Siuka D, Saletinger R, Uršič J et al. The effect of Vitamin D levels on the course of COVID-19 in hospitalized patients – a 1-year prospective cohort study [version 1; peer review: 1 approved with reservations]. F1000Research 2023, 12:254 (https://doi.org/10.12688/f1000research.131730.1)
NOTE: it is important to ensure the information in square brackets after the title is included in all citations of this article.
1Department of Gastroenterology, University Medical Centre Ljubljana, Ljubljana, 1000, Slovenia 2Department of Infectious Diseases and Febrile Illnesses, University Medical Centre Ljubljana, Ljubljana, 1000, Slovenia 3Faculty of Medicine, University of Ljubljana, Ljubljana, 1000, Slovenia 4Department of Ophthalmology, University Medical Centre Ljubljana, Ljubljana, 1000, Slovenia 5Research and Development, In-Medico, Metlika, 8330, Slovenia 6Institute of Clinical Chemistry and Biochemistry, University Medical Centre Ljubljana, Ljubljana, 1000, Slovenia 7Department of Clinical Biochemistry, Faculty of Pharmacy, Ljubjana, 1000, Slovenia
Background: The aim of the current study was to assess the patients with COVID-19 and the impact of vitamin D supplementation on the course of COVID-19. Methods: This prospective cohort study included patients hospitalized due to COVID-19 between December 2020 and December 2021. Patients' demographic, clinical, and laboratory parameters were analysed. Results: 301 participants were enrolled in the study. 46 (15,3%) had moderate, and 162 (53,8%) had severe COVID-19. 14 (4,7%) patients died, and 30 (10,0%) were admitted to the ICU due to disease worsening. The majority needed oxygen therapy (n=224; 74,4%). Average vitamin 25(OH)D3 levels were below optimal at the admittance, and vitamin D deficiency was detected in 205 individuals. More male patients were suffering from vitamin D deficiency. Patients with the more severe disease showed lower levels of vitamin 25(OH)D3 in their blood. The most severe group of patients had more symptoms that lasted significantly longer with progressing disease severity. This group of patients also suffered from more deaths, ICU admissions, and treatments with dexamethasone, remdesivir, and oxygen. Conclusion: Patients with the severe course of COVID-19 were shown to have increased inflammatory parameters, increased mortality, and higher incidence of vitamin D deficiency. The results suggest that the vitamin D deficiency might represent a significant risk factor for a severe course of COVID-19.
Past pandemic waves of severe acute respiratory syndrome coronavirus 2 (SARS-CoV-2) led to many critical cases and, consequently, deaths of high-risk patients. However, previous studies have shown fluctuations in coronavirus disease 2019 (COVID-19) severity throughout the year, especially during different seasons. Notably, seasons also play a role in immunity variation demonstrated by significant differences in the circulating immune cells such as lymphocytes and neutrophils.1,2 Moreover, studies have shown a strong correlation between low levels of serum vitamin D3 (25-hydroxyvitamin D3, 25(OH)D3) and the incidence of COVID-19,1,2 which coincides with most viral respiratory infections occurring during the winter season.3 Previous studies have shown a positive correlation between COVID-19 severity and vitamin D deficiency. Furthermore, vitamin D supplementation was shown to improve the clinical outcome of COVID-19 patients.4,5 Vitamin D deficiency is a global health problem as many healthy individuals have suboptimal serum vitamin D levels.1–3 Vitamin D has an immunomodulatory role as it decreases the proliferation of Th1 cells and stimulates the proliferation of Th2 cells, enables the secretion of anti-inflammatory cytokines, and thus lowers the production of pro-inflammatory cytokines.6 In addition to immunomodulatory and anti-inflammatory effects, vitamin D can also reduce the risk of respiratory tract infections, especially viral infections, such as COVID-19.7–17 Several studies confirmed the beneficial role of vitamin D in reducing the risk of susceptibility to acute respiratory infection, a protective effect of vitamin D against viral and bacterial respiratory pathogens in healthy, hospitalized, or critically ill patients.8,18–23 Moreover, a positive correlation was found between low levels of vitamin 25(OH)D3 and worse clinical outcomes (increased hospital stay, readmission to hospital, severity, sepsis, and mortality).22–37 Individuals with lower vitamin 25(OH)D3 levels were shown to have an increased risk of SARS-CoV-2 infection, admission to intensive care unit (ICUs), and increased mortality.38–40
Based on these studies, vitamin D supplementation during the period of respiratory infections and in individuals with COVID-19 was recommended by our group in October 2020, after the first wave of COVID-19. The ad hoc Slovenian recommendations for supplementation were as follows: for the healthy adult population, 800 IE to 2000 IE/day from October to the end of April; for high-risk individuals for vitamin D deficiency and respiratory infections 1000 to 2000 IE/day or 10 000 to 14 000/week. This group included patients with chronic diseases, individuals 70 years of age and older, individuals who live with COVID-19 patients in the same household, individuals with high-risk contact with COVID-19 patients, and healthcare workers. Pregnant women were recommended to take of 1500 IE to 2000 IE/day. Newly diagnosed COVID-19 patients were recommended a loading dose of 14 000 IE/day for four days followed by 2000 IE/day onwards. For hospitalized COVID-19 patients, the measurement of 25(OH)D3 was recommended and supplementation according to the measured serum levels was advised.41
Prior to the publication of Slovenian recommendations, many studies were published, where factors that contributed to low vitamin 25(OH)D3 levels and deficiency, including higher age, positive smoking status, obesity with higher body mass index (BMI), lack of sun exposure, and the presence of chronic illnesses (diabetes, malignancies, high blood pressure, gastrointestinal disorders, etc.) were identified. Most people with these risk factors have been shown to be at an increased risk regarding both severity of the disease and mortality from COVID-19.42 Thus, it was hypothesized that optimal levels of vitamin 25(OH)D3 in the early phase of SARS-CoV-2 infection could prevent progression to severe or critical COVID-19 and reduce mortality.3,43 Besides the recommendations, considerable public awareness campaigns and educational interventions have been conducted with the objective to increase individual vitamin D supplementation in Slovenia, especially during the second COVID-19 lockdown in December 2020.44 Therefore, the purpose of our study was to assess the severity of COVID-19 patients, who were admitted to our department and determine the impact of Vitamin D supplementation at the admittance on the clinical course of COVID-19.
Methods
We designed a prospective cohort study of COVID-19 patients, hospitalised in the COVID-19 unit of the University medical centre Ljubljana between December 2020 and December 2021. The study was approved by the Slovenian Medical Ethics Committee (Protocol ID: 0120-60/2021/5) and adhered to the tenets of the Declaration of Helsinki. Written informed consent was obtained from all participants enrolled in the study.
Study participants
Consecutive patients aged 18 or older, in the acute phase of COVID-19, with a PCR confirmed SARS-CoV-2 were included in the study, and their clinical charts were prospectively reviewed to collect the following relevant demographic, clinical, and laboratory parameters: age, sex, presence of comorbidities (diabetes, arterial hypertension, hyperlipidemia, coronary artery disease, history of stroke), history of smoking, alcohol consumption, the presence of COVID-19 related symptoms (fever, chest pain, cough, anosmia, dyspnoea, diarrhoea, and headache), time from the symptom’s onset or positive PCR to hospitalisation, laboratory parameters, COVID-19 related treatment and outcome. All patients underwent chest X-ray imaging in order to confirm the scale of COVID-19 infection and exclude or confirm COVID-19 associated pneumonia. Patients were divided into four groups based on the COVID-19 disease severity classification: (1) asymptomatic (positive PCR, no symptoms), (2) mild (the presence of symptoms but no shortness of breath, dyspnoea, or abnormal chest imaging), (3) moderate (evidence of lower respiratory disease during clinical assessment or imaging and who have an oxygen saturation (SpO2) ≥94% on room air at sea level) and (4) severe disease (SpO2 <94% on room air at sea level, a ratio of arterial partial pressure of oxygen to fraction of inspired oxygen (PaO2/FiO2) <300 mm Hg, respiratory frequency >30 breaths/min, or lung infiltrates >50%).
Laboratory parameters
COVID-19 infection was determined by RT-PCR during this initial visit. A nasopharyngeal swab specimen for the identification of SARS-CoV-2 was taken and sent to Institute of Microbiology and Immunology to confirm the infection. The patients’ blood pressure was measured at admission and 72 hours after admission. Blood samples were collected on a day of admission to the hospital and transported to the laboratory at the University Medical Centre in Ljubljana, where they were stored at minus 80 °C until analysis. Determination of inflammatory biomarkers, C-reactive-protein (CRP), interleukin-6 (IL-6), procalcitonin (PCT), D-dimer and 25(OH)D3 have been carried out according to a routine protocol using standard laboratory procedures. Patients received COVID-19 specific treatment consisting of oxygen supplementation, dexamethasone, and/or remdesivir according to the treatment guidelines.
Determination of serum vitamin D (25(OH)D3) concentration
Serum 25(OH)D3 concentration was measured in human serum with the chemiluminescence immunoassay vitamin D total (25-hydroxy-vitamin D). Vitamin D status was assigned with consideration of serum 25(OH)D3 concentration according to the literature: Deficient below 30 nmol/L, insufficient below 50 nmol/L, non-optimal between 50-75 nmol/L and optimal >75 nmol/L.43,45
Statistical analysis
The statistical analysis was performed using SPSS 21.0 (IBM Inc., Chicago, USA). Normally distributed variables were expressed as arithmetic mean and standard deviation, and One-Way ANOVA test was used for comparisons between variables. In case of abnormally distributed variables the differences between continuous variables were analysed by the nonparametric Mann-Whitney test. Binary logistic regression model was used to identify risk factors for moderate-to-severe COVID-19 course of the disease. Statistical significance for all tests was determined as p-value below 0.05.
Results
Overall, 301 participants were included in the analysis. The baseline demographic and clinical characteristics of patients are presented in Table 1. There was a similar distribution of female and male patients. The average age was 65 years. Laboratory parameters showed systemic inflammation with increased proinflammatory factors such as CRP, PCT, IL-6. Most patients (77%) had COVID-19 pneumonia detected by chest X-ray imaging. One case of acute respiratory insufficiency (ARI) was determined. 46 (15,3%) patients had moderate, and 162 (53,8%) patients had a severe course of COVID-19. Most patients were admitted to the hospital during winter season. 14 (4,7%) patients died during the follow-up, 30 (10,0%) were admitted to the ICU due to the disease worsening. A vast majority needed oxygen supplementation (n=224; 74,4%).
Table 1. Basic demographic and clinical characteristics.
N=301
Age [years]
64,8±14,7
Sex
m/f
165/136
Duration of symptoms [days]
7,8±5,3
Systolic pressure at admission [mmHg]
126,3±19,0
Diastolic pressure at admission [mmHg]
74,8±11,6
Systolic pressure after 72h [mmHg]
132,0±19,0
Diastolic pressure after 72h [mmHg]
74,6±11,4
Laboratory parameters
HbA1c [%]
6,6±1,8
Glucose [mmol/L]
7,0±3,4
LDH [μkat/L]
5,0±2,2
Ferritin [μg/L]
864,6±748,9
CRP [mg/L]
70,0±62,4
Procalcitonin [μg/L]
0,4±3,6
Leucocytes [109/L]
7,3±3,7
RDW [%]
16,2±25,4
Thrombocytes [109/L]
236,2±116,4
Lymphocytes [109/L]
1,4±2,4
D-dimer [μg/L]
1869,5±3555,9
IL-6 [ng/L]
47,4±48,7
25-OH-D3 [nmol/L]
63,4±33,2
Season
Jan-Feb
96 (31,9%)
Mar-Apr
61 (20,3%)
May-Jun
19 (6,3%)
Jul-Aug
41 (13,6%)
Sep-Oct
60 (19,9%)
Nov-Dec
22 (7,3%)
D3 deficiency
205 (68,1%)
D3 deficiency level
<30 nmol/L deficient
45 (15,0%)
30-50 nmol/L insufficient
73 (24,3%)
50-75 nmol/L non-optimal
87 (28,9%)
>75 nmol/L sufficient
96 (31,9%)
Diabetes
69 (22,9%)
Hyperlipidaemia
95 (31,6%)
Coronary artery disease/stroke
58 (19,3%)
Uncontrolled hypertension
10 (3,3%)
Hypertension
161 (53,5%)
ACEi
103 (34,2%)
ACT
41 (13,6%)
AAT
51 (16,9)
Smoking
22 (7,3%)
Alcohol
1 (0,3%)
Diagnosis
ARI
1 (0,3%)
SARS-CoV-2 with pneumonia (X-ray)
233 (77,4%)
SARS-CoV-2
67 (22,3%)
COVID-19 severity
Asymptomatic
37 (12,3%)
Mild
55 (18,3%)
Moderate
46 (15,3%)
Severe
162 (53,8%)
SYMPTOMS
Fever
227 (75,4%)
Chest pain
78 (25,9%)
Cough
196 (62,1%)
Anosmia/ageusia
31 (10,3%)
Dyspnoea
166 (55,1%)
Diarrhea
52 (17,3%)
Headache
42 (14,0%)
DVT/PE
24 (8,0%)
Death
14 (4,7%)
ICU admission
30 (10,0%)
Dexamethasone
203 (67,4%)
Remdesivir
59 (19,6%)
Antibiotic
71 (23,6%)
Oxygen
224 (74,4%)
DVT, deep vein thrombosis; PE, pulmonary embolism; LDH, lactate dehydrogenase; CRP, C reactive protein, RDW, red cell distribution width.
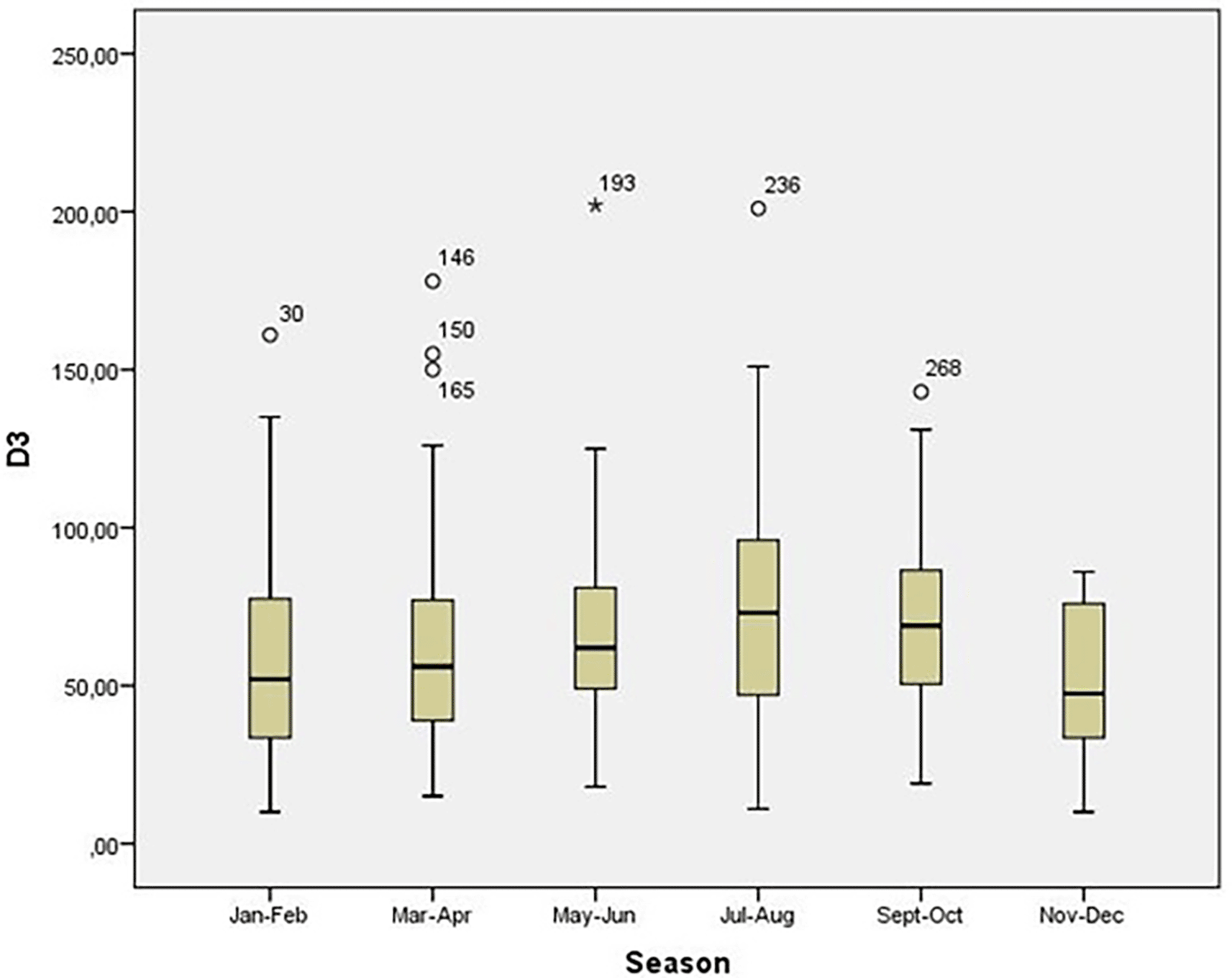
Average vitamin 25(OH)D3 levels were below optimal, and vitamin D deficiency and insufficiency was detected in 205 (68.1%) individuals. Approximately one third of patients had optimal 25(OH)D3 levels above 75 nmol/L. Serum vitamin 25(OH)D3 levels were significantly lower in winter months (November-April) (p<0.001) (Figure 1). Higher levels of serum vitamin 25(OH)D3 were present in the summer months (Figure 2).
Figure 1. The levels of vitamin 25(OH)D3 throughout the year.
Figure 2. The levels of vitamin 25(OH)D3 between the summer and winter season.
Patients were divided into four groups based on their serum vitamin 25(OH)D3-deficient, insufficicient, sufficient and optimal. The difference is clinical characteristics between the groups are presented in Table 2. Vitamin D deficiency was more common in males. A shorter duration of symptoms before hospitalisation was seen in the most deficient group. Fever and cough were more frequent with the optimal group of patients. In addition, severe course of COVID-19 was more common in groups with higher levels of serum vitamin 25(OH)D3 Group of patients with optimal vitamin 25(OH)D3 levels have experienced more frequent pneumonia so they needed dexamethasone and oxygen therapy.
Table 2. Differences in clinical characteristics based on the level of 25(OH)D3 deficiency.
Vitamin 25(OH)D3 deficiency level
<30 nmol/L deficient (n=45)
30-50 nmol/L insufficient (n=73)
50-75 nmol/L non-optimal (n=87)
>75 nmol/L sufficient (n=95)
p-value
Age
68,22±15,5
63,4±14,2
63,3±13,7
65,7±15,4
0,224
Sex
0,176
m/f
25/20
43/30
53/34
44/52
Duration of symptoms
6,2±±5,9
7,0±4,3
8,8±5,9
8,3±4,9
0,020
Systolic at admission
128,5±23,1
127,0±18,5
127,8±17,3
123,2±18,8
0,324
Diastolic at admission
75,3±11,0
74,7±10,7
75,1±10,7
74,3±13,4
0,962
Systolic after 72h
135,0±17,1
132,3±20,2
132,7±18,7
129,8±19,2
0,519
Diastolic after 72h
74,9±11,3
74,0±12,8
74,4±11,2
75,1±10,6
0,937
BLOOD TESTS
HbA1c
6,6±1,9
6,9±2,3
6,8±1,7
6,1±1,1
0,060
Glucose
7,0±3,1
7,6±4,9
7,2±3,0
6,4±2,3
0,179
LDH
4,1±±1,2
5,0±2,7
4,9±2,0
5,5±2,1
0,008
Ferritin
627,4±544,0
861,3±697,9
1026,6±911,3
837,8±686,5
0,047
CRP
55,5±59,2
72,9±68,1
69,0±60,4
75,6±60,9
0,374
Procalcitonin
0,19±0,48
1,03±7,36
0,18±0,53
0,15±0,34
0,377
Leucocytes
7,8±3,4
7,5±4,0
7,7±4,3
6,7±2,7
0,316
RDW
14,7±1,5
21,3±48,4
14,2±1,2
14,1±0,9
0,437
Thrombocytes
249,6±99,8
237,2±119,0
228,9±115,3
235,6±123,8
0,838
Lymphocytes
1,3±0,7
1,3±1,2
1,7±4,0
1,2±1,6
0,546
D-dimer
2332,3±2393,4
2015,7±3342,3
1450,1±2318,3
1911,3±4870,7
0,592
IL-6
64,4±51,0
42,7±56,2
48,4±48,1
33,2±36,9
0,449
25-OH-D3
21,7±6,2
40,4±6,0
62,9±7,8
101,0±26,7
<0,001
Season
0,259
Jan-Feb
20 (44,4%)
26 (35,6%)
26 (29,9%)
24 (25,3%)
Mar-Apr
11 (24,4%)
14 (19,2%)
19 (21,8%)
17 (17,9%)
May-Jun
2 (4,4%)
4 (5,5%)
7 (8,0%)
6 (6,3%)
Jul-Aug
3 (6,7%)
10 (13,7%)
10 (11,5%)
18 (18,9%)
Sep-Oct
6 (13,3%)
9 (12,3%)
21 (24,1%)
24 (25,3%)
Nov-Dec
3 (6,7%)
9 (12,3%)
4 (4,6%)
6 (6,3%)
Diabetes
13 (28,9%)
21 (28,8%)
17 (19,5%)
18 (18,9%)
0,291
Hyperlipidaemia
20 (44,4%)
23 (31,5%)
23 (26,4%)
29 (30,5%)
0,204
Coronary artery disease/stroke
13 (28,9%)
14 (19,2%)
13 (14,9%)
18 (18,9%)
0,295
Uncontrolled hypertension
2 (4,4%)
2 (2,7%)
2 (2,3%)
4 (4,2%)
0,861
Hypertension
31 (68,9%)
38 (52,1%)
48 (55,2%)
44 (46,3%)
0,082
ACEi
24 (53,3%)
23 (31,5%)
27 (31,0%)
29 (30,5%)
0,035
ACT
15 (33,3%)
6 (8,2%)
10 (11,5%)
10 (10,5%)
<0,001
AAT
6 (13,3%)
12 (16,4%)
15 (17,2%)
18 (18,9%)
0,883
Smoking
4 (8,9%)
9 (12,3%)
5 (5,7%)
4 (4,2%)
0,204
Alcohol
0
0
1 (1,1%)
0
0,481
Diagnosis
<0,001
ARI
0
0
0
1 (1,1%)
SARS-CoV-2 with pneumonia (RTG)
22 (48,9%)
56 (76,7%)
72 (82,8%)
83 (87,4%)
SARS-CoV-2
23 (51,1%)
17 (23,3%)
15 (17,2%)
12 (12,6%)
COVID-19 severity
0,001
Asymptomatic
13 (28,9%)
12 (16,4%)
8 (9,2%)
4 (4,2%)
Mild
9 (20,0%)
7 (9,6%)
15 (17,2%)
24 (25,3%)
Moderate
6 (13,3%)
11 (15,1%)
12 (13,8%)
17 (17,9%)
Severe
16 (35,6%)
43 (58,9%)
52 (59,8%)
51 (53,7%)
SYMPTOMS
Fever
25 (55,6%)
52 (71,2%)
73 (83,9%)
77 (81,1%)
0,002
Chest pain
8 (17,8%)
15 (20,5%)
23 (26,4%)
32 (33,7%)
0,116
Cough
19 (42,2%)
47 (64,4%)
59 (67,8%)
71 (74,7%)
0,008
Anosmia/ageusia
1 (2,2%)
6 (8,2%)
11 (12,6%)
13 (13,7%)
0,156
Dyspnoea
19 (42,2%)
41 (56,2%)
48 (55,2%)
58 (61,1%)
0,186
Diarrhoea
5 (11,1%)
14 (19,2%)
14 (16,1%)
19 (20,0%)
0,595
Headache
6 (13,3%)
10 (13,7%)
14 (16,1%)
12 (12,6%)
0,928
DVT/PE
3 (6,7%)
10 (13,7%)
5 (5,7%)
6 (6,3%)
0,237
Death
4 (8,9%)
4 (5,5%)
2 (2,3%)
4 (4,2%)
0,381
ICU admission
3 (6,7%)
9 (12,0%)
8 (9,2%)
10 (10,5%)
0,782
Dexamethasone
19 (42,2%)
47 (64,4%)
65 (74,7%)
72 (75,8%)
<0,001
Remdesivir
6 (13,3%)
16 (21,9%)
19 (21,8%)
18 (18,9%)
0,639
Antibiotic
8 (17,8%)
15 (20,5%)
24 (27,6%)
24 (25,3%)
0,553
Oxygen
22 (48,9%)
55 (75,3%)
70 (80,5%)
77 (81,1%)
<0,001
Table 3 presents the distribution of patients according to the severity of COVID-19. There were notable differences in proinflammatory markers between the groups for LDH, ferritin, CRP, PCT. Patients with more severe disease had increased levels of proinflammatory markers, and significantly lower levels of serum vitamin 25(OH)D3. However, the lowest levels of vitamin 25(OH)D3 were detected in the asymptomatic group (Figure 3). Patients with severe COVID-19 exhibited more symptoms, had a higher rate of ICU admissions and mortality.
Table 3. Comparison of clinical characteristics based on COVID-19 severity level.
COVID-19 severity
Asymptomatic (n=37)
Mild (n=55)
Moderate (n=46)
Severe (n=162)
p-value
Age
60,6±15,4
63,7±17,2
66,3±14,8
65,6±±13,4
0,241
Sex
0,179
m/f
20/17
36/19
20/26
89/73
Duration of symptoms
3,3±3,0
7,0±4,3
6,7±4,0
9,5±5,6
<0,001
Systolic at admission
132,0±24,1
128,3±21,6
122,8±16,8
124,9±17,0
0,108
Diastolic at admission
77,1±13,1
76,9±11,9
73,8±10,8
73,7±11,2
0,196
Systolic after 72h
135,4±19,4
128,0±18,9
125,3±16,0
134,1±19,3
0,018
Diastolic after 72h
76,3±12,8
74,6±10,5
72,8±11,1
74,7±11,4
0,612
BLOOD TESTS
HbA1c
6,2±1,1
6,7±2,3
6,3±1,1
6,7±1,9
0,449
Glucose
6,4±2,9
6,8±2,8
6,6±1,8
7,3±4,0
0,355
LDH
3,9±2,6
4,1±1,6
5,6±2,1
5,3±2,1
<0,001
Ferritin
449,3±385,3
606,4±721,3
793,6±815,3
1059,7±742,5
<0,001
CRP
39,9±46,3
72,1±69,1
80,1±58,0
73,7±63,3
0,020
Procalcitonin
0,11±0,17
0,13±0,26
0,27±0,73
0,54±4,95
0,844
Leucocytes
8,1±3,2
6,5±2,8
6,9±5,2
7,5±3,6
0,223
RDW
14,9±1,3
13,9±1,2
14,2±0,9
17,0±30,8
0,934
Thrombocytes
260,8±117,2
207,8±97,8
214,5±99,0
244,5±123,9
0,097
Lymphocytes
1,6±1,1
1,2±0,9
1,9±4,1
1,3±2,4
0,506
D-dimer
2349,1±2573,9
1993,6±3244,3
1491,8±2303,3
1821,4±4080,6
0,770
IL-6
22,0±18,0
53,5±55,4
71,4±52,1
49,7±53,3
0,275
25-OH-D3
44,1±22,5
70,3±37,0
69,7±37,9
64,1±30,8
0,001
Season
<0,001
Jan-Feb
18 (48,6%)
14 (25,5%)
6 (13,0%)
58 (35,8%)
Mar-Apr
5 (13,5%)
3 (5,5%)
3 (6,5%)
50 (30,9%)
May-Jun
1 (2,7%)
8 (14,5%)
5 (10,9%)
5 (3,1%)
Jul-Aug
3 (8,1%)
8 (14,5%)
5 (10,9%)
5 (3,1%)
Sep-Oct
6 (16,2%)
18 (32,7%)
18 (11,1%)
18 (11,1%)
Nov-Dec
4 (10,8%9
3 (5,5%)
1 (2,2%)
14 (8,6%)
Extended season
<0,001
Summer May-Oct
10 (27,0%)
34 (61,8%)
36 (78,3%)
39 (24,1%)
Winter Nov-Apr
27 (73,0%)
20 (36,4%)
10 (21,7%)
122 (75,3%)
D3 deficiency
33 (89,2%)
31 (56,4%)
29 (63,0%)
111 (68,5%)
0,009
D3 deficiency level
0,001
<30 nmol/L deficient
13 (35,1%)
9 (16,4%)
6 (13,0%)
16 (9,9%)
30-50 nmol/L insufficient
12 (32,4%)
7 (12,7%)
11 (23,9%)
43 (26,5%)
50-75 nmol/L non-optimal
8 (21,6%)
15 (27,3%)
12 (26,1%)
52 (32,1%)
>75 nmol/L sufficient
4 (10,8%)
24 (43,6%)
17 (37,0%)
51 (31,5%)
Diabetes
9 (24,3%)
13 (23,6%)
10 (21,7%)
36 (22,2%)
0,991
Hyperlipidemia
10 (27,0%)
18 (32,7%)
15 (32,6%)
52 (32,1%)
0,934
Coronary artery disease/stroke
9 (24,3%)
11 (20,0%)
12 (26,1%)
26 (16,0%)
0,406
Uncontrolled hypertension
2 (5,4%)
3 (5,5%)
1 (2,2%)
3 (1,9%)
0,437
Hypertension
17 (45,9%)
26 (47,3%)
21 (45,7%)
97 (59,9%)
0,139
ACEi
10 (27,0%)
19 (34,5%)
16 (34,8%)
57 (35,2%)
0,820
ACT
7 (18,9%)
8 (14,5%)
11 (23,9%)
15 (9,3%)
0,054
AAT
6 (16,2%)
8 (14,5%)
10 (21,7%)
27 (16,7%)
0,802
Smoking
4 (10,8%)
5 (9,1%)
1 (2,2%)
12 (7,4%)
0,438
Alcohol
0
1 (1,8%)
0
0
0,215
Diagnosis
<0,001
ARI
0
0
1 (2,2%)
0
SARS-CoV-2 with pneumonia (RTG)
0
31 (56,4%)
42 (91,3%)
160 (98,8%)
SARS-CoV-2
37 (100%)
24 (43,6%)
3 (6,5%)
2 (1,2%)
SYMPTOMS
Fever
1 (2,7%)
45 (81,8%)
39 (84,8%)
141 (87,0%)
<0,001
Chest pain
1 (2,7%)
14 (25,5%)
9 (19,6%)
53 (32,7%)
0,002
Cough
4 (10,8%)
32 (58,2%)
32 (69,6%)
128 (79,0%)
<0,001
Anosmia/ageusia
1 (2,7%)
8 (14,5%)
4 (8,7%)
18 (11,1%)
0,315
Dyspnoea
1 (2,7%)
19 (34,5%)
26 (56,5%)
119 (73,5%)
<0,001
Diarrhea
1 (2,7%)
9 (16,4%)
11 (23,9%)
30 (18,5%)
0,060
Headache
0
5 (9,1%)
13 (28,3%)
24 (14,8%)
0,001
DVT/PE
1 (2,7%)
2 (3,6%)
2 (4,3%)
19 (11,7%)
0,087
Death
1 (2,7%)
0
1 (2,2%)
11 (6,8%)
0,133
ICU admission
0
0
1 (2,2%)
29 (17,9%)
<0,001
Dexamethasone
0
21 (38,2%)
37 (80,4%)
145 (89,5%)
<0,001
Remdesivir
0
2 (3,6%)
9 (19,6%)
48 (29,6%)
<0,001
Antibiotic
3 (8,1%)
15 (27,3%)
15 (32,6%)
37 (22,8%)
0,057
Oxygen
0
24 (43,6%)
38 (82,6%)
161 (99,4%)
<0,001
Figure 3. Serum 25(OH)D3 levels based on COVID-19 severity.
Discussion
This study aimed to assess the severity of COVID-19 among our patients and potential effect of serum levels of vitamin D levels on the course of COVID-19. Previous studies have speculated about the role of vitamin D supplementation and COVID-19 but have been inconclusive. However, it is known that vitamin D plays an important role in immune system and can improve natural resistance to acute viral respiratory infections and moderate their course by inhibiting an excessive inflammatory response. A high prevalence of vitamin D deficiency especially pronounced in the autumn and winter months was reported in Slovenia, with up to 80% of adults exhibiting serum vitamin D levels <50 nmol/L, and severe deficiency with serum vitamin D levels <30 nmol/L was found in 40%.43 Therefore, our group advised vitamin D supplementation to mitigate the course of the COVID-19 disease, especially in patients at risk for a severe course. Our results show that most enrolled patients were still vitamin D deficient despite the recommendations which were published prior to the conduction of this study. It is noteworthy that vitamin D deficiency was predominantly observed during the winter months from November till April, which confirms our previous findings.43 These results could be explained by increased sun exposure in the summer, which is known to be an important source of natural vitamin D. It has been established that in the absence of UVB-induced vitamin D biosynthesis, vitamin D supply can be maintained in healthy adults with a dietary intake of between 600 and 800 IU of vitamin D.46,47 At the same time, it should be pointed out that this does not apply to individuals who already have vitamin D deficiency, and that such doses are sufficient to reach the threshold value for skeletal and muscle functions (50 nmol/L), but not to reach higher concentrations of serum level, e.g. 75 nmol/L. The results of our study show, that the Vitamin D deficiency is more prevalent in males. Interestingly, the duration of symptoms was the shortest in the most Vitamin D deficient group. Furthermore, fever and cough were more frequent within the group with optimal serum Vitamin D levels. In addition, the severe course of COVID-19 was also more common in groups with higher concentration of serum vitamin 25(OH)D3 levels. These results do not support the protective role of vitamin D in viral infections suggested in the previous studies, where vitamin D supplementation was shown to significantly lower the incidence of acute respiratory infections (ARIs) in subjects with severe vitamin D deficiency.48 Our results can be explained by several hypotheses. First, previous studies have shown that higher serum levels of vitamin D are required for beneficial effects on the immune system than for skeletal and muscle effects.49 This is further supported by a study in which patients with levels of vitamin D below 75 nmol/L were shown to 58% more likely to suffer from ARI.50 Most of our patients admitted they only started supplementing Vitamin D after they had already developed the symptoms, which could explain our results, as the immunomodulatory effects of Vitamin D have not yet started. Previous studies have shown a correlation between lower average vitamin D levels and a higher incidence of SARS-CoV-2 infections and higher mortality (Italy, France, Spain, Switzerland).51 For instance, in Chicago, those with vitamin 25(OH)D3 levels below 50 nmol/L had a 1.77 times greater risk of testing positive for the infection. Their vitamin 25(OH)D3 was determined up to a year before they fell ill or were tested.52 In our case unfortunately we did not measure levels of vitamin 25(OH)D3 at several time points. Similar differences in the vitamin D levels between positive and negative subjects was also noted in a Swiss study, where those with a positive test had an average level of only 27 nmol/L,53 and those with a negative test had an average level of 61 nmol/L. Also in Israel, it was shown that a lower level of vitamin D increases the risk of infection with SARS-CoV-2.54 In observational studies in Iran,55 Germany, and Italy, those patients with COVID who had lower levels of vitamin D had worse outcomes.56 Moreover, an almost 15-fold increased risk of death was observed in patients with vitamin D deficiency compared with those with higher vitamin 25(OH)D3 levels; similar relationships were also evident when the vitamin 25(OH)D3 cut-off was set at 50 nmol/L.56 Our results show that patients with more severe disease showed higher levels of inflammatory markers and significantly lower levels of serum vitamin 25(OH)D3. Interestingly however, again the lowest levels of vitamin 25(OH)D3 were detected in the asymptomatic group. This can be explained by the same reason as above those patients who had symptoms started taking high concentrations of vitamin D prior to their admission to the hospital as our recommendations were published over several media and in a public campaign. Patients with asymptomatic course of the disease were not aware of infection and were not supplementing vitamin D, which explains the lower levels. In addition, the majority of cases were detected during the winter months, during which the baseline serum Vitamin D levels are lower, which could have influenced the results. Nevertheless, the most severe group of patients exhibited more symptoms, a higher rate of ICU admission and a higher mortality rate which is in line with previous reports. The results of a previous study indicate that vitamin D supplementation decreases the rate of ICU admissions as well as mortality.57 The favourable outcome of vitamin D supplementation and increased serum levels can be explained by the fact that vitamin D moderates the excessive inflammation in the lungs (cytokine storm) that can have detrimental effects in some patients with COVID-19. Inconsistency in the effect of vitamin D supplementation has been shown previously and attributed to different dosing regimens, duration of supplementation, and methodology in published reports. Murai et al.58 did not detect differences in hospital stay of patients with COVID-19 who received vitamin D dose and those who did not receive vitamin D.
Our study had several limitations. No clear data about the length of vitamin D supplementation prior to hospitalisation could be obtained. Our largest limitation is that no follow-up was performed, as in the following period the severity of the disease might be lower due to higher level of serum vitamin 25(OH)D3. In addition, we did not measure the levels of vitamin 25(OH)D3 in several time points of hospitalisation to confirm its effect over time.
Conclusion
Vitamin D levels showed a reasonable effect in the prevention of SARS-CoV-2 morbidity and mortality. Our results show the association between lower levels of serum vitamin 25(OH)D3 and COVID-19 severity. Patients with the severe course of COVID-19 were shown to have increased inflammatory parameters, increased mortality, and higher incidence of vitamin D deficiency. The results suggest that the vitamin D deficiency might represent a significant risk factor for a severe course of COVID-19. Therefore, we recommend vitamin D supplementation in high-risk patients and hospitalised COVID-19 patients. Further, prospective longitudinal studies are warranted to assess the long-term effects of Vitamin D supplementation.
Author contribution
D.Si. and J.O. conceived of the idea for the project; D.Si. and J.O. wrote the draft version of the manuscript, R.S. supervised the patients invited to participate in the study; J.U. and K.J. compiled the clinical data on the patients involved; O.J. and D. St were responsible for completing laboratory data, and D.St. and R.J. performed the statistical calculations. All authors reviewed and agreed with the manuscript, and final approval was given by D.Si. and J.O. All authors have read and agreed to the published version of the manuscript.
Data availability
Zenodo: Siuka, Darko, Saletinger, Rajko, Uršič, Jure, Jevnikar, Kristina, Janša, Rado, Štubljar, David, & Osredkar, Joško. (2023). The effect of Vitamin D levels on the course of COVID-19 in hospitalized patients – a 1-year prospective cohort study (1.0) [Data set]. Zenodo. DOI: https://doi.org/10.5281/zenodo.7679129.59
1. Siuka D, Fabjan T, Osredkar J: The COVID-19 Pandemic, Seasons and the Vitamin D Laboratory Strategy. International Journal of Sciences: Basic and Applied Research (IJSBAR). 2021; 56(2): 182–189.
2. Fares A: Factors influencing the seasonal patterns of infectious diseases. Int. J. Prev. Med. 2013; 4(2): 128–132. PubMed Abstract
3. Jordan T, Siuka D, Kozjek Rotovnik N, et al.: COVID-19 and Vitamin D- a Systematic Review. Zdr. Varst. 2022; 61(2): 124–132. PubMed Abstract | Publisher Full Text
4. Jolliffe DA, Griffiths CJ, Martineau AR: Vitamin D in the prevention of acute respiratory infection: Systematic review of clinical studies. J. Steroid Biochem. Mol. Biol. 2013; 136: 321–329. PubMed Abstract | Publisher Full Text
5. De Niet S, Trémège M, Coffiner M, et al.: Positive Effects of Vitamin D Supplementation in Patients Hospitalized for COVID-19: A Randomized, Double-Blind, Placebo-Controlled Trial. Nutrients. 2022; 14(15): 3048. PubMed Abstract | Publisher Full Text | Free Full Text
6. Vanherwegen AS, Gysemans C, Mathieu C: Regulation of immune function by vitamin D and its use in diseases of immunity. Endocrinol. Metab. Clin. N. Am. 2017; 46: 1061–1094. Publisher Full Text
9. Coussens AK: The role of UV radiation and vitamin D in the seasonality and outcomes of infectious disease. Photochem. Photobiol. Sci. 2017; 16: 314–338.
10. Lang PO, Aspinall R: Vitamin D Status and the Host Resistance to Infections: What It Is Currently (Not) Understood. Clin. Ther. 2017; 39: 930–945. PubMed Abstract | Publisher Full Text
12. Rondanelli M, Miccono A, Lamburghini S, et al.: Self-Care for Common Colds: The Pivotal Role of Vitamin D, Vitamin C, Zinc, and Echinacea in Three Main Immune Interactive Clusters (Physical Barriers, Innate and Adaptive Immunity) Involved during an Episode of Common Colds-Practical Advice on Dosages and on the Time to Take These Nutrients/Botanicals in order to Prevent or Treat Common Colds. Evid.-Based Complement. Altern Med ECAM. 2018; 2018: 5813095.
13. Gombart AF, Pierre A, Maggini S: A Review of Micronutrients and the Immune System-Working in Harmony to Reduce the Risk of Infection. Nutrients. 2020; 12: 236. PubMed Abstract | Publisher Full Text | Free Full Text
14. Jolliffe DA, Camargo CA Jr, Sluyter JD, et al.: Vitamin D supplementation to prevent acute respiratory infections: A systematic review and meta-analysis of aggregate data from randomised controlled trials. Lancet Diabetes Endocrinol. 2021; 9: 276–292. PubMed Abstract | Publisher Full Text
15. Hewison M: Vitamin D and immune function: An overview. Proc. Nutr. Soc. 2012; 71: 50–61. Publisher Full Text
17. Fabbri A, Infante M, Ricordi C: Editorial—Vitamin D status: A key modulator of innate immunity and natural defense from acute viral respiratory infections. Eur. Rev. Med. Pharmacol. Sci. 2020; 24: 4048–4052. PubMed Abstract | Publisher Full Text
18. Jolliffe DA, Griffiths CJ, Martineau AR: Vitamin D in the prevention of acute respiratory infection: Systematic review of clinical studies. J. Steroid Biochem. Mol. Biol. 2013; 136: 321–329. PubMed Abstract | Publisher Full Text
19. Hansdottir S, Monick MM, Hinde SL, et al.: Respiratory epithelial cells convert inactive vitamin D to its active form: Potential effects on host defense. J Immunol Baltim Md. 1950; 181: 7090–7099. Publisher Full Text
20. Olliver M, Spelmink L, Hiew J, et al.: Immunomodulatory effects of vitamin D on innate and adaptive immune responses to Streptococcus pneumoniae. J. Infect. Dis. 2013; 208: 1474–1481. PubMed Abstract | Publisher Full Text
21. Golpour A, Bereswill S, Heimesaat MM: Antimicrobial and Immune-Modulatory Effects of Vitamin D Provide Promising Antibiotics-Independent Approaches to Tackle Bacterial Infections—Lessons Learnt from a Literature Survey. Eur. J. Microbiol. Immunol. 2019; 9: 80–87. PubMed Abstract | Publisher Full Text | Free Full Text
22. Moromizato T, Litonjua AA, Braun AB, et al.: Association of low serum 25-hydroxyvitamin D levels and sepsis in the critically ill. Crit. Care Med. 2014; 42: 97–107. PubMed Abstract | Publisher Full Text
23. Thickett DR, Moromizato T, Litonjua AA, et al.: Association between prehospital vitamin D status and incident acute respiratory failure in critically ill patients: A retrospective cohort study. BMJ Open Respir. Res. 2015; 2: e000074. PubMed Abstract | Publisher Full Text | Free Full Text
24. Higgins DM, Wischmeyer PE, Queensland KM, et al.: Relationship of vitamin D deficiency to clinical outcomes in critically ill patients. JPEN J Parenter Enter Nutr. 2012; 36: 713–720. Publisher Full Text
25. Nair P, Lee P, Reynolds C, et al.: Significant perturbation of vitamin Dparathyroid-calcium axis and adverse clinical outcomes in critically ill patients. Intensive Care Med. 2013; 39: 267–274. PubMed Abstract | Publisher Full Text
26. Braun AB, Gibbons FK, Litonjua AA, et al.: Low serum 25-hydroxyvitamin D at critical care initiation is associated with increased mortality. Crit. Care Med. 2012; 40: 63–72. PubMed Abstract | Publisher Full Text | Free Full Text
27. Quraishi SA, Litonjua AA, Moromizato T, et al.: Association between prehospital vitamin D status and hospital-acquired Clostridium difficile infections. JPEN J. Parenter. Enter. Nutr. 2015; 39: 47–55. PubMed Abstract | Publisher Full Text | Free Full Text
28. Barnett N, Zhao Z, Koyama T, et al.: Vitamin D deficiency and risk of acute lung injury in severe sepsis and severe trauma: A case-control study. Ann. Intensive Care. 2014; 4: 5. PubMed Abstract | Publisher Full Text | Free Full Text
29. Amrein K, Schnedl C, Holl A, et al.: Effect of high-dose vitamin D3 on hospital length of stay in critically ill patients with vitamin D deficiency: The VITdAL-ICU randomized clinical trial. JAMA. 2014; 312: 1520–1530. Publisher Full Text
30. McNally JD, Menon K, Chakraborty P, et al.: The association of vitamin D status with pediatric critical illness. Pediatrics. 2012; 130: 429–436. Publisher Full Text
31. Kempker JA, West KG, Kempker RR, et al.: Vitamin D status and the risk for hospital-acquired infections in critically ill adults: A prospective cohort study. PLoS One. 2015; 10: e0122136. PubMed Abstract | Publisher Full Text | Free Full Text
32. Kaufman HW, Niles JK, Kroll MH, et al.: SARS-CoV-2 positivity rates associated with circulating 25-hydroxyvitamin D levels. PLoS One. 2020; 15: e0239252. eCollection 2020. PubMed Abstract | Publisher Full Text | Free Full Text
34. Alguwaihes AM, Sabico S, Hasanato R, et al.: Severe vitamin D de- ficiency is not related to SARS-CoV-2 infection but may increase mortality risk in hospitalized adults: a retrospective case-control study in an Arab Gulf country. Aging Clin. Exp. Res. 2021; 33: 1415–1422. PubMed Abstract | Publisher Full Text | Free Full Text
35. Al-Daghri NM, Amer OE, Alotaibi NH, et al.: Vitamin D status of Arab Gulf residents screened for SARS-CoV-2 and its association with COVID-19 infection: a multi-centre case-control study. J. Transl. Med. 2021; 19: 166. PubMed Abstract | Publisher Full Text | Free Full Text
36. Campi I, Gennari L, Merlotti D, et al.: Vitamin D and COVID-19 severity and related mortality: a prospective study in Italy. BMC Infect. Dis. 2021; 21: 566. PubMed Abstract | Publisher Full Text | Free Full Text
37. Chiodini I, Gatti D, Soranna D, et al.: Vitamin D Status and SARS- CoV-2 Infection and COVID-19 Clinical Outcomes. Front. Public Health. 2021; 9: 736665. PubMed Abstract | Publisher Full Text | Free Full Text
38. Petrelli F, Luciani A, Perego G, et al.: Therapeutic and prognostic role of vitamin D for COVID-19 infection: A systematic review and meta-analysis of 43 observational studies. J. Steroid Biochem. Mol. Biol. 2021; 211: 105883. PubMed Abstract | Publisher Full Text | Free Full Text
39. Liu N, Sun J, Wang X, et al.: Low vitamin D status is associated with coronavirus disease 2019 outcomes: a systematic review and meta-analysis. Int. J. Infect. Dis. 2021; 104: 58–64. PubMed Abstract | Publisher Full Text | Free Full Text
40. Ghasemian R, Shamshirian A, Heydari K, et al.: The role of vitamin D in the age of COVID-19: A systematic review and meta-analysis. Int. J. Clin. Pract. 2021; 75: e14675. Publisher Full Text
41. Pfeifer M, Siuka D, Pravst I: Recommendations for replacing cholecalciferol (vitamin D3) during periods respiratory infections and to replace cholecalciferol in individuals with COVID-19. [10th Nov 2022]. Reference Source
42. Zheng Z, Peng F, Xu B, et al.: Risk factors of critical & mortal COVID-19 cases: a systematic literature review and metaanalysis. J. Infect. 2020; 81(2): e16–e25. PubMed Abstract | Publisher Full Text | Free Full Text
43. Hribar M, Hristov H, Gregorič M, et al.: Nutrihealth Study: Seasonal Variation in Vitamin D Status Among the Slovenian Adult and Elderly Population. Nutrients. 2020; 12(6): 1838. Publisher Full Text
44. Žmitek K, Hribar M, Lavriša Ž, et al.: Socio-Demographic and Knowledge-Related Determinants of Vitamin D Supplementation in the Context of the COVID-19 Pandemic: Assessment of an Educational Intervention. Front. Nutr. 2021; 8: 648450. PubMed Abstract | Publisher Full Text | Free Full Text
45. Institute of Medicine Committee to Review Dietary Reference Intakes for Vitamin D and Calcium: The National Academies Collection: Reports funded by National Institutes of Health. Dietary Reference Intakes for Calcium and Vitamin DRoss AC, Taylor CL, et al., editors. Washington, DC, USA: National Academies Press (US), National Academy of Sciences; 2011.
46. EFSA NDA Panel (EFSA Panel on Dietetic Products, Nutrition and Allergies): Scientific opinion on dietary reference values for vitamin D. EFSA J. 2016; 14(10): 4547. Publisher Full Text
47. German Nutrition Society, New Reference Values for Vitamin D (D-A-CH). Ann. Nutr. Metab. 2012; 60: 241–246. Publisher Full Text
48. Martineau AR, et al.: Vitamin D supplementation to prevent acute respiratory infections: individual participant data meta-analysis. Health Technol. Assess. 2019; 23(2): 1–44. PubMed Abstract | Publisher Full Text | Free Full Text
49. Sabetta JR, DePetrillo P, Cipriani RJ, et al.: Serum 25-Hydroxyvitamin D and the Incidence of Acute Viral Respiratory Tract Infections in Healthy Adults. PLoS One. 2010; 5(6): e11088. PubMed Abstract | Publisher Full Text | Free Full Text
50. Monlezun DJ, Bittner EA, Christopher KB, et al.: Vitamin D status and acute respiratory infection: cross sectional results from the United States National\Health and Nutrition Examination Survey, 2001-2006. Nutrients. 2015; 7: 1933–1944. PubMed Abstract | Publisher Full Text | Free Full Text
51. Laird E, et al.: Vitamin D and Inflammation: Potential Implications for Severity of Covid-19. Ir. Med. J. 2020; 113(5): 81. PubMed Abstract
52. Meltzer DO, Best TJ, Zhang H, et al.: Association of Vitamin D Status and Other Clinical Characteristics With COVID-19 Test Results. JAMA Netw. Open. 2020; 3(9): e2019722. PubMed Abstract | Publisher Full Text | Free Full Text
53. D’Avolio A, Avataneo V, Manca A, et al.: 25-Hydroxyvitamin D concentrations are lower in patients with positive PCR for SARS-CoV-2. Nutrients. 2020; 12(5): 1359. PubMed Abstract | Publisher Full Text | Free Full Text
54. Merzon E, Tworowski D, Gorohovski A, et al.: Low plasma 25(OH) vitamin D level is associated with increased risk of COVID-19 infection: an Israeli population-based study.
55. Carpagnano GE, Di Lecce V, Quaranta VN, et al.: Vitamin D deficiency as a predictor of poor prognosis in patients with acute respiratory failure due to COVID-19. J. Endocrinol. Investig. 2020.
57. Entrenas Castillo M, Entrenas Costa LM, Vaquero Barrios JM, et al.: Effect of calcifediol treatment and best available therapy versus best available therapy on intensive care unit admission and mortality among patients hospitalized for COVID-19: A pilot randomized clinical study. J. Steroid Biochem. Mol. Biol. 2020; 203: 105751. PubMed Abstract | Publisher Full Text | Free Full Text
58. Murai IH, Fernandes AL, Sales LP, et al.: Effect of a single high dose of vitamin D3 on hospital length of stay in patients with moderate to severe COVID-19: A randomized clinical trial. JAMA. 2021; 325: 1053–1060. PubMed Abstract | Publisher Full Text | Free Full Text
59. Siuka D, Saletinger R, Uršič J, et al.: The effect of Vitamin D levels on the course of COVID-19 in hospitalized patients – a 1-year prospective cohort study (1.0). [Data set]. Zenodo. 2023. Publisher Full Text
1 Department of Gastroenterology, University Medical Centre Ljubljana, Ljubljana, 1000, Slovenia 2 Department of Infectious Diseases and Febrile Illnesses, University Medical Centre Ljubljana, Ljubljana, 1000, Slovenia 3 Faculty of Medicine, University of Ljubljana, Ljubljana, 1000, Slovenia 4 Department of Ophthalmology, University Medical Centre Ljubljana, Ljubljana, 1000, Slovenia 5 Research and Development, In-Medico, Metlika, 8330, Slovenia 6 Institute of Clinical Chemistry and Biochemistry, University Medical Centre Ljubljana, Ljubljana, 1000, Slovenia 7 Department of Clinical Biochemistry, Faculty of Pharmacy, Ljubjana, 1000, Slovenia
Siuka D, Saletinger R, Uršič J et al. The effect of Vitamin D levels on the course of COVID-19 in hospitalized patients – a 1-year prospective cohort study [version 1; peer review: 1 approved with reservations] F1000Research 2023, 12:254 (https://doi.org/10.12688/f1000research.131730.1)
NOTE: it is important to ensure the information in square brackets after the title is included in all citations of this article.
track
receive updates on this article
Track an article to receive email alerts on any updates to this article.
Share
Open Peer Review
Current Reviewer Status: ?
Key to Reviewer Statuses VIEWHIDE
ApprovedThe paper is scientifically sound in its current form and only minor, if any, improvements are suggested
Approved with reservations A number of small changes, sometimes more significant revisions are required to address specific details and improve the papers academic merit.
Not approvedFundamental flaws in the paper seriously undermine the findings and conclusions
Vivaldi G. Reviewer Report For: The effect of Vitamin D levels on the course of COVID-19 in hospitalized patients – a 1-year prospective cohort study [version 1; peer review: 1 approved with reservations]. F1000Research 2023, 12:254 (https://doi.org/10.5256/f1000research.144599.r210758)
Siuka and colleagues report findings from a prospective cohort study assessing the effect of vitamin D supplementation on people hospitalised with SARS-CoV-2 infection. The authors assessed vitamin D deficiency in 301 participants, who were hospitalised with varying levels of COVID-19 ... Continue reading
Siuka and colleagues report findings from a prospective cohort study assessing the effect of vitamin D supplementation on people hospitalised with SARS-CoV-2 infection. The authors assessed vitamin D deficiency in 301 participants, who were hospitalised with varying levels of COVID-19 severity. The majority (68%) of participants had some level of vitamin D deficiency. Key strengths of this study are detailed data on disease course and laboratory measures, as well as inclusion of participants with varying disease severity. However, there are some limitations.
Major The general statistical approach seems suitable. However, I have doubts about the binarisation of disease severity in order to use logistic regression. People who were asymptomatic had the lowest levels of vitamin D; as the authors note, this is likely to be an artefact of the guidance around vitamin D supplementation at the time. However, by combining the vitamin D levels of people with asymptomatic disease and those with mild disease, the authors create a mean value that is unlikely to be representative. This leads to a contradiction in the results, whereby analysis by vitamin D level suggests that severe disease is more common among people with higher levels of vitamin D, but analysis by disease severity appears to give the opposite result.
As the disease severity outcome is ordered, I believe it would make more sense to use ordered logistic regression (or, failing that, multinomial regression with a trend test). As the asymptomatic group appears to be an outlier, the authors should then consider doing sensitivity analyses excluding asymptomatic participants to see whether they can observe a difference in vitamin D level between the three remaining severity groups.
The authors say they do not have data on the length of vitamin D supplementation before hospitalisation, but they do not clarify whether they have any information at all on vitamin D supplementation (ie, whether or not someone was taking supplements). Any information they do have should be adjusted for in the model if at all possible.
Minor General: One participant with ARI is included: it is unclear whether this participant had SARS-CoV-2 infection or not. If not, why were they included?
Methods: The first paragraph of the Methods says that participants were hospitalised in the COVID-19 unit of the medical centre, but it's unclear why asymptomatic participants or those with mild disease would have been hospitalised. Were they in hospital for another reason? Please clarify.
Results, paragraph 4: This paragraph would benefit from a more careful rewrite. Sometimes the authors are comparing each group individually, and sometimes they appear to be grouping them together.
Eg, the authors say that fever and cough were more common in the optimal group of patients, but actually fever was most common in the sub-optimal group. So are they comparing the optimal group with an average of all the other groups? The authors also say that severe disease was more common in groups with higher levels of serum vitamin 25(OH)D3, but given that the percentage dips in the 'optimal' group, it might be more accurate to say that severe disease was least common in patients who were vitamin D deficient.
Conclusion: The first two sentences of the conclusion are too strong, as I am not sure they are supported by the data. Firstly, there do not appear to be any statistical differences in mortality by vitamin D level. Secondly, as mentioned in the major comment, the combination of the asymptomatic and mild groups introduces problems in the analysis that make it difficult to state that vitamin D levels prevent disease morbidity as well.
Figure 1: Please add a note to the figure legend explaining what the asterisk for observation 193 represents.
Tables: Female and male sex should be presented in separate rows, with percentages.
Tables: Can the authors please clarify whether the duration of symptoms is duration in total, or time between symptom onset and hospitalisation? At the moment, it is difficult to interpret.
Table 3: It is surprising that people in the asymptomatic group report symptoms (ie, four participants reported cough). This would suggest that they were not asymptomatic. The authors should clarify whether asymptomatic means asymptomatic up to hospitalisation, or asymptomatic during the course of the disease. If the latter, the presence of symptoms in table 3 suggests there has been a mistake.
Is the work clearly and accurately presented and does it cite the current literature?
Yes
Is the study design appropriate and is the work technically sound?
Yes
Are sufficient details of methods and analysis provided to allow replication by others?
Yes
If applicable, is the statistical analysis and its interpretation appropriate?
Partly
Are all the source data underlying the results available to ensure full reproducibility?
Yes
Are the conclusions drawn adequately supported by the results?
Partly
Competing Interests: No competing interests were disclosed.
Reviewer Expertise: Cohort study analysis
I confirm that I have read this submission and believe that I have an appropriate level of expertise to confirm that it is of an acceptable scientific standard, however I have significant reservations, as outlined above.
Vivaldi G. Reviewer Report For: The effect of Vitamin D levels on the course of COVID-19 in hospitalized patients – a 1-year prospective cohort study [version 1; peer review: 1 approved with reservations]. F1000Research 2023, 12:254 (https://doi.org/10.5256/f1000research.144599.r210758)
Alongside their report, reviewers assign a status to the article:
Approved - the paper is scientifically sound in its current form and only minor, if any, improvements are suggested
Approved with reservations - A number of small changes, sometimes more significant revisions are required to address specific details and improve the papers academic merit.
Not approved - fundamental flaws in the paper seriously undermine the findings and conclusions
Adjust parameters to alter display
View on desktop for interactive features
Includes Interactive Elements
View on desktop for interactive features
Competing Interests Policy
Provide sufficient details of any financial or non-financial competing interests to enable users to assess whether your comments might lead a reasonable person to question your impartiality. Consider the following examples, but note that this is not an exhaustive list:
Examples of 'Non-Financial Competing Interests'
Within the past 4 years, you have held joint grants, published or collaborated with any of the authors of the selected paper.
You have a close personal relationship (e.g. parent, spouse, sibling, or domestic partner) with any of the authors.
You are a close professional associate of any of the authors (e.g. scientific mentor, recent student).
You work at the same institute as any of the authors.
You hope/expect to benefit (e.g. favour or employment) as a result of your submission.
You are an Editor for the journal in which the article is published.
Examples of 'Financial Competing Interests'
You expect to receive, or in the past 4 years have received, any of the following from any commercial organisation that may gain financially from your submission: a salary, fees, funding, reimbursements.
You expect to receive, or in the past 4 years have received, shared grant support or other funding with any of the authors.
You hold, or are currently applying for, any patents or significant stocks/shares relating to the subject matter of the paper you are commenting on.
Stay Updated
Sign up for content alerts and receive a weekly or monthly email with all newly published articles
Comments on this article Comments (0)