Keywords
Bibliometric study, India, Physiotherapy, Scientific output
This article is included in the Research on Research, Policy & Culture gateway.
Bibliometric study, India, Physiotherapy, Scientific output
Scientific output of a profession is recognized by the frequency of publications, which are published in peer-reviewed journals and indexed in bibliographic databases1–3. In physiotherapy, this scientific output is utilized to enhance existing knowledge and develop guidelines for highly effective clinical practice4. Accordingly, the analysis of scientific output allows definition of baseline indicators in knowledge and clinical practice in physiotherapy5,6. Various studies investigated the scientific output of physiotherapists across the globe6–14. Among these studies, several utilized electronic searches6,7,9–11,13,14, whereas others were limited to document reviews8,12. Concerning the Indian context, only two studies have been performed to reveal the research productivity of Indian physiotherapists from 2000 to 2014, which were limited to the Medline database10,11. Moreover, Li et al. (2018) recently stated that Clarivate Analytics’s Web of Science (WoS) is the World’s foremost scientific citation search and analytical platform, which can be used as both a research tool and dataset15. Hence, there is a need for further research that should involve the WoS database to detect high-quality research publications by Indian physiotherapists up until 2018 (this study took place in 2019). Therefore, this study intended to conduct a bibliometric study on the scientific output of Indian physiotherapists using WoS during the last two decades (from 1999 to 2018).
A descriptive study design was adopted to reveal the scientific output of Indian physiotherapists using an electronic literature search in the WoS database during the period from 1999 to 2018.
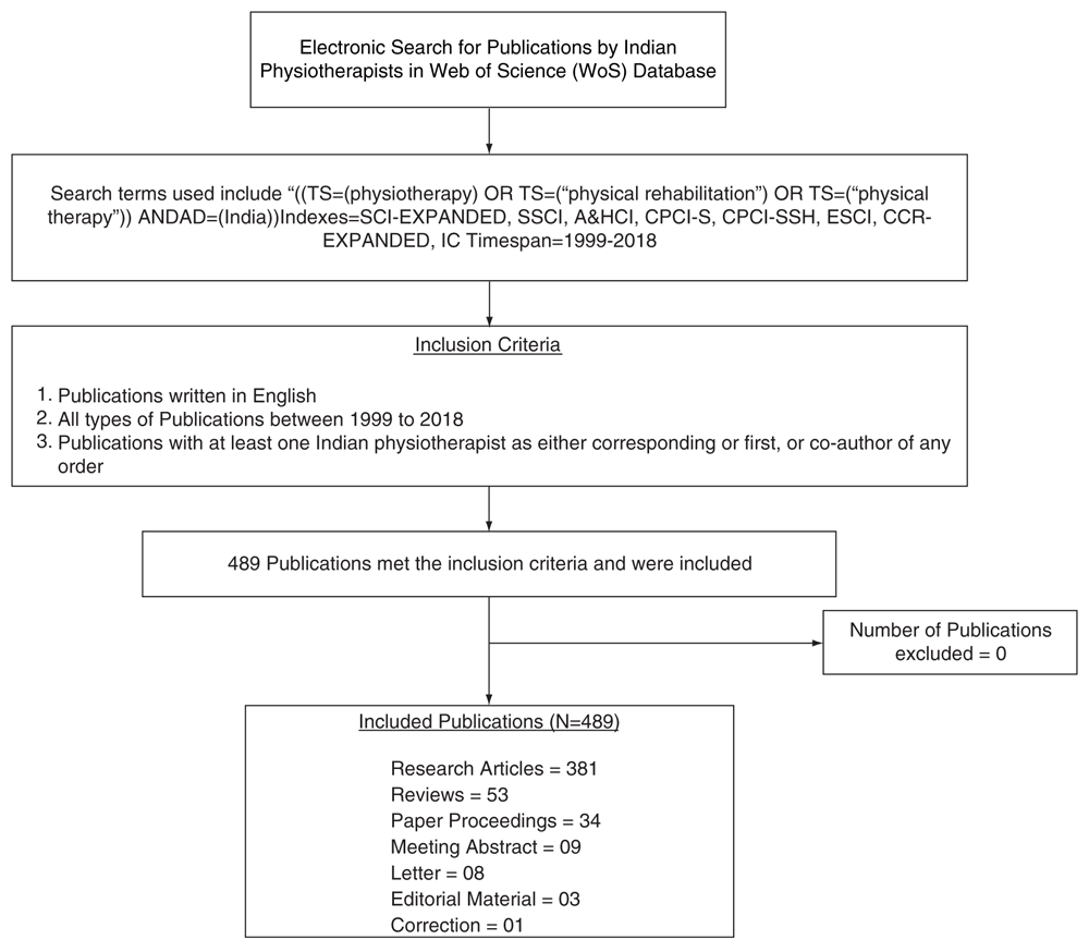
The search was conducted on 14th October 2019. The term 'Indian physiotherapists' denotes physiotherapy professionals employed in any of academic or clinical establishments in India in the study period. The search was carried out in WoS using the following term "((TS=(physiotherapy) OR TS=("physical rehabilitation") OR TS=("physical therapy")) ANDAD=(India))Indexes=SCI-EXPANDED, SSCI, A&HCI, CPCI-S, CPCI-SSH, ESCI, CCR-EXPANDED, IC Timespan=1999–2018”. The search started from 1999 since this study aimed to retrieve data from the past two decades.
The search methodology is described in Figure 1. Based on the inclusion criteria, 489 publications were included and proceeded for further analysis.
Retrieved articles were analysed using Incites in WoS and VOSviewer 1.6.11. Incites was used to gather information publication year, authorship ranking, source journal productivity, collaborating institutions, country-wise research collaboration, and citations. In addition, the information related to h-index was obtained from the Incites in WoS. The data, which is exported from the WoS database as an ISI common export (.ciw) format, were imported into VOSviewer to explore the co-occurrences of keywords used by the authors in their articles. The flowchart describing the procedures for carrying out both Incites and VOSviewer analysis is depicted in Figure 2.
Since Incites in WoS used in this study are proprietary software, the researchers could alternatively use a tab-delimited file downloaded from WoS and use it in VOSviewer.
A total of 489 articles were included in the study; 381 research articles, 53 reviews, 34 proceedings, 9 meeting abstracts, 8 letters, 3 editorial material, and one correction.
Between 1999 and 2008, scientific output of Indian physiotherapists is minimal, reaching a peak of 9 in 2008. Subsequently, the publication count starts to rise gradually from 2009 to 2016, which has a peak of 103 articles. Publications decreased after 2016 and rose slightly in 2018, but not to levels seen in 2016 (Table 1 and Figure 3). Regarding citation count, there was a gradual rise over the research period, with a total of 2420 citations between 1999 and 2018, more than 100 of which have been documented since 2012. The highest average citation (citations/article) of ≥10 was observed only in 2006 (mean, 11.00) and 2014 (mean, 10.20).
Data obtained from Web of Science. Includes all articles types. N articles = 489.

Data obtained from Web of Science. Includes all articles types.
A total of 264 journals had published the 489 retrieved articles. The top 20 journals in which Indian physiotherapists published over the study period are displayed in Table 2. The top 20 journals published 174 articles, 35.58% of total publications (N=489) in the research period. Out of the top 20 ranked journals, 11 were journals based in India, 26.79% of the total publications.
Data obtained from Web of Science. Includes all articles types. N articles = 489.
The International Journal of Physiotherapy published 35 articles, with six citations for these 35 articles, an average citation of 0.17. It was the most active journal found in this study and contributed to 7.16% of total publications. In contrast, the journal Haemophilia published seven articles with 68 citations for these articles, an average citation of 9.71. Similarly, Annals of Indian Academy of Neurology published four articles, with citations of 43, giving it the highest average citation of 10.75 (Table 2).
Table 3 shows the top 20 authors who worked with Indian physiotherapists to publish physiotherapy articles. These authors contributed 22.09% of total publications (N=489) in collaboration with Indian physiotherapists. Kumar S, Mahadevappa M, and Samuel AJ collectively have accounted for 5.73% of total publications (N=489). An Indian author named Kumar R (ICMR-National Institute of Occupational Health) is the Indian physiotherapist with the highest h-index (18) and had published five articles, which were cited 1372 times.
Data obtained from Web of Science. Includes all articles types. N articles = 489.
The top 20 institutions that collaborated and published articles with Indian physiotherapists for physiotherapy research are displayed in Table 4. Among these institutions, Manipal University (India) has the highest number of publications, with 7.36% of total publications, followed by Christian Medical College Hospital (India; 3.89%), the Indian Institute of Technology (India; 3.68%) and King Saud University (KSU; Saudi Arabia; 3.68%). In total, 90% of collaborating institutions were based in India. Internationally, KSU and the University of London (UK; 1.23%) had the most active cooperation with Indian physiotherapists over this time period.
Data obtained from Web of Science. Includes all articles types. N articles = 489.
Out of the total publications (N=489), articles published by Indian physiotherapists in collaboration with authors belonging to international countries was as follows: United States (4.91%), Saudi Arabia (4.50%), UK (3.68%), Canada (1.84%), and Sweden (1.02%). Australia, Brazil, Italy, Malaysia, Mexico, and Pakistan contributed 0.82% each to total publications (Table 5). Out of the top 20 countries, Indian physiotherapists collaborated the most with the US (after India), publishing 24 articles, which secured 370 citations (average citation 15.42). Notably, articles published by Indian physiotherapists in collaboration with German authors had the highest number of average citation (41.00), though only three articles were published.
Data obtained from Web of Science. Includes all articles types. N articles = 489.
Using VOSviewer, the authors created a keyword table and graphic representation of the co-occurrence of keywords across articles. The top 20 keywords used in articles (from a total of 2477 keywords) are shown in Figure 4. An article's keyword may represent its primary material, and to some degree, the frequency of occurrence. Likewise, co-occurrence can indicate centered themes of research in a field. Among the top 20 keywords, those with a considerable rate of occurrence are “Physiotherapy” (n=72; 2.91%), “Rehabilitation” (n=48; 1.94%), “Management” (n=46; 1.86%), and “Exercise and Therapy” (n=25; 1.01%). The keyword “Randomized Controlled-Trial” had the highest average citations (16.50%) among the top 20 keywords.
Previously, using data from Scopus, it had been observed that Italian physiotherapists published 1083 articles with 13,373 citations. The number of publications by these authors had gradually increased over the years from before 1995 (10 articles) to 2016 (143 articles). More than 50% of the total publications were produced between the years 2012 and 201613. In India, Hariohm et al. observed a considerable increase in the research output of Indian physiotherapists, using the MEDLINE database, between 2000 and 2014, with a total of 182 articles11. This study observed that Indian physiotherapists had published 489 articles in WoS from 1999 to 2018, with a peak of 103 articles in 2016. However, there was a drastic drop in publication count from 103 in 2016 to 74 in 2018. Remarkably, the number of articles from 2016 to 2018 accounted for 50% (n=252) of total publications (N=489). From these results, it is inferred that Indian physiotherapists are increasingly aware of publishing more articles in high-quality journals in recent years and have enhanced their research competencies gradually to raise their scientific output. Nevertheless, a drastic drop in their publication count after 2016 indicates that there is a need for further research to reveal individual and institutional factors causing this decline and create appropriate strategies to improve the scientific output of Indian physiotherapists.
A total of 489 articles published by Indian physiotherapists from 1999 to 2018 secured a total of 2420 citations. Citations in each year gradually increased and reached 507 by 2018, and this rise was observed with a substantial count from 2012 to 2018. Littman et al. analyzed the research output of 45 physical therapy faculty in southeastern US from 2000 to 2016 using their curriculum vitae. The range of publications and the citations of these faculty was observed as 0 to 43, and 0 to 943, respectively12. Another study by Sturmer et al. found that 222 articles were published by Brazilian physical therapy researchers in WoS in 2010, which had a total of 1805 citations6. Contrary to these findings, this study reported that Indian physiotherapists published only 65 articles with 171 citations up to the year 2010 in WoS. Even though the articles published by Indian physiotherapists were suitable enough for several researchers to cite them often, there is a need to improve the citation count of their publications in the future.
Out of 264 journals, the top 20 journals that Indian physiotherapists published in contributed to 35.58% of total publications (N=489) in the WoS database. Notably, it is observed that Indian-based journals published 26.79% of the total publications; no publications were observed in US-based journals. Further, the highest count of publications was observed in an Indian-based journal International Journal of Physiotherapy. This affinity of Indian physiotherapy researchers towards Indian-based journals might be due to the nature of their research articles, or interest in country-based journals. However, those researchers should expand their contribution to other high-quality international journals. Exploring the reasons behind Indian physiotherapists’ choice to publish in these Indian journals is beyond the scope of this study, and further research is warranted to address this critical issue. Besides, a high number of articles published by Indian physiotherapists in International Journal of Physiotherapy had only a small number of citations, giving a low average citation. Nevertheless, other journals, such as Haemophilia and Annals of Indian Academy of Neurology, showed considerable citations and a high average citation for only a few articles published in these journals. This implies that these articles must possess information that is cited often by other researchers.
A previous study by Man et al. found that four Hong Kong physiotherapy professors had a median h-index of 30.5 and their average total number of citations was 2930.314. Moreover, Brazilian physical therapy researchers had a median h-index of 3, according to WoS6. Recently, Vercelli et al. reported that the mean h-index of 363 Italian physiotherapists was 2.2, which ranged from 0 to 16; mean citations per author were observed as 5813. This study reported that the top 20 authors who worked with Indian physiotherapists contributed to 22.09% of total publications (N=489). Kumar S (India) was the leading author who collaborated with other Indian physiotherapists in physiotherapy research with 12 publications. Another Indian author, Kumar R, had the highest h-index of 18.
Among the top 20 collaborating institutions, Manipal University in India was the leading institution that had the most collaborations with Indian physiotherapists, contributing to 7.36% of total publications (N=489). In line with our findings, Hariohm et al. revealed that Manipal University is an active research institution with 59 articles in the MEDLINE database from 2000 to 201411. Of the top 20 institutions, 90% were based in India, whereas only two institutions were based in the UK and Saudi Arabia. This implies that Indian physiotherapists had more collaborations with institutions in their own country. However, there is a need for Indian physiotherapists to collaborate with international institutions to improve their scientific output.
The international country with the highest number of articles published with Indian physiotherapists (contributing to 4.91% of total publications in this research period) was the US, followed by Saudi Arabia (4.50%). The total percentage of publications with other countries is minimal. Articles published in collaboration with the US had a high citation count, and Germany had the highest average citation. Hence, this study recommends that Indian physiotherapists should enhance their research collaboration with other countries since collaborative research allows the development of networks with early-career researchers in other countries16–18, and improves the quality of their scientific output19. Furthermore, earlier studies have also stressed the importance of international research collaboration in health care, and it is frequently regarded as an indicator of quality to develop and disseminate scientific knowledge to newly developing countries20,21.
This study observed that the scientific output of Indian physiotherapists shows an uptrend in performance since 1999, excluding 2017/18 where a drastic decline was noticed. Indian physiotherapists are mostly publishing and collaborating with Indian-based journals and institutions, respectively. Even though there are high-quality publications, there is a need to enhance both the quality and quantity of scientific papers, to increase the high number of citations and average citation. This study also recommends that Indian physiotherapists should expand their research collaboration internationally to improve their scientific output. Future studies can focus on analyzing individual and institutional factors influencing research productivity of Indian physiotherapists and develop suitable strategies to enhance their scientific production.
Open Science Framework: Visualization pattern of the highly cited scientific output of Indian Physiotherapists: A bibliometric study, https://doi.org/10.17605/OSF.IO/YC6VK22
This project contains the following underlying data:
- Article level and citation data for all 489 articles retrieved.
- Journal, author, institution and country data for all 489 articles retrieved.
Data are available under the terms of the Creative Commons Zero "No rights reserved" data waiver (CC0 1.0 Public domain dedication).
| Views | Downloads | |
|---|---|---|
| F1000Research | - | - |
|
PubMed Central
Data from PMC are received and updated monthly.
|
- | - |
Is the work clearly and accurately presented and does it cite the current literature?
Yes
Is the study design appropriate and is the work technically sound?
Partly
Are sufficient details of methods and analysis provided to allow replication by others?
Partly
If applicable, is the statistical analysis and its interpretation appropriate?
Partly
Are all the source data underlying the results available to ensure full reproducibility?
Yes
Are the conclusions drawn adequately supported by the results?
Partly
References
1. Memon AR, Vandelanotte C, Olds T, Duncan MJ, et al.: Research Combining Physical Activity and Sleep: A Bibliometric Analysis.Percept Mot Skills. 2020; 127 (1): 154-181 PubMed Abstract | Publisher Full TextCompeting Interests: No competing interests were disclosed.
Reviewer Expertise: Physical activity, rehabilitation, exercise, scientometrics, bibliometric analyses
Is the work clearly and accurately presented and does it cite the current literature?
Yes
Is the study design appropriate and is the work technically sound?
Yes
Are sufficient details of methods and analysis provided to allow replication by others?
Yes
If applicable, is the statistical analysis and its interpretation appropriate?
Not applicable
Are all the source data underlying the results available to ensure full reproducibility?
Partly
Are the conclusions drawn adequately supported by the results?
Yes
Competing Interests: No competing interests were disclosed.
Reviewer Expertise: Rehabilitation, Sports injuries, Physical Therapy
Alongside their report, reviewers assign a status to the article:
| Invited Reviewers | |||
|---|---|---|---|
| 1 | 2 | 3 | |
|
Version 2 (revision) 19 May 20 |
read | ||
|
Version 1 24 Mar 20 |
read | read | |
Provide sufficient details of any financial or non-financial competing interests to enable users to assess whether your comments might lead a reasonable person to question your impartiality. Consider the following examples, but note that this is not an exhaustive list:
Sign up for content alerts and receive a weekly or monthly email with all newly published articles
Already registered? Sign in
The email address should be the one you originally registered with F1000.
You registered with F1000 via Google, so we cannot reset your password.
To sign in, please click here.
If you still need help with your Google account password, please click here.
You registered with F1000 via Facebook, so we cannot reset your password.
To sign in, please click here.
If you still need help with your Facebook account password, please click here.
If your email address is registered with us, we will email you instructions to reset your password.
If you think you should have received this email but it has not arrived, please check your spam filters and/or contact for further assistance.
Comments on this article Comments (0)