9
Sex
 Male14 (66.7%)
 Female7 (33.3%)
Occupation
 Unemployed9 (42.9%)
 Private-sector employee5 (23.8%)
 Student3 (14.3%)
 Self-employed 2 (9.5%)
 Others2 (9.5%)
Domicile
 Jakarta Special Capital Region12 (57.2%)
  Central Jakarta3 (14.3%)
  East Jakarta3 (14.3%)
  South Jakarta2 (9.5%)
  West Jakarta2 (9.5%)
  North Jakarta2 (9.5%)
 Tangerang3 (14.3%)
 Bogor3 (14.3%)
 Depok2 (9.5%)
 Bekasi1 (4.8%)
Ridley-Jopling classification
 Borderline lepromatous (BL)6 (28.6%)
 Polar lepromatous (LL)15 (71.4%)
Disability
 Grade 011 (52.4%)
 Grade 13 (14.3%)
 Grade 27 (33.3%)
Reaction/history of reaction
 None6 (28.6)
 Type 11 (4.8)
 Type 213 (61.9)
 Lucio’s phenomenon1 (4.8)
97dfa0d0-e2df-4ff8-971c-d1123d3f7621_figure2.gif

Figure 2. Patients’ domicile.

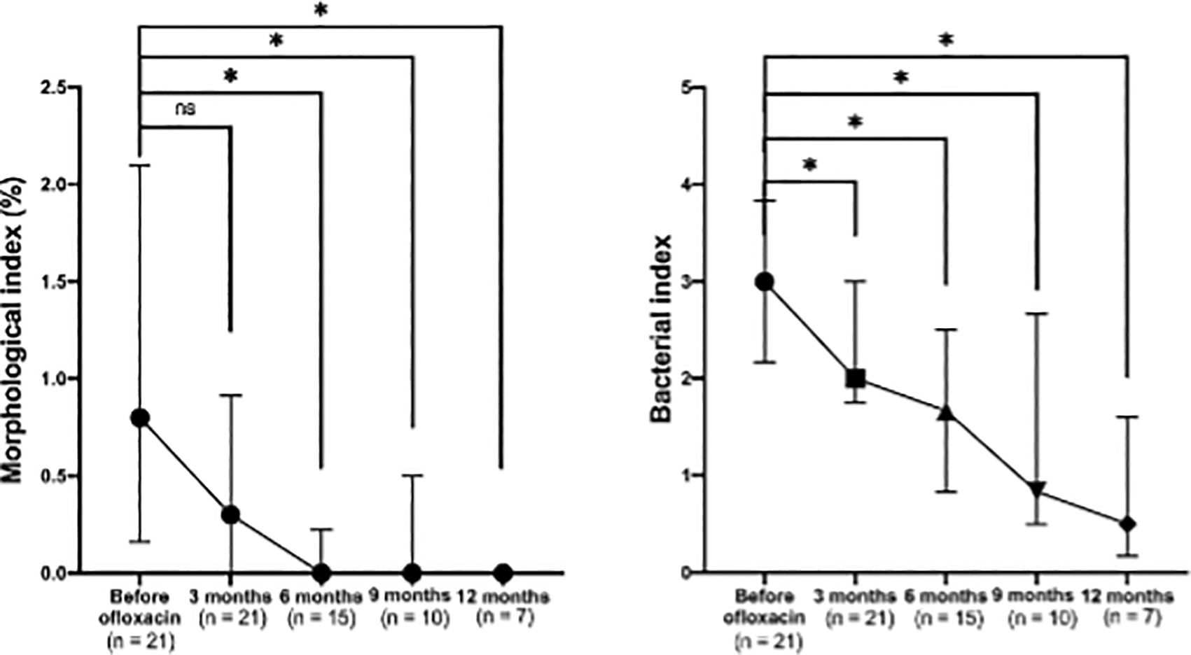
Morphological index (MI) clearance on MDT combined with ofloxacin

A significant reduction in the morphological index (MI) was observed after the addition of ofloxacin to the standard MDT regimen ( Figure 3, left). The median MI decreased to 0 after six months of ofloxacin treatment. Significant differences were noted across visits (p < 0.001), with post-hoc comparisons showing significant differences between baseline and six months (p = 0.003), nine months (p = 0.014), and 12 months (p = 0.008), but not at three months (p = 0.060).

97dfa0d0-e2df-4ff8-971c-d1123d3f7621_figure3.gif

Figure 3. Changes in absolute morphological (left) and bacterial (right) indices before and after ofloxacin addition.

Bacterial index (BI) clearance on MDT combined with ofloxacin

A consistent and significant reduction in the bacterial index (BI) was also observed following the addition of ofloxacin ( Figure 3, right). Significant differences were noted across visits (p = 0.007), with pairwise comparisons showing significant reductions in BI between baseline and three months (p = 0.039), six months (p = 0.003), nine months (p = 0.006), and 12 months (p = 0.004).

Proportion of patients achieving MI 0

There was a consistent increase in the proportion of patients achieving an MI to 0 following the addition of ofloxacin, demonstrating the treatment’s effectiveness in reducing viable bacterial load over time ( Figure 4).

97dfa0d0-e2df-4ff8-971c-d1123d3f7621_figure4.gif

Figure 4. Proportion of patients achieving absolute morphological index of 0 before and after the addition of ofloxacin.

Discussion

This study demonstrated a significant reduction in the morphological index (MI) following the addition of ofloxacin to the standard MDT regimen, and the median MI also decreased to 0 after six months of ofloxacin treatment. This finding aligns with the known bactericidal effects of ofloxacin, a floroquinolone antibiotic that directly kills the bacteria responsible for leprosy rather than merely inhibiting its growth.11 This characteristic accelerates bacterial clearance and contributes to faster clinical improvement and reduces transmission.

Ofloxacin has proven effective in both paucibacillary (PB) and multibacillary (MB) leprosy, especially when combined with potent bactericidal agents like rifampicin and minocycline.12 Though the treatment duration remains similar to standard MDT, ofloxacin-added regimens may offer enhanced efficacy, particularly in lepromatous cases.13

The cure rate in this study showed a consistent increase in patients achieving an MI of 0, demonstrating the effectiveness of ofloxacin in reducing viable bacterial load. This result is similar to other study evaluating OMDT in non-endemic area that showed a high cure rate and tolerability.5 Additionally, studies combining ofloxacin with rifampicin and minocycline reported 2-year cure ranging from 93.1% to 99%.14,15 A long-term follow-up trial also recorded relapse in only 1 of 58 patients over an average of 10.8 years.16

Another advantage of ofloxacin is its rapid action compared to some other drugs traditionally used in leprosy treatment. Studies have shown that it can quickly reduce the BI, which can be crucial in treating severe or resistant cases of leprosy.17 Our study observed significant MI reduction following its addition, with the median MI reaching 0 after six months. Statistical analysis confirmed significant differences across visits (p < 0.001), with post-hoc comparisons showing significant differences between baseline and six months (p = 0.003), nine months (p = 0.014), and 12 months (p = 0.008). Previous studies support this, showing daily ofloxacin in lepromatous patients were experiencing rapid MI decline and >99.99% bacterial killing by day 28.18 Another study found no resumption of bacterial growth even 18 months post-treatment.19 Compared to WHO MDT, MI reduction was more significant with ROM (rifampicin, ofloxacin and minocycline) regimen: 79.97% of WHO MDT and 94.83% of ROM.20 In addition to MI, our study also found significant reductions in the bacterial index (BI) across visits (p = 0.007), with pairwise differences noted at three (p = 0.039), six (p = 0.003), nine (p = 0.006), and 12 months (p = 0.004). These findings emphasize the importance of early ofloxacin addition in cases with high bacterial loads, enhancing bacterial clearance and reducing relapse risk.7

Early use of ofloxacin, especially under the right clinical criteria, may shorten treatment, boost adherence, and reduce discontinuation. In our cohort, WHO MDT had been administered for a median of nine months (range 1–31) before ofloxacin was introduced. However, waiting this long may not be necessary—patients with high MI and BI may benefit from earlier ofloxacin initiation.

Ofloxacin also contributes to resistance prevention when combined with other antibiotics such as rifampicin, clofazimine, and dapsone, as it offers broader coverage and improves outcomes while reducing resistance risk.21 Notably, studies have shown that ROM regimens are better tolerated than MDT-WHO, improving adherence.20

Its utility is especially crucial in MB leprosy with higher MI and bacterial load.22 Ofloxacin and minocycline have shown stronger bactericidal effects than dapsone and clofazimine in both animal models and clinical trial.23 This is vital in special cases like dapsone hypersensitivity syndrome (DHS).24 Effective bacterial clearance in such cases is crucial, given that high BI is a known risk factor for grade 2 disability.25

Finally, in cases of drug-resistant leprosy, ofloxacin has been used as an alternative when standard drugs fail.5 As leprosy cases become increasingly concentrated in specific regions, newer antibiotics like ofloxacin will play an increasing role in global leprosy control, preventing complications and disabilities.20

This is the first Indonesian study evaluating ofloxacin’s addition to WHO MDT in lepromatous leprosy. Its use is recommended in cases with: (1) a high initial MI; (2) persistently positive MI, typically after ≥6 months of MDT; (3) re-positivity of MI; and (4) relapse, diagnosed based on criteria by Linder et al.8 In Indonesia, ofloxacin is the only second-line drug for leprosy covered by the national health insurance, limited to referral hospital and for one week’s use. Patient must either self-fund or return weekly to continue therapy, highlighting the need for improved access and policy reform, especially for those in rural areas.

We acknowledge that this study was conducted retrospectively and has limitations, including potential for biases to inherent to this design. Additionally, the safety and drug tolerance profile regarding ofloxacin may not have been adequately captured due to limited documentation in these records. Despite these limitations, we believe that our findings could be a preliminary data for the future randomized control trial study with larger sample size to evaluate the efficacy of ofloxacin in lepromatous form of leprosy thoroughly.

Conclusion

The addition of ofloxacin to the standard WHO MDT regimen in lepromatous leprosy resulted in a significant and consistent reduction in the morphological index (MI) and bacterial index (BI), with the median MI reaching 0 after six months of treatment. These findings support the potent bactericidal activity of ofloxacin and its potential to accelerate bacterial clearance, enhance clinical outcomes, and reduce transmission and relapse risk.

Ethics and consent

The study protocol was reviewed and approved by the Ethics Committee of the Faculty of Medicine, Universitas Indonesia – Dr. Cipto Mangunkusumo Hospital (Komite Etik Penelitian Kesehatan Fakultas Kedokteran Universitas Indonesia – RSUPN Dr. Cipto Mangunkusumo).

The approval date was December 8, 2024, valid for one year from the date of approval. The protocol number assigned to this study is KET-1769/UN2.F1/ETIK/PPM.00.02/2024. As this research involved retrospective secondary data extracted from medical records, no direct patient contact was required. Consequently, the need for individual informed consent specific to this study was waived by the Ethics Committee. However, all patients at Dr. Cipto Mangunkusumo Hospital provide general consent for treatment and the use of their data for research purposes upon admission, with strict adherence to anonymity, and in accordance with all relevant regulations and ethical standards.

Contributors

MHP: Conceptualisation, data curation, methodology, statistical analysis, visualisation, writing (original draft and revisions)

MSY: Data curation, methodology, statistical analysis, visualisation, writing (original draft and revisions)

SLM: Conceptualisation, data curation, methodology, writing (original draft and revisions)

EJN: Conceptualisation, data curation, methodology, writing (original draft and revisions)

MM: Conceptualisation, data curation, methodology, writing (original draft and revisions)

Comments on this article Comments (0)

Version 4
VERSION 4 PUBLISHED 03 Mar 2025
Comment
Author details Author details
Competing interests
Grant information
Copyright
Download
 
Export To
metrics
Views Downloads
F1000Research - -
PubMed Central
Data from PMC are received and updated monthly.
- -
Citations
CITE
how to cite this article
Priyanto MH, Yunifananda MS, Menaldi SLS et al. Optimizing treatment of lepromatous form of leprosy using ofloxacin on top of standard multi-drug therapy in National Referral Hospital, Jakarta, Indonesia [version 2; peer review: 1 approved with reservations, 1 not approved]. F1000Research 2025, 14:252 (https://doi.org/10.12688/f1000research.161758.2)
NOTE: If applicable, it is important to ensure the information in square brackets after the title is included in all citations of this article.
track
receive updates on this article
Track an article to receive email alerts on any updates to this article.

Open Peer Review

Current Reviewer Status: ?
Key to Reviewer Statuses VIEW
ApprovedThe paper is scientifically sound in its current form and only minor, if any, improvements are suggested
Approved with reservations A number of small changes, sometimes more significant revisions are required to address specific details and improve the papers academic merit.
Not approvedFundamental flaws in the paper seriously undermine the findings and conclusions
Version 2
VERSION 2
PUBLISHED 28 Apr 2025
Revised
Views
34
Cite
Reviewer Report 13 Jun 2025
Brandon L Adler, Department of Dermatology, Keck School of Medicine, University of Southern California, Los Angeles, California, USA 
Not Approved
VIEWS 34
Thank you for this study evaluating the impact of addition of ofloxacin to MDT for lepromatous leprosy, conducted in a single center.

“At our center, slit-skin smear examinations are routinely performed from six sites (both earlobes and ... Continue reading
CITE
CITE
HOW TO CITE THIS REPORT
Adler BL. Reviewer Report For: Optimizing treatment of lepromatous form of leprosy using ofloxacin on top of standard multi-drug therapy in National Referral Hospital, Jakarta, Indonesia [version 2; peer review: 1 approved with reservations, 1 not approved]. F1000Research 2025, 14:252 (https://doi.org/10.5256/f1000research.180812.r384857)
NOTE: it is important to ensure the information in square brackets after the title is included in all citations of this article.
  • Author Response 18 Aug 2025
    Mufqi Handaru Priyanto, Department of Dermatology and Venereology, Faculty of Medicine, Universitas Indonesia, Depok, Indonesia
    18 Aug 2025
    Author Response
    Thank you for this study evaluating the impact of addition of ofloxacin to MDT for lepromatous leprosy, conducted in a single center.
     
    1. “At our center, slit-skin smear
    ... Continue reading
COMMENTS ON THIS REPORT
  • Author Response 18 Aug 2025
    Mufqi Handaru Priyanto, Department of Dermatology and Venereology, Faculty of Medicine, Universitas Indonesia, Depok, Indonesia
    18 Aug 2025
    Author Response
    Thank you for this study evaluating the impact of addition of ofloxacin to MDT for lepromatous leprosy, conducted in a single center.
     
    1. “At our center, slit-skin smear
    ... Continue reading
Version 1
VERSION 1
PUBLISHED 03 Mar 2025
Views
47
Cite
Reviewer Report 02 Apr 2025
Maria T Ochoa, Department of Dermatology, Keck School of Medicine, University of Southern California, Los Angeles, Southern California, USA 
Approved with Reservations
VIEWS 47
The work done by Priyanto al is interesting and in my opinion the article adds new insights into the treatment of leprosy in Indonesia
The article needs improvements in the methods, results and discussion.
- The authors should ... Continue reading
CITE
CITE
HOW TO CITE THIS REPORT
Ochoa MT. Reviewer Report For: Optimizing treatment of lepromatous form of leprosy using ofloxacin on top of standard multi-drug therapy in National Referral Hospital, Jakarta, Indonesia [version 2; peer review: 1 approved with reservations, 1 not approved]. F1000Research 2025, 14:252 (https://doi.org/10.5256/f1000research.177837.r369473)
NOTE: it is important to ensure the information in square brackets after the title is included in all citations of this article.
  • Author Response 18 Apr 2025
    Mufqi Handaru Priyanto, Department of Dermatology and Venereology, Faculty of Medicine, Universitas Indonesia, Depok, Indonesia
    18 Apr 2025
    Author Response
    We sincerely appreciate the reviewer’s constructive feedback on our manuscript. Below, we address each of the points raised:

    1. Regarding the suggestion to include a cohort treated without ofloxacin:
    ... Continue reading
COMMENTS ON THIS REPORT
  • Author Response 18 Apr 2025
    Mufqi Handaru Priyanto, Department of Dermatology and Venereology, Faculty of Medicine, Universitas Indonesia, Depok, Indonesia
    18 Apr 2025
    Author Response
    We sincerely appreciate the reviewer’s constructive feedback on our manuscript. Below, we address each of the points raised:

    1. Regarding the suggestion to include a cohort treated without ofloxacin:
    ... Continue reading

Comments on this article Comments (0)

Version 4
VERSION 4 PUBLISHED 03 Mar 2025
Comment
Alongside their report, reviewers assign a status to the article:
Approved - the paper is scientifically sound in its current form and only minor, if any, improvements are suggested
Approved with reservations - A number of small changes, sometimes more significant revisions are required to address specific details and improve the papers academic merit.
Not approved - fundamental flaws in the paper seriously undermine the findings and conclusions
Sign In
If you've forgotten your password, please enter your email address below and we'll send you instructions on how to reset your password.

The email address should be the one you originally registered with F1000.

Email address not valid, please try again

You registered with F1000 via Google, so we cannot reset your password.

To sign in, please click here.

If you still need help with your Google account password, please click here.

You registered with F1000 via Facebook, so we cannot reset your password.

To sign in, please click here.

If you still need help with your Facebook account password, please click here.

Code not correct, please try again
Email us for further assistance.
Server error, please try again.