Keywords
Covid-19, Prominence effect, Decision making, Public policy
This article is included in the Emerging Diseases and Outbreaks gateway.
This article is included in the Coronavirus (COVID-19) collection.
Covid-19, Prominence effect, Decision making, Public policy
In just a few months, coronavirus disease 2019 (COVID-19) has spread globally, taking lives and undermining economies1. Consequently, the World Health Organization announced a global emergency, and countries have taken numerous measures to fight it: isolation, quarantine, social distancing, etc.2.
While these measures have clear health advantages, their effect on economies has been disastrous3 (e.g., the collapse of the traveling industry4). This tension between health and economic interests has led to numerous debates surrounding one question: how to judge different alternatives (e.g., two different programs to fight the pandemic) when they vary across more than one criterion (e.g., their death toll vs. their financial impact)?
Research in behavioral decision-making has long shown that decision-makers diverge significantly from the rational “homo-economicus” of classic economics5. Researchers suggested that uncertainty is a breeding ground for irrational or biased judgments that are based on emotions and heuristics6. Such patterns persist even during crucial decisions (e.g., health issues7) and those made by professionals (e.g., courtroom judges8).
A relevant behavior is people’s tendency to overly focus on a single dominant attribute of objects they judge9. One particularly apt bias is the prominence effect - people’s tendency to focus on the most prominent attribute of judged objects instead of weighing all criteria10. Tversky et al. (1988) presented decision-makers a problem where health and economic considerations were mixed, a paradigm aptly suitable for research into the current situation. Using two decision modes (i.e., choice vs. matching), they showed that people tend to overly focus on the more salient attribute of casualties rather than costs. As detailed below, we used the same scenario amid the COVID-19 crisis with the following changes: the virus instead of traffic accidents and a town in the UK instead of Israel.
We hypothesized that unless decision mode (i.e., matching) or role manipulation deliberately made participants pay more attention to the economic criterion, they would overly emphasize casualties over costs.
Participants from the UK (129 males and 291 females, all adults above 18 years of age) were recruited through the “Prolific” [22/4/2020] crowd-working platform and answered an online questionnaire for a pay. The only criterion for participation was that participants be above 18 years of age. Other than this requirement, participants were sampled in a “first come first serve” manner: whoever signed up for the study and was eligible to participate before reaching our target number of participants could answer the questionnaire. The participants were randomly assigned to the different experimental conditions. The study was conducted on the 22nd of April, 2020.
Participants read a scenario regarding the predicted number of COVID-19 related casualties (600) over the next year in a small town in the UK. They were then required to consider two programs (X vs. Y), described in terms of yearly costs (in millions of Pound Sterling £) and the number of casualties. Participants were asked to imagine themselves as either: Policymakers in the 1. Ministry of Treasury; 2. Ministry of Health; 3. Control group participants were not given a role.
Decision measure. Half of the participants were required to choose between the two programs (choice condition): program X would lower casualties to 500 at the cost of 55-million-pound sterling, and program Y would lower casualties to 570 at the cost of 12-million-pound sterling. The output data for this condition was proportion of participants chosing program X vs. Y (See results section).
The other half received the same information except that program X’s price was missing. They were required to determine a cost that would make it as equally attractive as program Y (matching condition). To do so, they were first asked whether 55-million-pound sterling was the right number and to then type the appropriate cost. Missing casualty information was not used as another condition since Tversky et al. (1987) showed that the prominence effect occurred regardless of the dimension left missing. See the extended data sub-section at the end of this article for a complete description of the scenario and questionnaire11.
All statistical analyses were conducted using IBM SPSS Statistics for Windows, Version 22.0. In order to test for differences in proportion of participants who chose each program within each role (health, treasury, control) we conducted a binomial test, and to test for significant differences in these proportions between each role we conducted two chi-squared tests. Additionally, in order to test for differences in proportion of participants who thought that 55 million Pound Sterling was too high/low of a matching price within each role we conducted a binomial test. Finally, three single sample t-tests with 40 million Pound Sterling as a criterion were conducted in order determine whether participants within each role were willing to pay the corrected (triangulated) price.
This study was approved by the IRB at the Adelson School of Entrepreneurship, The Interdisciplinary Center, Herzliya (IRB confirmation no. 9). Informed consent was gathered from participants prior to their starting the study. They were given details as to the general topic of the study (decision making), the expected duration (5 minutes), and were assured that their answers were to be anonymously collected and no unsolicited use of their data would occur. Finally, they were informed that they may decide to not participate in the study after reading this information and could stop participating at any time if the study made them feel uncomfortable or for any reason.
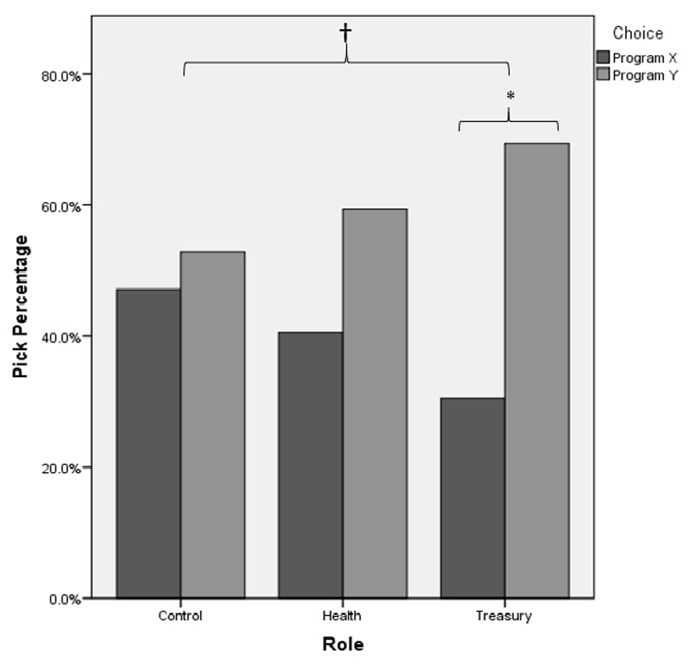
Choice condition. A binomial test indicated that the proportion of participants in the treasury group who chose program Y (69.4%) over program X (30.6%) was significantly greater than 50% (chance value), p = 0.001 (2-sided; see Figure 111). There was no significant difference in these proportions for participants in both the health (Y= 59.4%, X= 40.6%) and the control groups (Y= 52.9%, X= 47.1%). Additionally, Two chi-square tests examined the relationship between role and program-choice proportions. Whereas the proportions of health and control groups did not differ significantly, treasury and control groups were significantly different: χ2 (1, N = 142) = 4.11, p = 0.043 (see Figure 111).

Figure depicting the percentage of participants who chose each program within each role. *p<0.001, †p<0.05.
Matching condition. A binomial test indicated that the proportions of participants in the treasury (95%), health (97%), and control (98%) groups who thought that 55-million-pound sterling was too high a price were significantly greater than 50% (chance value), p < 0.001 (2-sided).
Triangulating lives saved (in comparison to the 600 default) with the cost of program Y, resulted in the appropriate cost of program X being 40-million-pound sterling. Three single sample t-tests with 40 million pounds as the criterion indicated that participants in all roles thought it too high a price: treasury (M= 15.87, SD= 9.44), health (M= 16.43, SD= 7.65), and control (M= 16.19, SD= 9.73) groups: t (65)= -20.74, p< 0.001; t (67)= -25.38, p< 0.001; and t (60)= -19.10, p< 0.001 respectively. The same analysis using 20 as a stricter criterion yielded similar results in the treasury (t (65)= -3.54, p= 0.001), health (t (67)= -3.84, p< 0.001), and control (t (60)= -3.05, p= 0.003) groups.
At first glance, the results of the choice condition seem to diverge from Tversky et al.’s prominence effect. There, participants – who were not given any roles - had significantly preferred program X (higher costs, fewer casualties), which implied the prominence of saving lives over costs. But, although our results do not show a significant preference for program X in the control group, 50% of participants still chose it – despite its disproportionate cost to the lives-saved ratio. This finding, coinciding with the beginning of the lockdown in the UK (which made the economic issues much more salient and relevant), lends support to the claim that health issues were still the most prominent. To claim that the financial matters were more salient, we would see a significant preference for program Y. Nevertheless, only the treasury condition yielded this result. Coupled with the results of the matching condition below, it seems like an illustration of the prominence of health issues over economic issues in the choice condition.
When matching, participants overwhelmingly preferred the more economical program. Indeed, they thought 55-million-pound sterling was too high of a matching price, and their proposed matching price was significantly lower than 40 and even 20. Comparing these results to the choice condition patterns suggests that “lives saved” was the more prominent attribute for participants who chose program X (approximately 50%). Only under the treasury condition did we see a difference in choice favoring the more economical program, demonstrating the prominence effect.
Taken together, our results support Tversky et al.’s prominence effect study. They suggest that decision-makers should match the options instead of choosing between them in such decision-making situations.
Given the highly consequential decisions policymakers must make in times of crisis, it is crucial to understand which decision-making paradigms might lead to better, less biased decisions. The prominence of health over economic issues may lead to irrational differences between choosing versus matching. Thus, changing the decision-making paradigm from simply choosing alternatives to a matching paradigm can aid policymakers to better weigh all attributes.
Open Science Framework: Covid-19 Prominence (F1000).
https://doi.org/10.17605/OSF.IO/24Z3G11
This project contains the following underlying data:
Open Science Framework: Covid-19 Prominence (F1000).
https://doi.org/10.17605/OSF.IO/24Z3G11
This project contains the following extended data:
Data are available under the terms of the Creative Commons Zero "No rights reserved" data waiver (CC0 1.0 Public domain dedication).
| Views | Downloads | |
|---|---|---|
| F1000Research | - | - |
|
PubMed Central
Data from PMC are received and updated monthly.
|
- | - |
Is the work clearly and accurately presented and does it cite the current literature?
Partly
Is the study design appropriate and is the work technically sound?
Yes
Are sufficient details of methods and analysis provided to allow replication by others?
Yes
If applicable, is the statistical analysis and its interpretation appropriate?
Yes
Are all the source data underlying the results available to ensure full reproducibility?
Yes
Are the conclusions drawn adequately supported by the results?
Yes
References
1. Tversky A, Sattath S, Slovic P: Contingent weighting in judgment and choice.Psychological Review. 1988; 95 (3): 371-384 Publisher Full TextCompeting Interests: No competing interests were disclosed.
Reviewer Expertise: Economic policy making
Is the work clearly and accurately presented and does it cite the current literature?
Partly
Is the study design appropriate and is the work technically sound?
No
Are sufficient details of methods and analysis provided to allow replication by others?
Partly
If applicable, is the statistical analysis and its interpretation appropriate?
Yes
Are all the source data underlying the results available to ensure full reproducibility?
Partly
Are the conclusions drawn adequately supported by the results?
No
Competing Interests: No competing interests were disclosed.
Reviewer Expertise: Economic Policy, Statistics, Health Economics
Alongside their report, reviewers assign a status to the article:
| Invited Reviewers | ||
|---|---|---|
| 1 | 2 | |
|
Version 2 (revision) 07 May 21 |
read | |
|
Version 1 20 Nov 20 |
read | read |
Provide sufficient details of any financial or non-financial competing interests to enable users to assess whether your comments might lead a reasonable person to question your impartiality. Consider the following examples, but note that this is not an exhaustive list:
Sign up for content alerts and receive a weekly or monthly email with all newly published articles
Already registered? Sign in
The email address should be the one you originally registered with F1000.
You registered with F1000 via Google, so we cannot reset your password.
To sign in, please click here.
If you still need help with your Google account password, please click here.
You registered with F1000 via Facebook, so we cannot reset your password.
To sign in, please click here.
If you still need help with your Facebook account password, please click here.
If your email address is registered with us, we will email you instructions to reset your password.
If you think you should have received this email but it has not arrived, please check your spam filters and/or contact for further assistance.
Comments on this article Comments (0)